Номер 5, страница 72 - гдз по алгебре 9 класс учебник Арефьева, Пирютко

Алгебра, 9 класс Учебник, авторы: Арефьева Ирина Глебовна, Пирютко Ольга Николаевна, издательство Народная асвета, Минск, 2019, голубого цвета

Авторы: Арефьева И. Г., Пирютко О. Н.

Тип: Учебник

Издательство: Народная асвета

Год издания: 2019 - 2026

Цвет обложки: голубой, синий с графиком

ISBN: 978-985-03-3077-2

Допущено Министерством образования Республики Беларусь

Популярные ГДЗ в 9 классе

Глава 1. Рациональные выражения. Я проверяю свои знания - номер 5, страница 72.

№5 (с. 72)
Условие. №5 (с. 72)
скриншот условия
Алгебра, 9 класс Учебник, авторы: Арефьева Ирина Глебовна, Пирютко Ольга Николаевна, издательство Народная асвета, Минск, 2019, голубого цвета, страница 72, номер 5, Условие

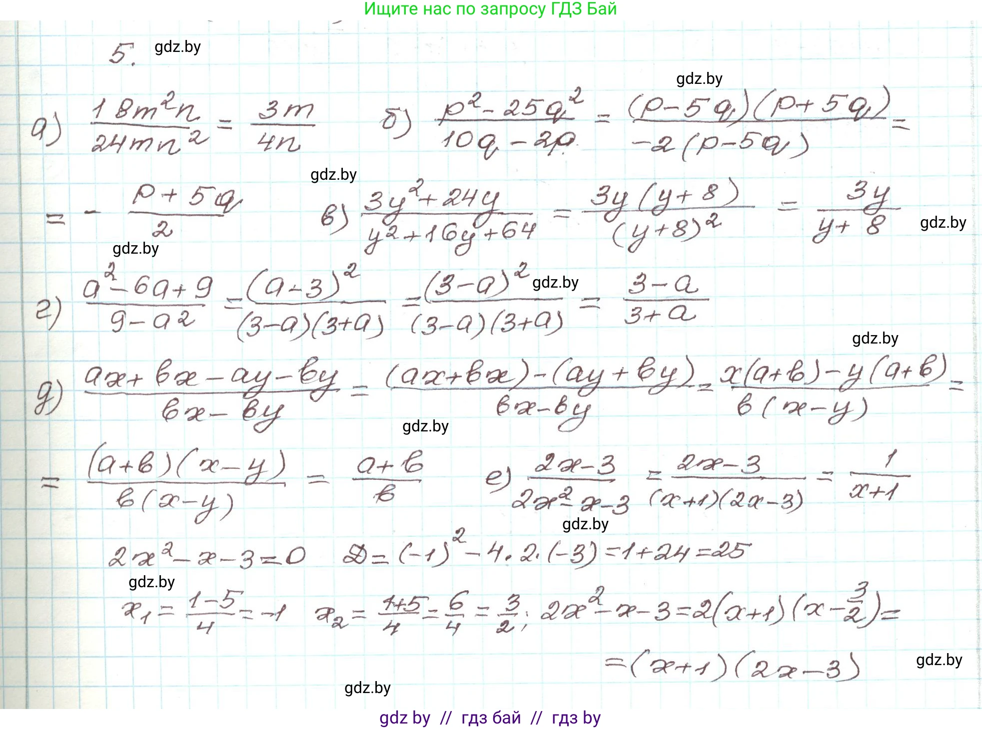
5. Сократите рациональную дробь:

а) $\frac{18m^2n}{24mn^2}$;

б) $\frac{p^2-25q^2}{10q-2p}$;

в) $\frac{3y^2+24y}{y^2+16y+64}$;

г) $\frac{a^2-6a+9}{9-a^2}$;

д) $\frac{ax+bx-ay-by}{bx-by}$;

е) $\frac{2x-3}{2x^2-x-3}$.

Какие способы разложения многочленов на множители вы использовали?

Решение. №5 (с. 72)
Алгебра, 9 класс Учебник, авторы: Арефьева Ирина Глебовна, Пирютко Ольга Николаевна, издательство Народная асвета, Минск, 2019, голубого цвета, страница 72, номер 5, Решение
Решение 2. №5 (с. 72)

а) Чтобы сократить дробь $\frac{18m^2n}{24mn^2}$, необходимо разложить числитель и знаменатель на множители и сократить общие. Найдем наибольший общий делитель (НОД) для коэффициентов 18 и 24, который равен 6. Общий множитель для переменных - $mn$.
$\frac{18m^2n}{24mn^2} = \frac{6 \cdot 3 \cdot m \cdot m \cdot n}{6 \cdot 4 \cdot m \cdot n \cdot n} = \frac{3m}{4n}$.
Ответ: $\frac{3m}{4n}$.

б) Чтобы сократить дробь $\frac{p^2-25q^2}{10q-2p}$, разложим числитель и знаменатель на множители. Числитель представляет собой разность квадратов: $p^2 - 25q^2 = p^2 - (5q)^2 = (p-5q)(p+5q)$.
В знаменателе вынесем общий множитель -2 за скобки, чтобы получить выражение, совпадающее с одним из множителей в числителе: $10q - 2p = -2(p - 5q)$.
Получаем дробь: $\frac{(p-5q)(p+5q)}{-2(p-5q)}$. Сокращаем общий множитель $(p-5q)$.
$\frac{p+5q}{-2} = -\frac{p+5q}{2}$.
Ответ: $-\frac{p+5q}{2}$.

в) Чтобы сократить дробь $\frac{3y^2+24y}{y^2+16y+64}$, разложим числитель и знаменатель на множители. В числителе вынесем общий множитель $3y$ за скобки: $3y^2+24y = 3y(y+8)$.
Знаменатель является полным квадратом суммы: $y^2+16y+64 = y^2 + 2 \cdot y \cdot 8 + 8^2 = (y+8)^2$.
Получаем дробь: $\frac{3y(y+8)}{(y+8)^2}$. Сокращаем общий множитель $(y+8)$.
$\frac{3y}{y+8}$.
Так как степень числителя равна степени знаменателя, это неправильная рациональная дробь. Выделим целую часть: $\frac{3y}{y+8} = \frac{3(y+8)-24}{y+8} = \frac{3(y+8)}{y+8} - \frac{24}{y+8} = 3 - \frac{24}{y+8}$.
Ответ: $3 - \frac{24}{y+8}$.

г) Чтобы сократить дробь $\frac{a^2-6a+9}{9-a^2}$, разложим числитель и знаменатель на множители. Числитель является полным квадратом разности: $a^2-6a+9 = (a-3)^2$.
Знаменатель является разностью квадратов: $9-a^2 = (3-a)(3+a)$.
Получаем дробь: $\frac{(a-3)^2}{(3-a)(3+a)}$. Заметим, что $(a-3) = -(3-a)$, поэтому $(a-3)^2 = (-(3-a))^2 = (3-a)^2$.
$\frac{(3-a)^2}{(3-a)(3+a)} = \frac{3-a}{3+a}$.
Выделим целую часть: $\frac{3-a}{3+a} = \frac{-a+3}{a+3} = \frac{-(a+3)+6}{a+3} = \frac{-(a+3)}{a+3} + \frac{6}{a+3} = -1 + \frac{6}{a+3}$.
Ответ: $-1 + \frac{6}{a+3}$.

д) Чтобы сократить дробь $\frac{ax+bx-ay-by}{bx-by}$, разложим числитель и знаменатель на множители. В числителе применим способ группировки: $(ax+bx) - (ay+by) = x(a+b) - y(a+b) = (x-y)(a+b)$.
В знаменателе вынесем общий множитель $b$: $bx-by = b(x-y)$.
Получаем дробь: $\frac{(x-y)(a+b)}{b(x-y)}$. Сокращаем общий множитель $(x-y)$.
$\frac{a+b}{b}$.
Выделим целую часть: $\frac{a+b}{b} = \frac{a}{b} + \frac{b}{b} = 1 + \frac{a}{b}$.
Ответ: $1 + \frac{a}{b}$.

е) Чтобы сократить дробь $\frac{2x-3}{2x^2-x-3}$, разложим знаменатель на множители. Знаменатель - это квадратный трехчлен. Чтобы его разложить, найдем корни уравнения $2x^2-x-3=0$.
Дискриминант $D = b^2 - 4ac = (-1)^2 - 4 \cdot 2 \cdot (-3) = 1 + 24 = 25$.
Корни: $x_1 = \frac{-b + \sqrt{D}}{2a} = \frac{1+5}{4} = \frac{6}{4} = \frac{3}{2}$; $x_2 = \frac{-b - \sqrt{D}}{2a} = \frac{1-5}{4} = -1$.
Разложение по формуле $a(x-x_1)(x-x_2)$: $2(x-\frac{3}{2})(x-(-1)) = (2x-3)(x+1)$.
Получаем дробь: $\frac{2x-3}{(2x-3)(x+1)}$. Сокращаем общий множитель $(2x-3)$.
$\frac{1}{x+1}$.
Ответ: $\frac{1}{x+1}$.


Какие способы разложения многочленов на множители вы использовали?

При решении данного задания были использованы следующие способы разложения многочленов на множители:

  • Вынесение общего множителя за скобки: этот метод применялся для упрощения одночленов и многочленов, у которых есть общий делитель (примеры а, б, в, д).
  • Применение формул сокращенного умножения:
    • Формула разности квадратов $a^2-b^2 = (a-b)(a+b)$ (примеры б, г).
    • Формула квадрата суммы $(a+b)^2 = a^2+2ab+b^2$ (пример в).
    • Формула квадрата разности $(a-b)^2 = a^2-2ab+b^2$ (пример г).
  • Способ группировки: этот метод используется для многочленов, у которых нет общего множителя для всех членов, но можно сгруппировать слагаемые так, чтобы у каждой группы появился свой общий множитель (пример д).
  • Разложение квадратного трехчлена на множители: по формуле $ax^2+bx+c=a(x-x_1)(x-x_2)$, где $x_1$ и $x_2$ – корни соответствующего квадратного уравнения (пример е).

Помогло решение? Оставьте отзыв в комментариях ниже.

Присоединяйтесь к Телеграм-группе @gdz_by_belarus

Присоединиться

Мы подготовили для вас ответ c подробным объяснением домашего задания по алгебре за 9 класс, для упражнения номер 5 расположенного на странице 72 к учебнику 2019 года издания для учащихся школ и гимназий.

Теперь на нашем сайте ГДЗ.ТОП вы всегда легко и бесплатно найдёте условие с правильным ответом на вопрос «Как решить ДЗ» и «Как сделать» задание по алгебре к упражнению №5 (с. 72), авторов: Арефьева (Ирина Глебовна), Пирютко (Ольга Николаевна), учебного пособия издательства Народная асвета.