Номер 1.166, страница 52 - гдз по алгебре 9 класс учебник Арефьева, Пирютко

Алгебра, 9 класс Учебник, авторы: Арефьева Ирина Глебовна, Пирютко Ольга Николаевна, издательство Народная асвета, Минск, 2019, голубого цвета

Авторы: Арефьева И. Г., Пирютко О. Н.

Тип: Учебник

Издательство: Народная асвета

Год издания: 2019 - 2026

Цвет обложки: голубой, синий с графиком

ISBN: 978-985-03-3077-2

Допущено Министерством образования Республики Беларусь

Популярные ГДЗ в 9 классе

Глава 1. Рациональные выражения. Параграф 4. Умножение и деление рациональных дробей - номер 1.166, страница 52.

№1.166 (с. 52)
Условие. №1.166 (с. 52)
скриншот условия
Алгебра, 9 класс Учебник, авторы: Арефьева Ирина Глебовна, Пирютко Ольга Николаевна, издательство Народная асвета, Минск, 2019, голубого цвета, страница 52, номер 1.166, Условие

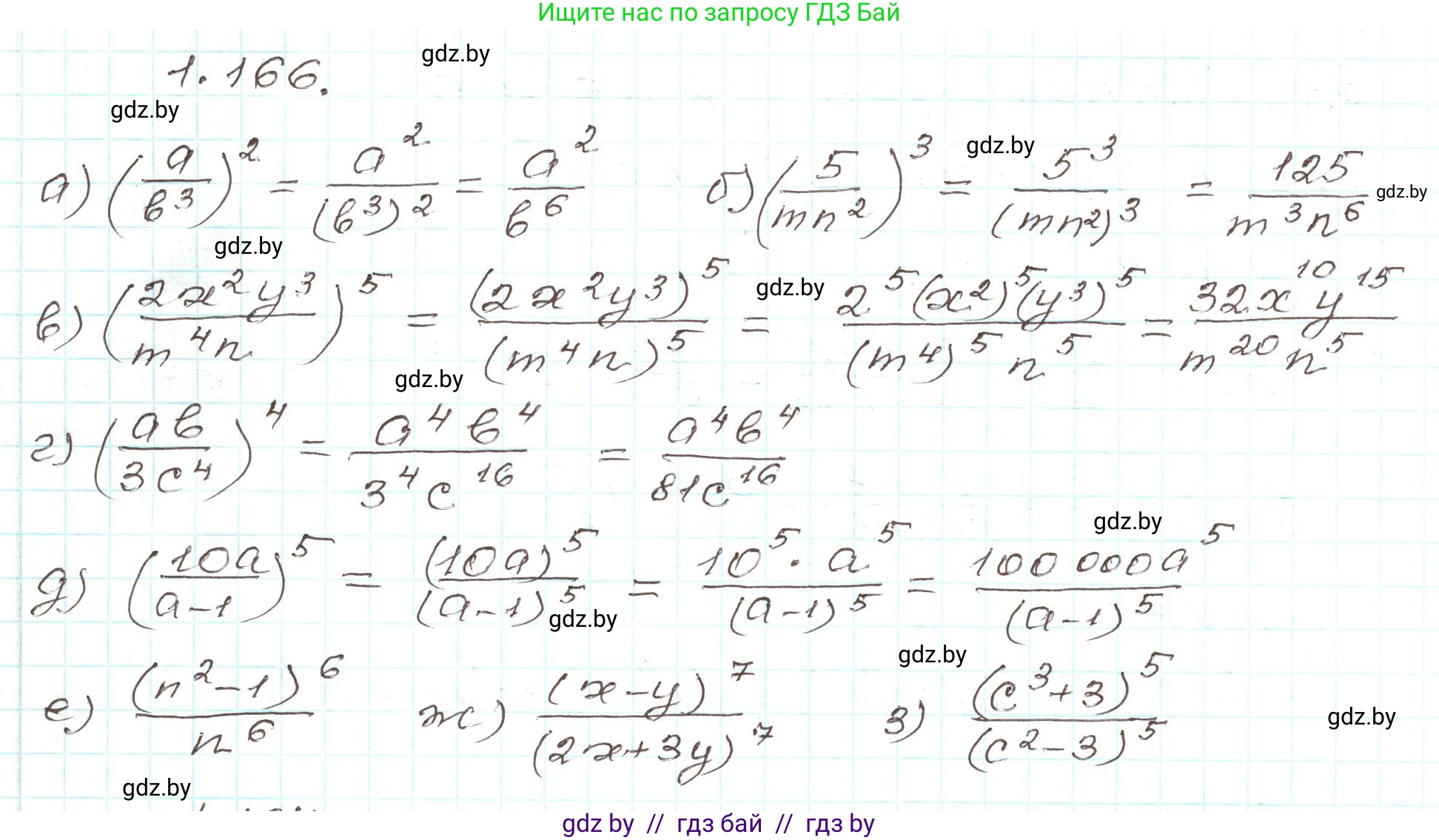
1.166. Возведите в степень рациональную дробь:

а) $(\frac{a}{b^3})^2$

б) $(\frac{5}{mn^2})^3$

в) $(\frac{2x^2 y^3}{m^4 n})^5$

г) $(\frac{ab}{3c^4})^4$

Д) $(\frac{10a}{a-1})^5$

е) $(\frac{n^2 - 1}{n})^6$

ж) $(\frac{x-y}{2x+3y})^7$

з) $(\frac{c^3 + 3}{c^2 - 3})^5$

Решение. №1.166 (с. 52)
Алгебра, 9 класс Учебник, авторы: Арефьева Ирина Глебовна, Пирютко Ольга Николаевна, издательство Народная асвета, Минск, 2019, голубого цвета, страница 52, номер 1.166, Решение
Решение 2. №1.166 (с. 52)

а) Чтобы возвести рациональную дробь в степень, нужно возвести в эту степень и числитель, и знаменатель дроби. Используем правило $ (\frac{A}{B})^n = \frac{A^n}{B^n} $ и правило возведения степени в степень $ (x^m)^n = x^{mn} $.
$ (\frac{a}{b^3})^2 = \frac{a^2}{(b^3)^2} = \frac{a^2}{b^{3 \cdot 2}} = \frac{a^2}{b^6} $
Ответ: $ \frac{a^2}{b^6} $

б) Применяем те же правила. Также используем правило возведения произведения в степень $ (xyz)^n = x^n y^n z^n $.
$ (\frac{5}{mn^2})^3 = \frac{5^3}{(mn^2)^3} = \frac{125}{m^3(n^2)^3} = \frac{125}{m^3n^{2 \cdot 3}} = \frac{125}{m^3n^6} $
Ответ: $ \frac{125}{m^3n^6} $

в) Возводим в степень каждый множитель в числителе и знаменателе.
$ (\frac{2x^2y^3}{m^4n})^5 = \frac{(2x^2y^3)^5}{(m^4n)^5} = \frac{2^5(x^2)^5(y^3)^5}{(m^4)^5n^5} = \frac{32x^{2 \cdot 5}y^{3 \cdot 5}}{m^{4 \cdot 5}n^5} = \frac{32x^{10}y^{15}}{m^{20}n^5} $
Ответ: $ \frac{32x^{10}y^{15}}{m^{20}n^5} $

г) Аналогично предыдущим примерам.
$ (\frac{ab}{3c^4})^4 = \frac{(ab)^4}{(3c^4)^4} = \frac{a^4b^4}{3^4(c^4)^4} = \frac{a^4b^4}{81c^{4 \cdot 4}} = \frac{a^4b^4}{81c^{16}} $
Ответ: $ \frac{a^4b^4}{81c^{16}} $

д) Дробь $ \frac{10a}{a-1} $ является неправильной, так как степень числителя (1) равна степени знаменателя (1). Можно выделить целую часть:
$ \frac{10a}{a-1} = \frac{10(a-1) + 10}{a-1} = 10 + \frac{10}{a-1} $
Возведение в степень выражения $ (10 + \frac{10}{a-1})^5 $ потребовало бы использования формулы бинома Ньютона и привело бы к громоздкой записи. В данном типе задач обычно предполагается прямое возведение в степень числителя и знаменателя.
$ (\frac{10a}{a-1})^5 = \frac{(10a)^5}{(a-1)^5} = \frac{10^5a^5}{(a-1)^5} = \frac{100000a^5}{(a-1)^5} $
Ответ: $ \frac{100000a^5}{(a-1)^5} $

е) Дробь $ \frac{n^2-1}{n} $ является неправильной, так как степень числителя (2) больше степени знаменателя (1). Выделение целой части:
$ \frac{n^2-1}{n} = \frac{n^2}{n} - \frac{1}{n} = n - \frac{1}{n} $
При возведении в степень выражения $ (n - \frac{1}{n})^6 $ пришлось бы раскрывать скобки по формуле бинома. Поэтому применим общее правило возведения дроби в степень.
$ (\frac{n^2-1}{n})^6 = \frac{(n^2-1)^6}{n^6} $
Ответ: $ \frac{(n^2-1)^6}{n^6} $

ж) Дробь $ \frac{x-y}{2x+3y} $ является неправильной (степени числителя и знаменателя равны 1). Выделение целой части дает $ \frac{1}{2} - \frac{5y}{2(2x+3y)} $. Возведение этого выражения в 7-ю степень крайне сложно. Поэтому возведем в степень числитель и знаменатель исходной дроби.
$ (\frac{x-y}{2x+3y})^7 = \frac{(x-y)^7}{(2x+3y)^7} $
Ответ: $ \frac{(x-y)^7}{(2x+3y)^7} $

з) Дробь $ \frac{c^3+3}{c^2-3} $ является неправильной (степень числителя 3, знаменателя 2). После деления многочленов можно получить $ c + \frac{3c+3}{c^2-3} $. Возведение этого выражения в 5-ю степень очень трудоемко. Применим стандартный подход.
$ (\frac{c^3+3}{c^2-3})^5 = \frac{(c^3+3)^5}{(c^2-3)^5} $
Ответ: $ \frac{(c^3+3)^5}{(c^2-3)^5} $

Помогло решение? Оставьте отзыв в комментариях ниже.

Присоединяйтесь к Телеграм-группе @gdz_by_belarus

Присоединиться

Мы подготовили для вас ответ c подробным объяснением домашего задания по алгебре за 9 класс, для упражнения номер 1.166 расположенного на странице 52 к учебнику 2019 года издания для учащихся школ и гимназий.

Теперь на нашем сайте ГДЗ.ТОП вы всегда легко и бесплатно найдёте условие с правильным ответом на вопрос «Как решить ДЗ» и «Как сделать» задание по алгебре к упражнению №1.166 (с. 52), авторов: Арефьева (Ирина Глебовна), Пирютко (Ольга Николаевна), учебного пособия издательства Народная асвета.