Номер 1.233, страница 67 - гдз по алгебре 9 класс учебник Арефьева, Пирютко

Алгебра, 9 класс Учебник, авторы: Арефьева Ирина Глебовна, Пирютко Ольга Николаевна, издательство Народная асвета, Минск, 2019, голубого цвета

Авторы: Арефьева И. Г., Пирютко О. Н.

Тип: Учебник

Издательство: Народная асвета

Год издания: 2019 - 2026

Цвет обложки: голубой, синий с графиком

ISBN: 978-985-03-3077-2

Допущено Министерством образования Республики Беларусь

Популярные ГДЗ в 9 классе

Глава 1. Рациональные выражения. Параграф 5. Преобразования рациональных выражений - номер 1.233, страница 67.

№1.233 (с. 67)
Условие. №1.233 (с. 67)
скриншот условия
Алгебра, 9 класс Учебник, авторы: Арефьева Ирина Глебовна, Пирютко Ольга Николаевна, издательство Народная асвета, Минск, 2019, голубого цвета, страница 67, номер 1.233, Условие

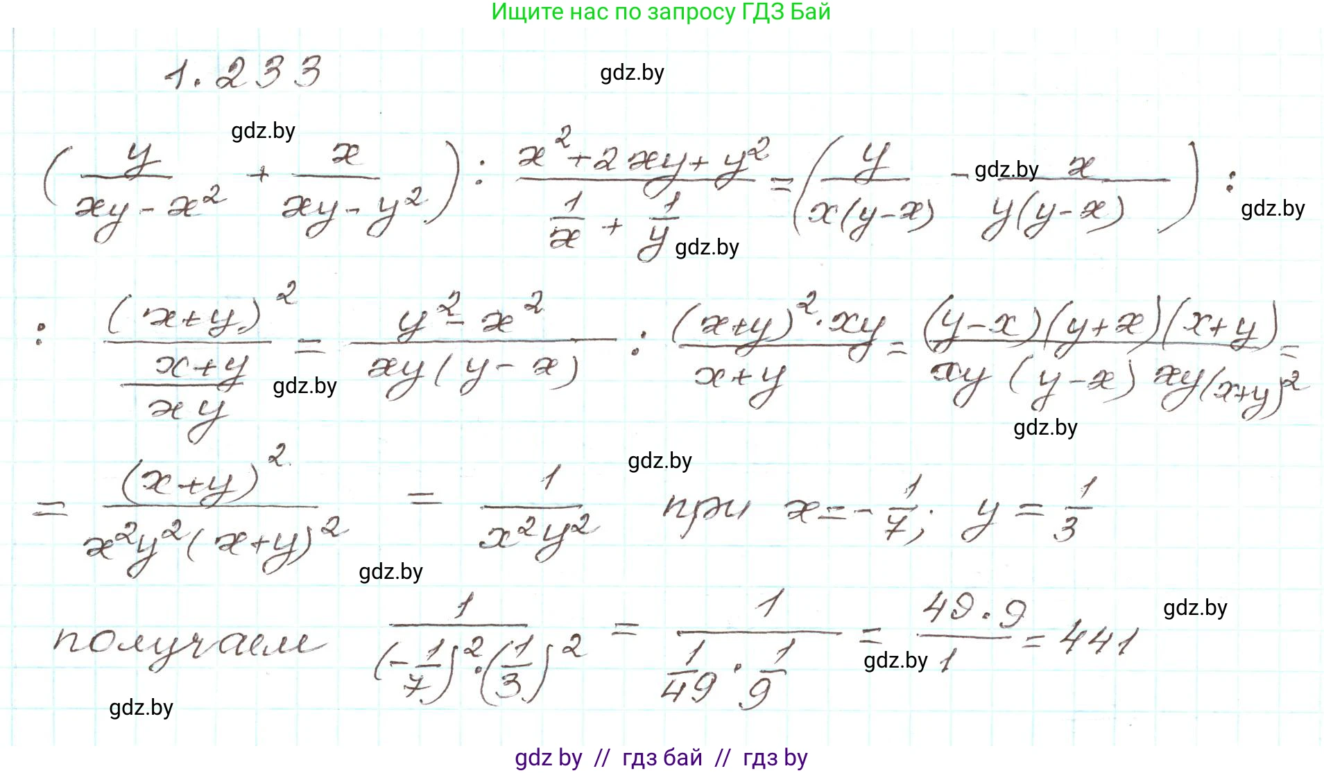
1.233*. Упростите дробное рациональное выражение

$\left(\frac{y}{xy-x^2} + \frac{x}{xy-y^2}\right) : \frac{x^2+2xy+y^2}{\frac{1}{x}+\frac{1}{y}}$

и найдите его значение при $x = -\frac{1}{7}; y = \frac{1}{3}.$

Решение. №1.233 (с. 67)
Алгебра, 9 класс Учебник, авторы: Арефьева Ирина Глебовна, Пирютко Ольга Николаевна, издательство Народная асвета, Минск, 2019, голубого цвета, страница 67, номер 1.233, Решение
Решение 2. №1.233 (с. 67)

Для решения задачи сначала упростим данное дробное рациональное выражение, выполняя действия по шагам.

Шаг 1. Упрощение выражения в скобках.

Сначала преобразуем сумму дробей в скобках, разложив знаменатели на множители:

$ \frac{y}{xy - x^2} + \frac{x}{xy - y^2} = \frac{y}{x(y - x)} + \frac{x}{y(x - y)} $

Чтобы привести дроби к общему знаменателю, во второй дроби вынесем -1 из скобки в знаменателе:

$ \frac{y}{x(y - x)} + \frac{x}{-y(y - x)} = \frac{y}{x(y - x)} - \frac{x}{y(y - x)} $

Теперь приводим дроби к общему знаменателю $xy(y-x)$:

$ \frac{y \cdot y}{xy(y-x)} - \frac{x \cdot x}{xy(y-x)} = \frac{y^2 - x^2}{xy(y-x)} $

Используем формулу разности квадратов $a^2-b^2=(a-b)(a+b)$ для числителя:

$ \frac{(y-x)(y+x)}{xy(y-x)} $

Сокращаем на общий множитель $(y-x)$:

$ \frac{x+y}{xy} $

Шаг 2. Упрощение делителя.

Теперь упростим выражение, на которое производится деление:

$ \frac{x^2 + 2xy + y^2}{\frac{1}{x} + \frac{1}{y}} $

Числитель этой "многоэтажной" дроби является полным квадратом суммы: $x^2 + 2xy + y^2 = (x+y)^2$.

Знаменатель преобразуем, приведя к общему знаменателю $xy$:

$ \frac{1}{x} + \frac{1}{y} = \frac{y}{xy} + \frac{x}{xy} = \frac{x+y}{xy} $

Подставляем упрощенные части обратно в делитель:

$ \frac{(x+y)^2}{\frac{x+y}{xy}} $

Чтобы избавиться от "многоэтажности", умножаем числитель на перевернутый знаменатель:

$ (x+y)^2 \cdot \frac{xy}{x+y} = xy(x+y) $

Шаг 3. Выполнение деления.

Разделим результат шага 1 на результат шага 2:

$ (\frac{x+y}{xy}) : (xy(x+y)) = \frac{x+y}{xy} \cdot \frac{1}{xy(x+y)} $

Сокращаем на общий множитель $(x+y)$:

$ \frac{1}{xy \cdot xy} = \frac{1}{(xy)^2} $

Упростите дробное рациональное выражение Ответ: $ \frac{1}{(xy)^2} $

Теперь, когда выражение упрощено, найдем его значение.

Шаг 4. Подстановка значений.

Подставим значения $x = -\frac{1}{7}$ и $y = \frac{1}{3}$ в упрощенное выражение $ \frac{1}{(xy)^2} $.

Сначала вычислим произведение $xy$:

$ xy = (-\frac{1}{7}) \cdot (\frac{1}{3}) = -\frac{1 \cdot 1}{7 \cdot 3} = -\frac{1}{21} $

Теперь подставим это значение в выражение и вычислим окончательный результат:

$ \frac{1}{(xy)^2} = \frac{1}{(-\frac{1}{21})^2} = \frac{1}{\frac{1}{441}} = 1 \cdot \frac{441}{1} = 441 $

и найдите его значение при $x = -\frac{1}{7}$; $y = \frac{1}{3}$ Ответ: 441

Помогло решение? Оставьте отзыв в комментариях ниже.

Присоединяйтесь к Телеграм-группе @gdz_by_belarus

Присоединиться

Мы подготовили для вас ответ c подробным объяснением домашего задания по алгебре за 9 класс, для упражнения номер 1.233 расположенного на странице 67 к учебнику 2019 года издания для учащихся школ и гимназий.

Теперь на нашем сайте ГДЗ.ТОП вы всегда легко и бесплатно найдёте условие с правильным ответом на вопрос «Как решить ДЗ» и «Как сделать» задание по алгебре к упражнению №1.233 (с. 67), авторов: Арефьева (Ирина Глебовна), Пирютко (Ольга Николаевна), учебного пособия издательства Народная асвета.