Номер 1.116, страница 42 - гдз по алгебре 9 класс учебник Арефьева, Пирютко

Алгебра, 9 класс Учебник, авторы: Арефьева Ирина Глебовна, Пирютко Ольга Николаевна, издательство Народная асвета, Минск, 2019, голубого цвета

Авторы: Арефьева И. Г., Пирютко О. Н.

Тип: Учебник

Издательство: Народная асвета

Год издания: 2019 - 2026

Цвет обложки: голубой, синий с графиком

ISBN: 978-985-03-3077-2

Допущено Министерством образования Республики Беларусь

Популярные ГДЗ в 9 классе

Глава 1. Рациональные выражения. Параграф 3. Сложение и вычитание рациональных дробей - номер 1.116, страница 42.

№1.116 (с. 42)
Условие. №1.116 (с. 42)
скриншот условия
Алгебра, 9 класс Учебник, авторы: Арефьева Ирина Глебовна, Пирютко Ольга Николаевна, издательство Народная асвета, Минск, 2019, голубого цвета, страница 42, номер 1.116, Условие

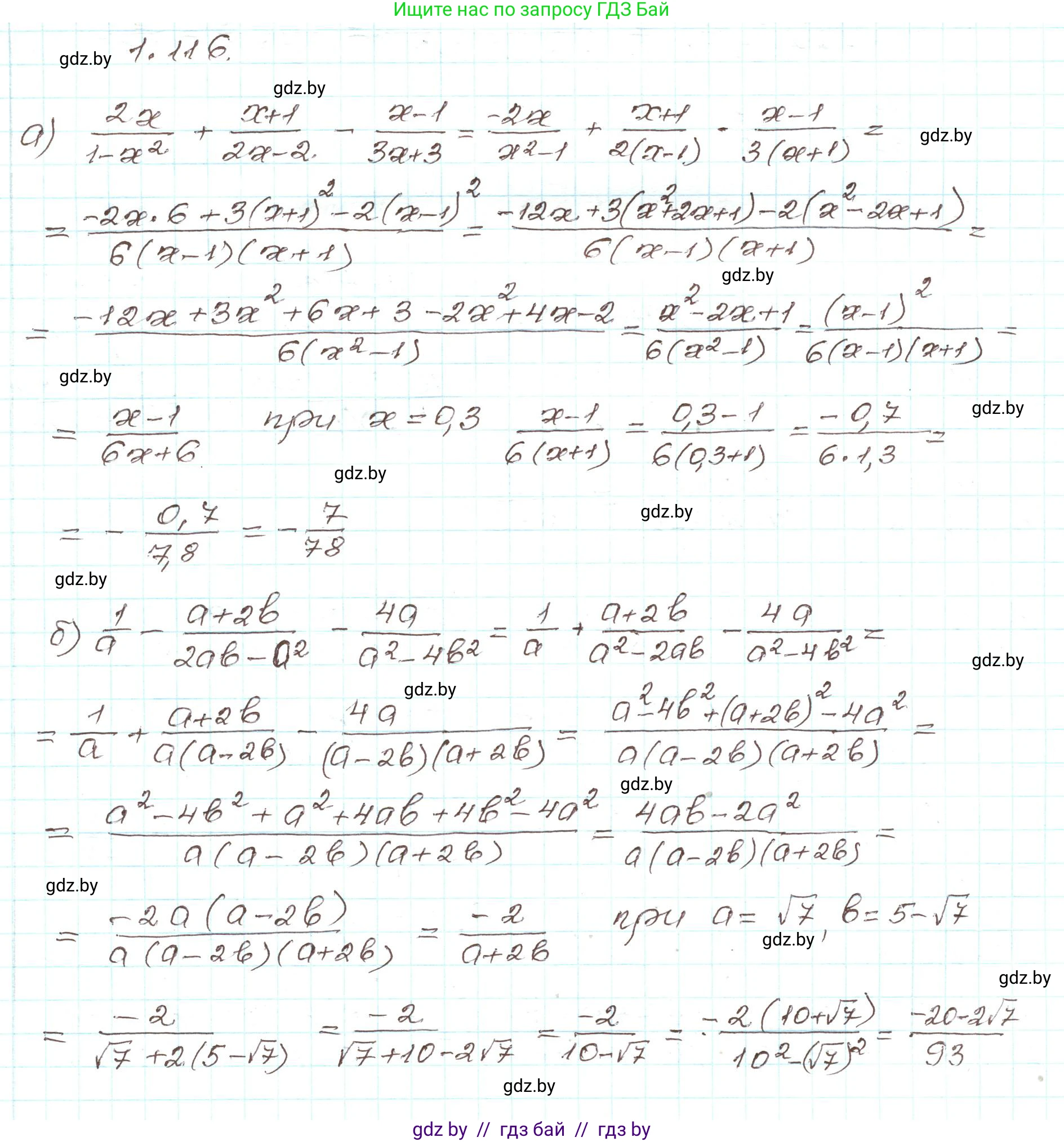
1.116. Найдите значение выражения:

а) $\frac{2x}{1-x^2} + \frac{x+1}{2x-2} - \frac{x-1}{3x+3}$ при $x = 0,3;$

б) $\frac{1}{a} - \frac{a+2b}{2ab-a^2} - \frac{4a}{a^2-4b^2}$ при $a = \sqrt{7}, b = 5 - \sqrt{7}$.

Решение. №1.116 (с. 42)
Алгебра, 9 класс Учебник, авторы: Арефьева Ирина Глебовна, Пирютко Ольга Николаевна, издательство Народная асвета, Минск, 2019, голубого цвета, страница 42, номер 1.116, Решение
Решение 2. №1.116 (с. 42)

а) Сначала упростим данное выражение. Для этого разложим знаменатели на множители:

$\frac{2x}{1-x^2} + \frac{x+1}{2x-2} - \frac{x-1}{3x+3} = \frac{2x}{(1-x)(1+x)} + \frac{x+1}{2(x-1)} - \frac{x-1}{3(x+1)}$

Приведем дроби к общему знаменателю. Для удобства изменим знак во второй дроби:

$\frac{2x}{(1-x)(1+x)} - \frac{x+1}{2(1-x)} - \frac{x-1}{3(x+1)}$

Общий знаменатель равен $6(1-x)(1+x)$. Приведем дроби к этому знаменателю:

$\frac{2x \cdot 6}{6(1-x)(1+x)} - \frac{(x+1) \cdot 3(1+x)}{6(1-x)(1+x)} - \frac{(x-1) \cdot 2(1-x)}{6(1-x)(1+x)}$

Объединим дроби:

$\frac{12x - 3(1+x)^2 - 2(x-1)(1-x)}{6(1-x)(1+x)}$

Раскроем скобки в числителе. Заметим, что $(x-1)(1-x) = -(1-x)^2$.

$\frac{12x - 3(1+2x+x^2) + 2(1-x)^2}{6(1-x^2)} = \frac{12x - 3 - 6x - 3x^2 + 2(1-2x+x^2)}{6(1-x^2)}$

$\frac{12x - 3 - 6x - 3x^2 + 2 - 4x + 2x^2}{6(1-x^2)}$

Приведем подобные слагаемые в числителе:

$(-3x^2+2x^2) + (12x-6x-4x) + (-3+2) = -x^2+2x-1 = -(x^2-2x+1) = -(x-1)^2$

Выражение принимает вид:

$\frac{-(x-1)^2}{6(1-x)(1+x)} = \frac{-(1-x)^2}{6(1-x)(1+x)} = \frac{-(1-x)}{6(1+x)} = \frac{x-1}{6(x+1)}$

Теперь подставим значение $x = 0,3$ в упрощенное выражение:

$\frac{0,3-1}{6(0,3+1)} = \frac{-0,7}{6(1,3)} = \frac{-0,7}{7,8} = -\frac{7}{78}$

Полученная дробь является правильной, ее целая часть равна 0.

Ответ: $-\frac{7}{78}$

б) Сначала упростим данное выражение. Разложим знаменатели на множители:

$\frac{1}{a} - \frac{a+2b}{2ab-a^2} - \frac{4a}{a^2-4b^2} = \frac{1}{a} - \frac{a+2b}{a(2b-a)} - \frac{4a}{(a-2b)(a+2b)}$

Изменим знак во второй дроби, чтобы получить общий множитель $(a-2b)$:

$\frac{1}{a} + \frac{a+2b}{a(a-2b)} - \frac{4a}{(a-2b)(a+2b)}$

Общий знаменатель равен $a(a-2b)(a+2b)$. Приведем дроби к этому знаменателю:

$\frac{(a-2b)(a+2b)}{a(a-2b)(a+2b)} + \frac{(a+2b)(a+2b)}{a(a-2b)(a+2b)} - \frac{4a \cdot a}{a(a-2b)(a+2b)}$

Объединим дроби и раскроем скобки в числителе:

$\frac{(a^2-4b^2) + (a^2+4ab+4b^2) - 4a^2}{a(a-2b)(a+2b)}$

Приведем подобные слагаемые в числителе:

$(a^2+a^2-4a^2) + (-4b^2+4b^2) + 4ab = -2a^2+4ab = -2a(a-2b)$

Выражение принимает вид:

$\frac{-2a(a-2b)}{a(a-2b)(a+2b)}$

Сократим общие множители $a$ и $(a-2b)$ (при условии, что $a \neq 0$ и $a \neq 2b$):

$\frac{-2}{a+2b}$

Теперь подставим значения $a = \sqrt{7}$ и $b = 5 - \sqrt{7}$. Найдем значение знаменателя $a+2b$:

$a+2b = \sqrt{7} + 2(5-\sqrt{7}) = \sqrt{7} + 10 - 2\sqrt{7} = 10 - \sqrt{7}$

Подставим это значение в упрощенное выражение:

$\frac{-2}{10 - \sqrt{7}}$

Избавимся от иррациональности в знаменателе, умножив числитель и знаменатель на сопряженное выражение $(10 + \sqrt{7})$:

$\frac{-2(10 + \sqrt{7})}{(10 - \sqrt{7})(10 + \sqrt{7})} = \frac{-2(10 + \sqrt{7})}{10^2 - (\sqrt{7})^2} = \frac{-2(10 + \sqrt{7})}{100 - 7} = \frac{-2(10 + \sqrt{7})}{93} = -\frac{20+2\sqrt{7}}{93}$

Значение этого выражения по модулю меньше единицы, следовательно, это правильная дробь и ее целая часть равна 0.

Ответ: $-\frac{20+2\sqrt{7}}{93}$

Помогло решение? Оставьте отзыв в комментариях ниже.

Присоединяйтесь к Телеграм-группе @gdz_by_belarus

Присоединиться

Мы подготовили для вас ответ c подробным объяснением домашего задания по алгебре за 9 класс, для упражнения номер 1.116 расположенного на странице 42 к учебнику 2019 года издания для учащихся школ и гимназий.

Теперь на нашем сайте ГДЗ.ТОП вы всегда легко и бесплатно найдёте условие с правильным ответом на вопрос «Как решить ДЗ» и «Как сделать» задание по алгебре к упражнению №1.116 (с. 42), авторов: Арефьева (Ирина Глебовна), Пирютко (Ольга Николаевна), учебного пособия издательства Народная асвета.