Номер 1.51, страница 28 - гдз по алгебре 9 класс учебник Арефьева, Пирютко

Алгебра, 9 класс Учебник, авторы: Арефьева Ирина Глебовна, Пирютко Ольга Николаевна, издательство Народная асвета, Минск, 2019, голубого цвета

Авторы: Арефьева И. Г., Пирютко О. Н.

Тип: Учебник

Издательство: Народная асвета

Год издания: 2019 - 2026

Цвет обложки: голубой, синий с графиком

ISBN: 978-985-03-3077-2

Допущено Министерством образования Республики Беларусь

Популярные ГДЗ в 9 классе

Глава 1. Рациональные выражения. Параграф 2. Основное свойство рациональной дроби. Сокращение рациональных дробей - номер 1.51, страница 28.

№1.51 (с. 28)
Условие. №1.51 (с. 28)
скриншот условия
Алгебра, 9 класс Учебник, авторы: Арефьева Ирина Глебовна, Пирютко Ольга Николаевна, издательство Народная асвета, Минск, 2019, голубого цвета, страница 28, номер 1.51, Условие

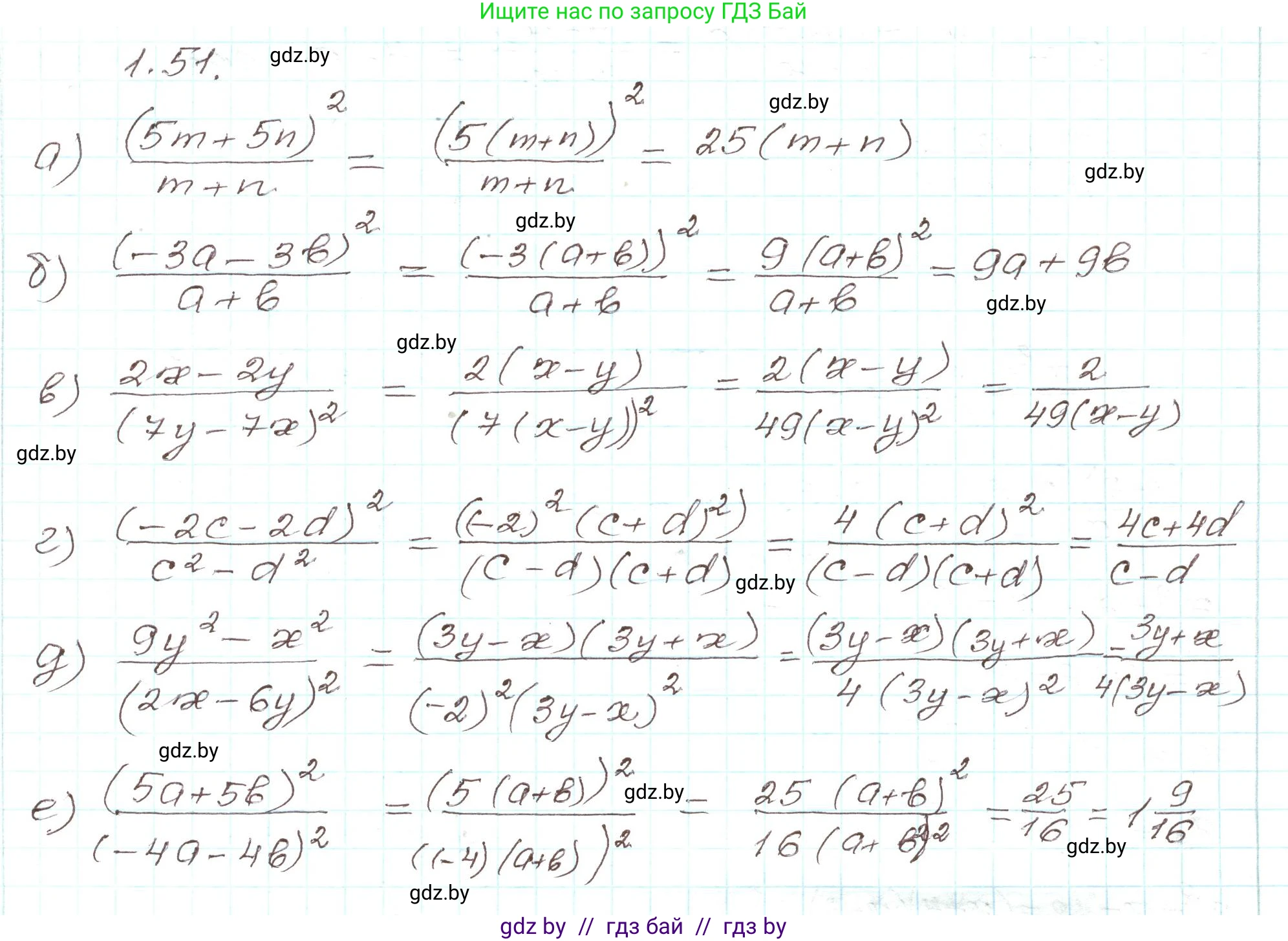
1.51. Сократите рациональную дробь:

а) $\frac{(5m + 5n)^2}{m + n}$;

б) $\frac{(-3a - 3b)^2}{a + b}$;

в) $\frac{2x - 2y}{(7y - 7x)^2}$;

г) $\frac{(-2c - 2d)^2}{c^2 - d^2}$;

д) $\frac{9y^2 - x^2}{(2x - 6y)^2}$;

е) $\frac{(5a + 5b)^2}{(-4a - 4b)^2}$.

Решение. №1.51 (с. 28)
Алгебра, 9 класс Учебник, авторы: Арефьева Ирина Глебовна, Пирютко Ольга Николаевна, издательство Народная асвета, Минск, 2019, голубого цвета, страница 28, номер 1.51, Решение
Решение 2. №1.51 (с. 28)

а) Для того чтобы сократить дробь, вынесем общий множитель в числителе за скобки и применим свойства степени:
$\frac{(5m+5n)^2}{m+n} = \frac{(5(m+n))^2}{m+n} = \frac{5^2 \cdot (m+n)^2}{m+n} = \frac{25(m+n)^2}{m+n}$
Теперь сократим дробь на общий множитель $(m+n)$:
$\frac{25(m+n)}{1} = 25(m+n)$
Ответ: $25(m+n)$

б) Вынесем общий множитель в числителе за скобки. Обратите внимание, что $(-a-b)^2 = (a+b)^2$:
$\frac{(-3a-3b)^2}{a+b} = \frac{(-3(a+b))^2}{a+b} = \frac{(-3)^2 \cdot (a+b)^2}{a+b} = \frac{9(a+b)^2}{a+b}$
Сократим дробь на $(a+b)$:
$9(a+b)$
Ответ: $9(a+b)$

в) Вынесем общие множители в числителе и знаменателе:
$\frac{2x-2y}{(7y-7x)^2} = \frac{2(x-y)}{(7(y-x))^2}$
Используем свойство $(y-x) = -(x-y)$ и $(-a)^2=a^2$:
$\frac{2(x-y)}{(7(-(x-y)))^2} = \frac{2(x-y)}{(-7(x-y))^2} = \frac{2(x-y)}{(-7)^2(x-y)^2} = \frac{2(x-y)}{49(x-y)^2}$
Сократим дробь на $(x-y)$:
$\frac{2}{49(x-y)}$
Ответ: $\frac{2}{49(x-y)}$

г) В числителе вынесем общий множитель, а в знаменателе применим формулу разности квадратов $a^2-b^2=(a-b)(a+b)$:
$\frac{(-2c-2d)^2}{c^2-d^2} = \frac{(-2(c+d))^2}{(c-d)(c+d)} = \frac{4(c+d)^2}{(c-d)(c+d)}$
Сократим дробь на общий множитель $(c+d)$:
$\frac{4(c+d)}{c-d}$
Ответ: $\frac{4(c+d)}{c-d}$

д) В числителе применим формулу разности квадратов, а в знаменателе вынесем общий множитель:
$\frac{9y^2-x^2}{(2x-6y)^2} = \frac{(3y-x)(3y+x)}{(2(x-3y))^2}$
Используем свойство $(3y-x) = -(x-3y)$:
$\frac{-(x-3y)(3y+x)}{4(x-3y)^2}$
Сократим дробь на $(x-3y)$:
$\frac{-(3y+x)}{4(x-3y)} = -\frac{x+3y}{4(x-3y)}$
Ответ: $-\frac{x+3y}{4(x-3y)}$

е) Вынесем общие множители в числителе и знаменателе:
$\frac{(5a+5b)^2}{(-4a-4b)^2} = \frac{(5(a+b))^2}{(-4(a+b))^2} = \frac{5^2(a+b)^2}{(-4)^2(a+b)^2} = \frac{25(a+b)^2}{16(a+b)^2}$
Сократим дробь на $(a+b)^2$ (при условии, что $a+b \neq 0$):
$\frac{25}{16}$
Преобразуем неправильную дробь в смешанное число, выделив целую часть:
$\frac{25}{16} = 1\frac{9}{16}$
Ответ: $\mathbf{1}\frac{9}{16}$

Помогло решение? Оставьте отзыв в комментариях ниже.

Присоединяйтесь к Телеграм-группе @gdz_by_belarus

Присоединиться

Мы подготовили для вас ответ c подробным объяснением домашего задания по алгебре за 9 класс, для упражнения номер 1.51 расположенного на странице 28 к учебнику 2019 года издания для учащихся школ и гимназий.

Теперь на нашем сайте ГДЗ.ТОП вы всегда легко и бесплатно найдёте условие с правильным ответом на вопрос «Как решить ДЗ» и «Как сделать» задание по алгебре к упражнению №1.51 (с. 28), авторов: Арефьева (Ирина Глебовна), Пирютко (Ольга Николаевна), учебного пособия издательства Народная асвета.