Номер 8, страница 73 - гдз по алгебре 9 класс учебник Арефьева, Пирютко

Алгебра, 9 класс Учебник, авторы: Арефьева Ирина Глебовна, Пирютко Ольга Николаевна, издательство Народная асвета, Минск, 2019, голубого цвета

Авторы: Арефьева И. Г., Пирютко О. Н.

Тип: Учебник

Издательство: Народная асвета

Год издания: 2019 - 2026

Цвет обложки: голубой, синий с графиком

ISBN: 978-985-03-3077-2

Допущено Министерством образования Республики Беларусь

Популярные ГДЗ в 9 классе

Глава 1. Рациональные выражения. Я проверяю свои знания - номер 8, страница 73.

№8 (с. 73)
Условие. №8 (с. 73)
скриншот условия
Алгебра, 9 класс Учебник, авторы: Арефьева Ирина Глебовна, Пирютко Ольга Николаевна, издательство Народная асвета, Минск, 2019, голубого цвета, страница 73, номер 8, Условие

8. Определите порядок действий и упростите рациональное выражение:

а) $(\frac{5}{x-2} - x - 2) \cdot \frac{2-x}{x^2-6x+9};$

б) $(\frac{a^2}{a+5} - \frac{a^3}{a^2+10a+25}) : (\frac{a}{a+5} - \frac{a^2}{a^2-25});$

в) $(\frac{a+b}{a^2-ab} - \frac{2b}{a^2-b^2}) \cdot \frac{b^2-a^2}{1+\frac{b^2}{a^2}};$

г) $(\frac{3}{x-3} + \frac{4}{x^2-5x+6} + \frac{2x}{x-2}) : (\frac{2x+1}{3} - \frac{x-12}{9-3x});$

Решение. №8 (с. 73)
Алгебра, 9 класс Учебник, авторы: Арефьева Ирина Глебовна, Пирютко Ольга Николаевна, издательство Народная асвета, Минск, 2019, голубого цвета, страница 73, номер 8, Решение Алгебра, 9 класс Учебник, авторы: Арефьева Ирина Глебовна, Пирютко Ольга Николаевна, издательство Народная асвета, Минск, 2019, голубого цвета, страница 73, номер 8, Решение (продолжение 2)
Решение 2. №8 (с. 73)

а) Дано выражение: $(\frac{5}{x-2} - x - 2) \cdot \frac{2-x}{x^2 - 6x + 9}$

1. Сначала упростим выражение в скобках, приведя его к общему знаменателю $(x-2)$:

$\frac{5}{x-2} - x - 2 = \frac{5}{x-2} - \frac{x(x-2)}{x-2} - \frac{2(x-2)}{x-2} = \frac{5 - (x^2 - 2x) - (2x - 4)}{x-2} = \frac{5 - x^2 + 2x - 2x + 4}{x-2} = \frac{9 - x^2}{x-2}$

Применим формулу разности квадратов $a^2 - b^2 = (a-b)(a+b)$ к числителю:

$\frac{9 - x^2}{x-2} = \frac{(3-x)(3+x)}{x-2}$

2. Теперь упростим второй множитель. Знаменатель $x^2 - 6x + 9$ является полным квадратом $(x-3)^2$. В числителе $2-x$ вынесем минус за скобку: $2-x = -(x-2)$.

$\frac{2-x}{x^2 - 6x + 9} = \frac{-(x-2)}{(x-3)^2}$

3. Перемножим полученные упрощенные выражения. Заметим, что $3-x = -(x-3)$.

$\frac{(3-x)(3+x)}{x-2} \cdot \frac{-(x-2)}{(x-3)^2} = \frac{-(x-3)(x+3)}{x-2} \cdot \frac{-(x-2)}{(x-3)^2}$

Два знака "минус" при умножении дают "плюс". Сократим общие множители $(x-3)$ и $(x-2)$:

$\frac{(x-3)(x+3)(x-2)}{(x-2)(x-3)^2} = \frac{x+3}{x-3}$

4. Полученная дробь $\frac{x+3}{x-3}$ является неправильной, так как степень числителя равна степени знаменателя. Выделим целую часть:

$\frac{x+3}{x-3} = \frac{(x-3)+6}{x-3} = \frac{x-3}{x-3} + \frac{6}{x-3} = 1 + \frac{6}{x-3} = 1\frac{6}{x-3}$

Ответ: $1\frac{6}{x-3}$

б) Дано выражение: $(\frac{a^2}{a+5} - \frac{a^3}{a^2+10a+25}) : (\frac{a}{a+5} - \frac{a^2}{a^2-25})$

1. Упростим выражение в первых скобках. Знаменатель $a^2+10a+25$ является полным квадратом $(a+5)^2$. Общий знаменатель $(a+5)^2$.

$\frac{a^2}{a+5} - \frac{a^3}{(a+5)^2} = \frac{a^2(a+5)}{(a+5)^2} - \frac{a^3}{(a+5)^2} = \frac{a^3+5a^2-a^3}{(a+5)^2} = \frac{5a^2}{(a+5)^2}$

2. Упростим выражение во вторых скобках. Знаменатель $a^2-25$ разложим по формуле разности квадратов: $(a-5)(a+5)$. Общий знаменатель $(a-5)(a+5)$.

$\frac{a}{a+5} - \frac{a^2}{(a-5)(a+5)} = \frac{a(a-5)}{(a-5)(a+5)} - \frac{a^2}{(a-5)(a+5)} = \frac{a^2-5a-a^2}{(a-5)(a+5)} = \frac{-5a}{(a-5)(a+5)}$

3. Выполним деление, заменив его на умножение на обратную дробь, и сократим общие множители $5a$ и $(a+5)$:

$\frac{5a^2}{(a+5)^2} : \frac{-5a}{(a-5)(a+5)} = \frac{5a^2}{(a+5)^2} \cdot \frac{(a-5)(a+5)}{-5a} = \frac{a(a-5)}{-(a+5)} = -\frac{a(a-5)}{a+5} = \frac{a(5-a)}{a+5}$

Ответ: $\frac{a(5-a)}{a+5}$

в) Дано выражение: $(\frac{a+b}{a^2-ab} - \frac{2b}{a^2-b^2}) \cdot \frac{b^2-a^2}{1+\frac{b^2}{a^2}}$

1. Упростим выражение в скобках. Разложим знаменатели на множители: $a^2-ab=a(a-b)$ и $a^2-b^2=(a-b)(a+b)$. Общий знаменатель $a(a-b)(a+b)$.

$\frac{a+b}{a(a-b)} - \frac{2b}{(a-b)(a+b)} = \frac{(a+b)(a+b) - 2b \cdot a}{a(a-b)(a+b)} = \frac{a^2+2ab+b^2-2ab}{a(a-b)(a+b)} = \frac{a^2+b^2}{a(a-b)(a+b)}$

2. Упростим второй множитель.

Числитель: $b^2-a^2 = -(a^2-b^2) = -(a-b)(a+b)$.

Знаменатель: $1+\frac{b^2}{a^2} = \frac{a^2}{a^2}+\frac{b^2}{a^2} = \frac{a^2+b^2}{a^2}$.

Таким образом, второй множитель равен: $\frac{-(a-b)(a+b)}{\frac{a^2+b^2}{a^2}} = \frac{-a^2(a-b)(a+b)}{a^2+b^2}$.

3. Перемножим полученные выражения и сократим общие множители $(a^2+b^2)$, $(a-b)$, $(a+b)$ и $a$:

$\frac{a^2+b^2}{a(a-b)(a+b)} \cdot \frac{-a^2(a-b)(a+b)}{a^2+b^2} = \frac{1}{a} \cdot (-a^2) = -a$

Ответ: $-a$

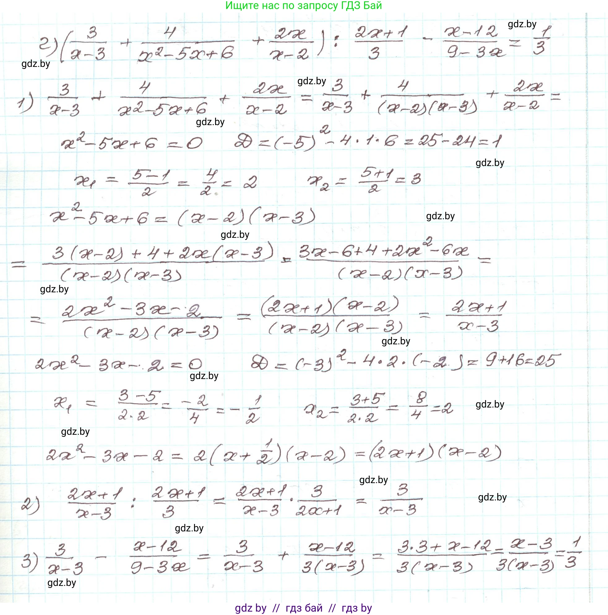
г) Дано выражение: $(\frac{3}{x-3} + \frac{4}{x^2-5x+6} + \frac{2x}{x-2}) : (\frac{2x+1}{3} - \frac{x-12}{9-3x})$

1. Упростим выражение в первых скобках. Разложим знаменатель $x^2-5x+6$ на множители $(x-2)(x-3)$. Общий знаменатель $(x-2)(x-3)$.

$\frac{3(x-2)}{(x-2)(x-3)} + \frac{4}{(x-2)(x-3)} + \frac{2x(x-3)}{(x-2)(x-3)} = \frac{3x-6+4+2x^2-6x}{(x-2)(x-3)} = \frac{2x^2-3x-2}{(x-2)(x-3)}$

Разложим числитель $2x^2-3x-2$ на множители. Корни уравнения $2x^2-3x-2=0$ это $x_1=2$ и $x_2=-1/2$. Тогда $2x^2-3x-2 = 2(x-2)(x+1/2) = (x-2)(2x+1)$.

Выражение в скобках равно: $\frac{(x-2)(2x+1)}{(x-2)(x-3)} = \frac{2x+1}{x-3}$.

2. Упростим выражение во вторых скобках. Разложим знаменатель $9-3x = 3(3-x) = -3(x-3)$.

$\frac{2x+1}{3} - \frac{x-12}{-3(x-3)} = \frac{2x+1}{3} + \frac{x-12}{3(x-3)}$

Общий знаменатель $3(x-3)$.

$\frac{(2x+1)(x-3) + (x-12)}{3(x-3)} = \frac{2x^2-6x+x-3+x-12}{3(x-3)} = \frac{2x^2-4x-15}{3(x-3)}$

3. Выполним деление, заменив его умножением на обратную дробь, и сократим общий множитель $(x-3)$:

$\frac{2x+1}{x-3} : \frac{2x^2-4x-15}{3(x-3)} = \frac{2x+1}{x-3} \cdot \frac{3(x-3)}{2x^2-4x-15} = \frac{3(2x+1)}{2x^2-4x-15}$

Ответ: $\frac{3(2x+1)}{2x^2-4x-15}$

Помогло решение? Оставьте отзыв в комментариях ниже.

Присоединяйтесь к Телеграм-группе @gdz_by_belarus

Присоединиться

Мы подготовили для вас ответ c подробным объяснением домашего задания по алгебре за 9 класс, для упражнения номер 8 расположенного на странице 73 к учебнику 2019 года издания для учащихся школ и гимназий.

Теперь на нашем сайте ГДЗ.ТОП вы всегда легко и бесплатно найдёте условие с правильным ответом на вопрос «Как решить ДЗ» и «Как сделать» задание по алгебре к упражнению №8 (с. 73), авторов: Арефьева (Ирина Глебовна), Пирютко (Ольга Николаевна), учебного пособия издательства Народная асвета.