Номер 1.243, страница 68 - гдз по алгебре 9 класс учебник Арефьева, Пирютко

Алгебра, 9 класс Учебник, авторы: Арефьева Ирина Глебовна, Пирютко Ольга Николаевна, издательство Народная асвета, Минск, 2019, голубого цвета

Авторы: Арефьева И. Г., Пирютко О. Н.

Тип: Учебник

Издательство: Народная асвета

Год издания: 2019 - 2026

Цвет обложки: голубой, синий с графиком

ISBN: 978-985-03-3077-2

Допущено Министерством образования Республики Беларусь

Популярные ГДЗ в 9 классе

Глава 1. Рациональные выражения. Параграф 5. Преобразования рациональных выражений - номер 1.243, страница 68.

№1.243 (с. 68)
Условие. №1.243 (с. 68)
скриншот условия
Алгебра, 9 класс Учебник, авторы: Арефьева Ирина Глебовна, Пирютко Ольга Николаевна, издательство Народная асвета, Минск, 2019, голубого цвета, страница 68, номер 1.243, Условие Алгебра, 9 класс Учебник, авторы: Арефьева Ирина Глебовна, Пирютко Ольга Николаевна, издательство Народная асвета, Минск, 2019, голубого цвета, страница 68, номер 1.243, Условие (продолжение 2)

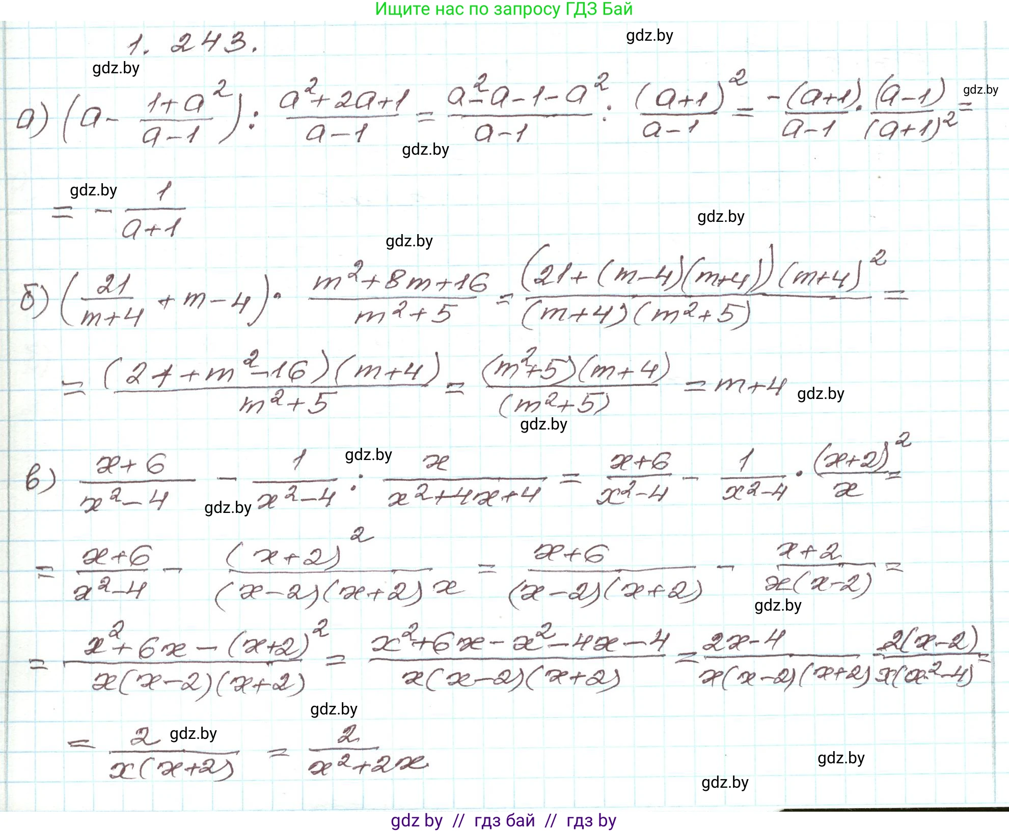
1.243. Выполните преобразование рационального выражения:

a) $(a - \frac{1+a^2}{a-1}) : \frac{a^2+2a+1}{a-1}$

б) $(\frac{21}{m+4} + m - 4) \cdot \frac{m^2+8m+16}{m^2+5}$

В) $\frac{x+6}{x^2-4} - \frac{1}{x^2-4} : \frac{x}{x^2+4x+4}$

Решение. №1.243 (с. 68)
Алгебра, 9 класс Учебник, авторы: Арефьева Ирина Глебовна, Пирютко Ольга Николаевна, издательство Народная асвета, Минск, 2019, голубого цвета, страница 68, номер 1.243, Решение
Решение 2. №1.243 (с. 68)

а) Выполним преобразование по шагам:

  1. Упростим выражение в скобках. Для этого приведем $a$ к знаменателю $a-1$:

    $a - \frac{1+a^2}{a-1} = \frac{a(a-1)}{a-1} - \frac{1+a^2}{a-1} = \frac{a^2-a - (1+a^2)}{a-1} = \frac{a^2-a-1-a^2}{a-1} = \frac{-a-1}{a-1} = -\frac{a+1}{a-1}$

  2. Упростим делитель. Числитель $a^2+2a+1$ является полным квадратом суммы $(a+1)^2$.

    $\frac{a^2+2a+1}{a-1} = \frac{(a+1)^2}{a-1}$

  3. Выполним деление. Разделить на дробь — это то же самое, что умножить на обратную ей дробь.

    $\left(-\frac{a+1}{a-1}\right) : \frac{(a+1)^2}{a-1} = -\frac{a+1}{a-1} \cdot \frac{a-1}{(a+1)^2}$

  4. Сократим общие множители. В числителе и знаменателе есть общие множители $(a+1)$ и $(a-1)$, которые можно сократить.

    $-\frac{\cancel{(a+1)}}{\cancel{a-1}} \cdot \frac{\cancel{a-1}}{(a+1)^{\cancel{2}}} = -\frac{1}{a+1}$

Ответ: $-\frac{1}{a+1}$

б) Выполним преобразование по шагам:

  1. Упростим выражение в скобках. Приведем все слагаемые к общему знаменателю $m+4$.

    $\frac{21}{m+4} + m - 4 = \frac{21}{m+4} + \frac{(m-4)(m+4)}{m+4} = \frac{21 + (m^2-16)}{m+4} = \frac{21+m^2-16}{m+4} = \frac{m^2+5}{m+4}$

  2. Упростим второй множитель. Числитель $m^2+8m+16$ — это полный квадрат суммы $(m+4)^2$.

    $\frac{m^2+8m+16}{m^2+5} = \frac{(m+4)^2}{m^2+5}$

  3. Выполним умножение полученных выражений.

    $\frac{m^2+5}{m+4} \cdot \frac{(m+4)^2}{m^2+5}$

  4. Сократим общие множители. Сокращаем $(m^2+5)$ и $(m+4)$.

    $\frac{\cancel{m^2+5}}{\cancel{m+4}} \cdot \frac{(m+4)^{\cancel{2}}}{\cancel{m^2+5}} = m+4$

Ответ: $m+4$

в) В данном выражении действия выполняются по порядку: сначала деление, затем вычитание. Однако, судя по расположению дробей с одинаковым знаменателем, вероятнее всего, предполагалось сначала выполнить вычитание. Решим задачу исходя из этого предположения.

  1. Выполним вычитание дробей в скобках. Так как знаменатели одинаковы, вычитаем числители.

    $\left(\frac{x+6}{x^2-4} - \frac{1}{x^2-4}\right) = \frac{x+6-1}{x^2-4} = \frac{x+5}{x^2-4}$

  2. Разложим на множители знаменатели, используя формулы сокращенного умножения: разность квадратов $a^2-b^2=(a-b)(a+b)$ и квадрат суммы $(a+b)^2=a^2+2ab+b^2$.

    $x^2-4 = (x-2)(x+2)$

    $x^2+4x+4 = (x+2)^2$

  3. Выполним деление. Заменим деление на умножение на обратную дробь.

    $\frac{x+5}{x^2-4} : \frac{x}{x^2+4x+4} = \frac{x+5}{(x-2)(x+2)} \cdot \frac{(x+2)^2}{x}$

  4. Сократим общий множитель $(x+2)$.

    $\frac{x+5}{(x-2)\cancel{(x+2)}} \cdot \frac{(x+2)^{\cancel{2}}}{x} = \frac{(x+5)(x+2)}{x(x-2)}$

  5. Раскроем скобки в числителе и знаменателе, чтобы подготовиться к выделению целой части.

    $\frac{x^2+2x+5x+10}{x^2-2x} = \frac{x^2+7x+10}{x^2-2x}$

  6. Выделим целую часть. Полученная дробь является неправильной, так как степень числителя (2) равна степени знаменателя (2). Выполним деление многочлена на многочлен.

    $\frac{x^2+7x+10}{x^2-2x} = \frac{(x^2-2x) + (9x+10)}{x^2-2x} = \frac{x^2-2x}{x^2-2x} + \frac{9x+10}{x^2-2x} = 1 + \frac{9x+10}{x^2-2x}$

    Целая часть равна 1.

Ответ: 1$ + \frac{9x+10}{x^2-2x}$

Помогло решение? Оставьте отзыв в комментариях ниже.

Присоединяйтесь к Телеграм-группе @gdz_by_belarus

Присоединиться

Мы подготовили для вас ответ c подробным объяснением домашего задания по алгебре за 9 класс, для упражнения номер 1.243 расположенного на странице 68 к учебнику 2019 года издания для учащихся школ и гимназий.

Теперь на нашем сайте ГДЗ.ТОП вы всегда легко и бесплатно найдёте условие с правильным ответом на вопрос «Как решить ДЗ» и «Как сделать» задание по алгебре к упражнению №1.243 (с. 68), авторов: Арефьева (Ирина Глебовна), Пирютко (Ольга Николаевна), учебного пособия издательства Народная асвета.