Номер 1.232, страница 67 - гдз по алгебре 9 класс учебник Арефьева, Пирютко
Авторы: Арефьева И. Г., Пирютко О. Н.
Тип: Учебник
Издательство: Народная асвета
Год издания: 2019 - 2026
Цвет обложки: голубой, синий с графиком
ISBN: 978-985-03-3077-2
Допущено Министерством образования Республики Беларусь
Популярные ГДЗ в 9 классе
Глава 1. Рациональные выражения. Параграф 5. Преобразования рациональных выражений - номер 1.232, страница 67.
№1.232 (с. 67)
Условие. №1.232 (с. 67)
скриншот условия
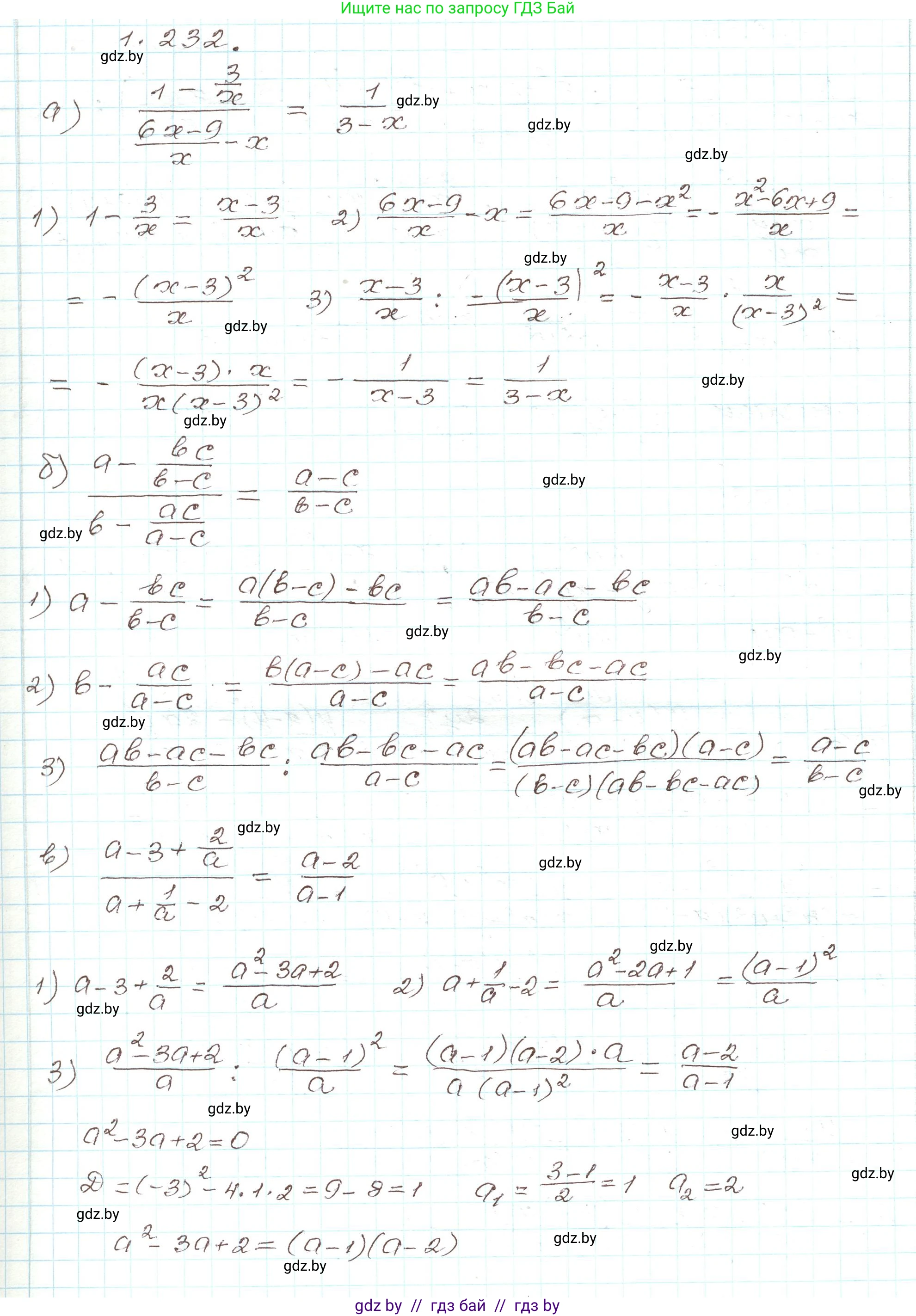
1.232*. Представьте выражение в виде рациональной дроби:
а) $\frac{1 - \frac{3}{x}}{\frac{6x - 9}{x} - x}$;
б) $\frac{a - \frac{bc}{b - c}}{b - \frac{ac}{a - c}}$;
в) $\frac{a - 3 + \frac{2}{a}}{a + \frac{1}{a} - 2}$.
Решение. №1.232 (с. 67)
Решение 2. №1.232 (с. 67)
а) Чтобы представить выражение $\frac{1-\frac{3}{x}}{\frac{6x-9}{x} - x}$ в виде рациональной дроби, необходимо сначала упростить числитель и знаменатель этой многоэтажной дроби.
1. Упростим числитель, приведя его к общему знаменателю $x$:
$1 - \frac{3}{x} = \frac{x}{x} - \frac{3}{x} = \frac{x-3}{x}$
2. Упростим знаменатель, также приведя к общему знаменателю $x$:
$\frac{6x-9}{x} - x = \frac{6x-9}{x} - \frac{x^2}{x} = \frac{6x-9-x^2}{x}$
Вынесем минус за скобки в числителе и свернем полный квадрат:
$\frac{-(x^2-6x+9)}{x} = \frac{-(x-3)^2}{x}$
3. Теперь разделим упрощенный числитель на упрощенный знаменатель. Деление дробей заменяется умножением на перевернутую дробь:
$\frac{\frac{x-3}{x}}{\frac{-(x-3)^2}{x}} = \frac{x-3}{x} \cdot \frac{x}{-(x-3)^2}$
Сократим общие множители $x$ и $(x-3)$ (при условии, что $x \neq 0$ и $x \neq 3$):
$\frac{\cancel{x-3}}{\cancel{x}} \cdot \frac{\cancel{x}}{-(x-3)(\cancel{x-3})} = \frac{1}{-(x-3)} = -\frac{1}{x-3} = \frac{1}{3-x}$
Полученная дробь $\frac{1}{3-x}$ является правильной, так как степень многочлена в числителе (0) меньше степени многочлена в знаменателе (1), поэтому целая часть равна нулю.
Ответ: $\frac{1}{3-x}$
б) Представим выражение $\frac{a - \frac{bc}{b-c}}{b - \frac{ac}{a-c}}$ в виде рациональной дроби.
1. Упростим числитель, приведя его к общему знаменателю $(b-c)$:
$a - \frac{bc}{b-c} = \frac{a(b-c)}{b-c} - \frac{bc}{b-c} = \frac{ab - ac - bc}{b-c}$
2. Упростим знаменатель, приведя его к общему знаменателю $(a-c)$:
$b - \frac{ac}{a-c} = \frac{b(a-c)}{a-c} - \frac{ac}{a-c} = \frac{ab - bc - ac}{a-c}$
3. Разделим упрощенный числитель на упрощенный знаменатель:
$\frac{\frac{ab - ac - bc}{b-c}}{\frac{ab - bc - ac}{a-c}} = \frac{ab - ac - bc}{b-c} \cdot \frac{a-c}{ab - ac - bc}$
Сократим общий множитель $(ab - ac - bc)$ (при условии, что он не равен нулю):
$\frac{\cancel{ab - ac - bc}}{b-c} \cdot \frac{a-c}{\cancel{ab - ac - bc}} = \frac{a-c}{b-c}$
Полученная дробь $\frac{a-c}{b-c}$ является неправильной, так как полная степень числителя (1) равна полной степени знаменателя (1). Для выделения целой части преобразуем числитель:
$\frac{a-c}{b-c} = \frac{(a-b) + (b-c)}{b-c} = \frac{a-b}{b-c} + \frac{b-c}{b-c} = \frac{a-b}{b-c} + 1$
Ответ: $\frac{a-c}{b-c} = \mathbf{1} + \frac{a-b}{b-c}$
в) Представим выражение $\frac{a-3+\frac{2}{a}}{a+\frac{1}{a}-2}$ в виде рациональной дроби.
1. Упростим числитель, приведя к общему знаменателю $a$:
$a-3+\frac{2}{a} = \frac{a^2 - 3a + 2}{a}$
Разложим квадратный трехчлен в числителе на множители: $a^2 - 3a + 2 = (a-1)(a-2)$.
Числитель равен $\frac{(a-1)(a-2)}{a}$.
2. Упростим знаменатель, приведя к общему знаменателю $a$:
$a-2+\frac{1}{a} = \frac{a^2 - 2a + 1}{a}$
Свернем числитель по формуле квадрата разности: $a^2 - 2a + 1 = (a-1)^2$.
Знаменатель равен $\frac{(a-1)^2}{a}$.
3. Разделим упрощенный числитель на упрощенный знаменатель:
$\frac{\frac{(a-1)(a-2)}{a}}{\frac{(a-1)^2}{a}} = \frac{(a-1)(a-2)}{a} \cdot \frac{a}{(a-1)^2}$
Сократим общие множители $a$ и $(a-1)$ (при условии, что $a \neq 0$ и $a \neq 1$):
$\frac{(\cancel{a-1})(a-2)}{\cancel{a}} \cdot \frac{\cancel{a}}{(a-1)(\cancel{a-1})} = \frac{a-2}{a-1}$
Полученная дробь $\frac{a-2}{a-1}$ является неправильной, так как степень числителя (1) равна степени знаменателя (1). Выделим целую часть, разделив многочлен на многочлен (или представив числитель $a-2$ как $(a-1)-1$):
$\frac{a-2}{a-1} = \frac{(a-1) - 1}{a-1} = \frac{a-1}{a-1} - \frac{1}{a-1} = 1 - \frac{1}{a-1}$
Ответ: $\frac{a-2}{a-1} = \mathbf{1} - \frac{1}{a-1}$
Другие задания:
Помогло решение? Оставьте отзыв в комментариях ниже.
Присоединяйтесь к Телеграм-группе @gdz_by_belarus
ПрисоединитьсяМы подготовили для вас ответ c подробным объяснением домашего задания по алгебре за 9 класс, для упражнения номер 1.232 расположенного на странице 67 к учебнику 2019 года издания для учащихся школ и гимназий.
Теперь на нашем сайте ГДЗ.ТОП вы всегда легко и бесплатно найдёте условие с правильным ответом на вопрос «Как решить ДЗ» и «Как сделать» задание по алгебре к упражнению №1.232 (с. 67), авторов: Арефьева (Ирина Глебовна), Пирютко (Ольга Николаевна), учебного пособия издательства Народная асвета.