Номер 1.49, страница 27 - гдз по алгебре 9 класс учебник Арефьева, Пирютко

Алгебра, 9 класс Учебник, авторы: Арефьева Ирина Глебовна, Пирютко Ольга Николаевна, издательство Народная асвета, Минск, 2019, голубого цвета

Авторы: Арефьева И. Г., Пирютко О. Н.

Тип: Учебник

Издательство: Народная асвета

Год издания: 2019 - 2026

Цвет обложки: голубой, синий с графиком

ISBN: 978-985-03-3077-2

Допущено Министерством образования Республики Беларусь

Популярные ГДЗ в 9 классе

Глава 1. Рациональные выражения. Параграф 2. Основное свойство рациональной дроби. Сокращение рациональных дробей - номер 1.49, страница 27.

№1.49 (с. 27)
Условие. №1.49 (с. 27)
скриншот условия
Алгебра, 9 класс Учебник, авторы: Арефьева Ирина Глебовна, Пирютко Ольга Николаевна, издательство Народная асвета, Минск, 2019, голубого цвета, страница 27, номер 1.49, Условие Алгебра, 9 класс Учебник, авторы: Арефьева Ирина Глебовна, Пирютко Ольга Николаевна, издательство Народная асвета, Минск, 2019, голубого цвета, страница 27, номер 1.49, Условие (продолжение 2)

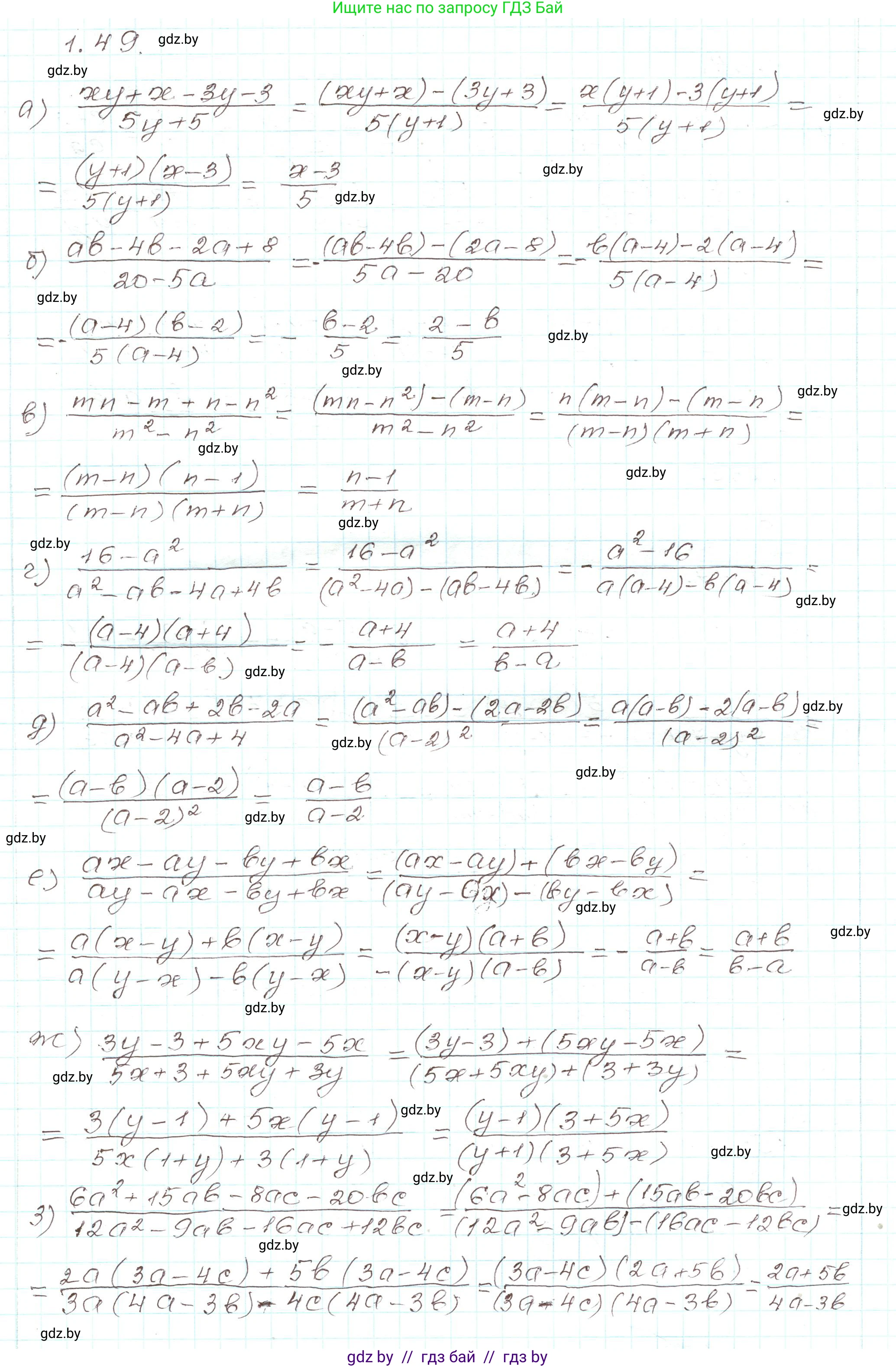
1.49. Примените для разложения числителя и знаменателя дроби на множители способ группировки, если это необходимо, и сократите дробь:

а) $ \frac{xy + x - 3y - 3}{5y + 5} $

б) $ \frac{ab - 4b - 2a + 8}{20 - 5a} $

в) $ \frac{mn - m + n - n^2}{m^2 - n^2} $

г) $ \frac{16 - a^2}{a^2 - ab - 4a + 4b} $

д) $ \frac{a^2 - ab + 2b - 2a}{a^2 - 4a + 4} $

е) $ \frac{ax - ay - by + bx}{ay - ax - by + bx} $

ж) $ \frac{3y - 3 + 5xy - 5x}{5x + 3 + 5xy + 3y} $

з) $ \frac{6a^2 + 15ab - 8ac - 20bc}{12a^2 - 9ab - 16ac + 12bc} $

Решение. №1.49 (с. 27)
Алгебра, 9 класс Учебник, авторы: Арефьева Ирина Глебовна, Пирютко Ольга Николаевна, издательство Народная асвета, Минск, 2019, голубого цвета, страница 27, номер 1.49, Решение
Решение 2. №1.49 (с. 27)

а) Для дроби $\frac{xy + x - 3y - 3}{5y + 5}$ разложим числитель и знаменатель на множители.
Числитель: $xy + x - 3y - 3 = (xy + x) - (3y + 3) = x(y + 1) - 3(y + 1) = (x - 3)(y + 1)$.
Знаменатель: $5y + 5 = 5(y + 1)$.
Получаем дробь: $\frac{(x - 3)(y + 1)}{5(y + 1)}$.
Сокращаем на общий множитель $(y + 1)$:
$\frac{x - 3}{5}$.
Ответ: $\frac{x - 3}{5}$.

б) Для дроби $\frac{ab - 4b - 2a + 8}{20 - 5a}$ разложим числитель и знаменатель на множители.
Числитель: $ab - 4b - 2a + 8 = (ab - 4b) - (2a - 8) = b(a - 4) - 2(a - 4) = (b - 2)(a - 4)$.
Знаменатель: $20 - 5a = 5(4 - a) = -5(a - 4)$.
Получаем дробь: $\frac{(b - 2)(a - 4)}{-5(a - 4)}$.
Сокращаем на общий множитель $(a - 4)$:
$\frac{b - 2}{-5} = -\frac{b - 2}{5} = \frac{2 - b}{5}$.
Ответ: $\frac{2 - b}{5}$.

в) Для дроби $\frac{mn - m + n - n^2}{m^2 - n^2}$ разложим числитель и знаменатель на множители.
Числитель: $mn - m + n - n^2 = (mn - m) + (n - n^2) = m(n - 1) + n(1 - n) = m(n - 1) - n(n - 1) = (m - n)(n - 1)$.
Знаменатель (разность квадратов): $m^2 - n^2 = (m - n)(m + n)$.
Получаем дробь: $\frac{(m - n)(n - 1)}{(m - n)(m + n)}$.
Сокращаем на общий множитель $(m - n)$:
$\frac{n - 1}{m + n}$.
Ответ: $\frac{n - 1}{m + n}$.

г) Для дроби $\frac{16 - a^2}{a^2 - ab - 4a + 4b}$ разложим числитель и знаменатель на множители.
Числитель (разность квадратов): $16 - a^2 = (4 - a)(4 + a)$.
Знаменатель: $a^2 - ab - 4a + 4b = (a^2 - ab) - (4a - 4b) = a(a - b) - 4(a - b) = (a - 4)(a - b)$.
Получаем дробь: $\frac{(4 - a)(4 + a)}{(a - 4)(a - b)}$.
Так как $(4 - a) = -(a - 4)$, перепишем дробь: $\frac{-(a - 4)(a + 4)}{(a - 4)(a - b)}$.
Сокращаем на общий множитель $(a - 4)$:
$\frac{-(a + 4)}{a - b} = \frac{a + 4}{b - a}$.
Ответ: $\frac{a + 4}{b - a}$.

д) Для дроби $\frac{a^2 - ab + 2b - 2a}{a^2 - 4a + 4}$ разложим числитель и знаменатель на множители.
Числитель: $a^2 - ab + 2b - 2a = (a^2 - 2a) - (ab - 2b) = a(a - 2) - b(a - 2) = (a - b)(a - 2)$.
Знаменатель (полный квадрат): $a^2 - 4a + 4 = (a - 2)^2$.
Получаем дробь: $\frac{(a - b)(a - 2)}{(a - 2)^2}$.
Сокращаем на общий множитель $(a - 2)$:
$\frac{a - b}{a - 2}$.
Ответ: $\frac{a - b}{a - 2}$.

е) Для дроби $\frac{ax - ay - by + bx}{ay - ax - by + bx}$ разложим числитель и знаменатель на множители.
Числитель: $ax - ay - by + bx = (ax + bx) - (ay + by) = x(a + b) - y(a + b) = (x - y)(a + b)$.
Знаменатель: $ay - ax - by + bx = (ay - by) - (ax - bx) = y(a - b) - x(a - b) = (y - x)(a - b)$.
Получаем дробь: $\frac{(x - y)(a + b)}{(y - x)(a - b)}$.
Так как $(x - y) = -(y - x)$, перепишем дробь: $\frac{-(y - x)(a + b)}{(y - x)(a - b)}$.
Сокращаем на общий множитель $(y - x)$:
$\frac{-(a + b)}{a - b} = \frac{a + b}{b - a}$.
Ответ: $\frac{a + b}{b - a}$.

ж) Для дроби $\frac{3y - 3 + 5xy - 5x}{5x + 3 + 5xy + 3y}$ разложим числитель и знаменатель на множители.
Числитель: $3y - 3 + 5xy - 5x = (3y - 3) + (5xy - 5x) = 3(y - 1) + 5x(y - 1) = (3 + 5x)(y - 1)$.
Знаменатель: $5x + 3 + 5xy + 3y = (5x + 5xy) + (3 + 3y) = 5x(1 + y) + 3(1 + y) = (5x + 3)(y + 1)$.
Получаем дробь: $\frac{(5x + 3)(y - 1)}{(5x + 3)(y + 1)}$.
Сокращаем на общий множитель $(5x + 3)$:
$\frac{y - 1}{y + 1}$.
Ответ: $\frac{y - 1}{y + 1}$.

з) Для дроби $\frac{6a^2 + 15ab - 8ac - 20bc}{12a^2 - 9ab - 16ac + 12bc}$ разложим числитель и знаменатель на множители.
Числитель: $6a^2 + 15ab - 8ac - 20bc = (6a^2 + 15ab) - (8ac + 20bc) = 3a(2a + 5b) - 4c(2a + 5b) = (3a - 4c)(2a + 5b)$.
Знаменатель: $12a^2 - 9ab - 16ac + 12bc = (12a^2 - 9ab) - (16ac - 12bc) = 3a(4a - 3b) - 4c(4a - 3b) = (3a - 4c)(4a - 3b)$.
Получаем дробь: $\frac{(3a - 4c)(2a + 5b)}{(3a - 4c)(4a - 3b)}$.
Сокращаем на общий множитель $(3a - 4c)$:
$\frac{2a + 5b}{4a - 3b}$.
Ответ: $\frac{2a + 5b}{4a - 3b}$.

Помогло решение? Оставьте отзыв в комментариях ниже.

Присоединяйтесь к Телеграм-группе @gdz_by_belarus

Присоединиться

Мы подготовили для вас ответ c подробным объяснением домашего задания по алгебре за 9 класс, для упражнения номер 1.49 расположенного на странице 27 к учебнику 2019 года издания для учащихся школ и гимназий.

Теперь на нашем сайте ГДЗ.ТОП вы всегда легко и бесплатно найдёте условие с правильным ответом на вопрос «Как решить ДЗ» и «Как сделать» задание по алгебре к упражнению №1.49 (с. 27), авторов: Арефьева (Ирина Глебовна), Пирютко (Ольга Николаевна), учебного пособия издательства Народная асвета.