Номер 1.239, страница 68 - гдз по алгебре 9 класс учебник Арефьева, Пирютко

Алгебра, 9 класс Учебник, авторы: Арефьева Ирина Глебовна, Пирютко Ольга Николаевна, издательство Народная асвета, Минск, 2019, голубого цвета

Авторы: Арефьева И. Г., Пирютко О. Н.

Тип: Учебник

Издательство: Народная асвета

Год издания: 2019 - 2026

Цвет обложки: голубой, синий с графиком

ISBN: 978-985-03-3077-2

Допущено Министерством образования Республики Беларусь

Популярные ГДЗ в 9 классе

Глава 1. Рациональные выражения. Параграф 5. Преобразования рациональных выражений - номер 1.239, страница 68.

№1.239 (с. 68)
Условие. №1.239 (с. 68)
скриншот условия
Алгебра, 9 класс Учебник, авторы: Арефьева Ирина Глебовна, Пирютко Ольга Николаевна, издательство Народная асвета, Минск, 2019, голубого цвета, страница 68, номер 1.239, Условие

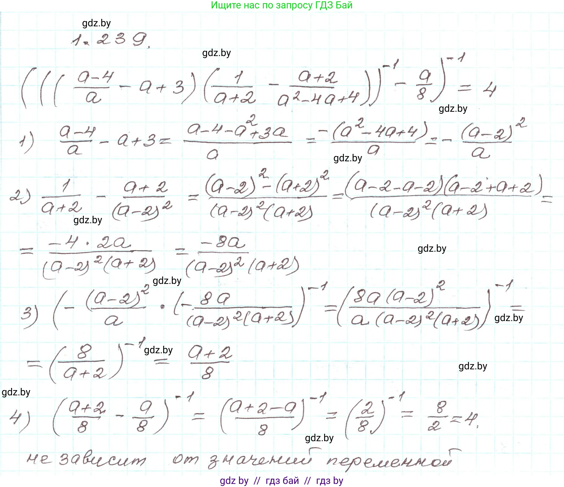
1.239*. Докажите, что значение выражения

$\left(\left(\left(\frac{a-4}{a}-a+3\right)\left(\frac{1}{a+2}-\frac{a+2}{a^2-4a+4}\right)\right)^{-1}-\frac{a}{8}\right)^{-1}$

не зависит от значений переменной.

Решение. №1.239 (с. 68)
Алгебра, 9 класс Учебник, авторы: Арефьева Ирина Глебовна, Пирютко Ольга Николаевна, издательство Народная асвета, Минск, 2019, голубого цвета, страница 68, номер 1.239, Решение
Решение 2. №1.239 (с. 68)

Чтобы доказать, что значение выражения не зависит от переменной, необходимо упростить его. Если в результате получится число (константа), то утверждение будет доказано. Выполним упрощение по действиям.

Исходное выражение:

$$ \left( \left( \left( \frac{a-4}{a} - a + 3 \right) \left( \frac{1}{a+2} - \frac{a+2}{a^2 - 4a + 4} \right) \right)^{-1} - \frac{a}{8} \right)^{-1} $$

Преобразования верны при области допустимых значений (ОДЗ): $ a \neq 0 $, $ a \neq 2 $, $ a \neq -2 $.

1. Упрощение выражения в первой скобке $\left( \frac{a-4}{a} - a + 3 \right)$

Приводим все члены к общему знаменателю $a$:

$$ \frac{a-4}{a} - \frac{a \cdot a}{a} + \frac{3 \cdot a}{a} = \frac{a-4 - a^2 + 3a}{a} = \frac{-a^2 + 4a - 4}{a} $$

Выносим знак "минус" и применяем формулу сокращенного умножения для квадрата разности $ (x-y)^2 = x^2 - 2xy + y^2 $:

$$ -\frac{a^2 - 4a + 4}{a} = -\frac{(a-2)^2}{a} $$

Ответ: $ -\frac{(a-2)^2}{a} $.

2. Упрощение выражения во второй скобке $\left( \frac{1}{a+2} - \frac{a+2}{a^2 - 4a + 4} \right)$

Заметим, что знаменатель второй дроби $ a^2 - 4a + 4 $ является полным квадратом $(a-2)^2$. Приводим дроби к общему знаменателю $(a+2)(a-2)^2$:

$$ \frac{1}{a+2} - \frac{a+2}{(a-2)^2} = \frac{1 \cdot (a-2)^2}{(a+2)(a-2)^2} - \frac{(a+2)(a+2)}{(a+2)(a-2)^2} = \frac{(a-2)^2 - (a+2)^2}{(a+2)(a-2)^2} $$

В числителе используем формулу разности квадратов $x^2 - y^2 = (x-y)(x+y)$:

$$ \frac{((a-2) - (a+2))((a-2) + (a+2))}{(a+2)(a-2)^2} = \frac{(a-2-a-2)(a-2+a+2)}{(a+2)(a-2)^2} = \frac{(-4)(2a)}{(a+2)(a-2)^2} = \frac{-8a}{(a+2)(a-2)^2} $$

Ответ: $ \frac{-8a}{(a+2)(a-2)^2} $.

3. Произведение результатов первых двух действий

Умножим результаты, полученные в шагах 1 и 2:

$$ \left(-\frac{(a-2)^2}{a}\right) \cdot \left(\frac{-8a}{(a+2)(a-2)^2}\right) = \frac{(a-2)^2 \cdot 8a}{a \cdot (a+2)(a-2)^2} $$

Сокращаем общие множители $a$ и $(a-2)^2$ в числителе и знаменателе:

$$ \frac{8}{a+2} $$

Ответ: $ \frac{8}{a+2} $.

4. Возведение в степень -1 и вычитание

Результат шага 3 возводим в степень -1 (т.е. переворачиваем дробь) и вычитаем $\frac{a}{8}$:

$$ \left( \frac{8}{a+2} \right)^{-1} - \frac{a}{8} = \frac{a+2}{8} - \frac{a}{8} $$

$$ \frac{a+2-a}{8} = \frac{2}{8} = \frac{1}{4} $$

Ответ: $ \frac{1}{4} $.

5. Конечное значение выражения

Возводим результат предыдущего действия в степень -1, чтобы найти итоговое значение:

$$ \left(\frac{1}{4}\right)^{-1} = 4 $$

Ответ: 4.

В результате всех преобразований мы получили число 4. Так как итоговое значение является константой и не содержит переменную $a$, это доказывает, что значение исходного выражения не зависит от значений переменной.

Помогло решение? Оставьте отзыв в комментариях ниже.

Присоединяйтесь к Телеграм-группе @gdz_by_belarus

Присоединиться

Мы подготовили для вас ответ c подробным объяснением домашего задания по алгебре за 9 класс, для упражнения номер 1.239 расположенного на странице 68 к учебнику 2019 года издания для учащихся школ и гимназий.

Теперь на нашем сайте ГДЗ.ТОП вы всегда легко и бесплатно найдёте условие с правильным ответом на вопрос «Как решить ДЗ» и «Как сделать» задание по алгебре к упражнению №1.239 (с. 68), авторов: Арефьева (Ирина Глебовна), Пирютко (Ольга Николаевна), учебного пособия издательства Народная асвета.