Номер 1.172, страница 54 - гдз по алгебре 9 класс учебник Арефьева, Пирютко
Авторы: Арефьева И. Г., Пирютко О. Н.
Тип: Учебник
Издательство: Народная асвета
Год издания: 2019 - 2026
Цвет обложки: голубой, синий с графиком
ISBN: 978-985-03-3077-2
Допущено Министерством образования Республики Беларусь
Популярные ГДЗ в 9 классе
Глава 1. Рациональные выражения. Параграф 4. Умножение и деление рациональных дробей - номер 1.172, страница 54.
№1.172 (с. 54)
Условие. №1.172 (с. 54)
скриншот условия
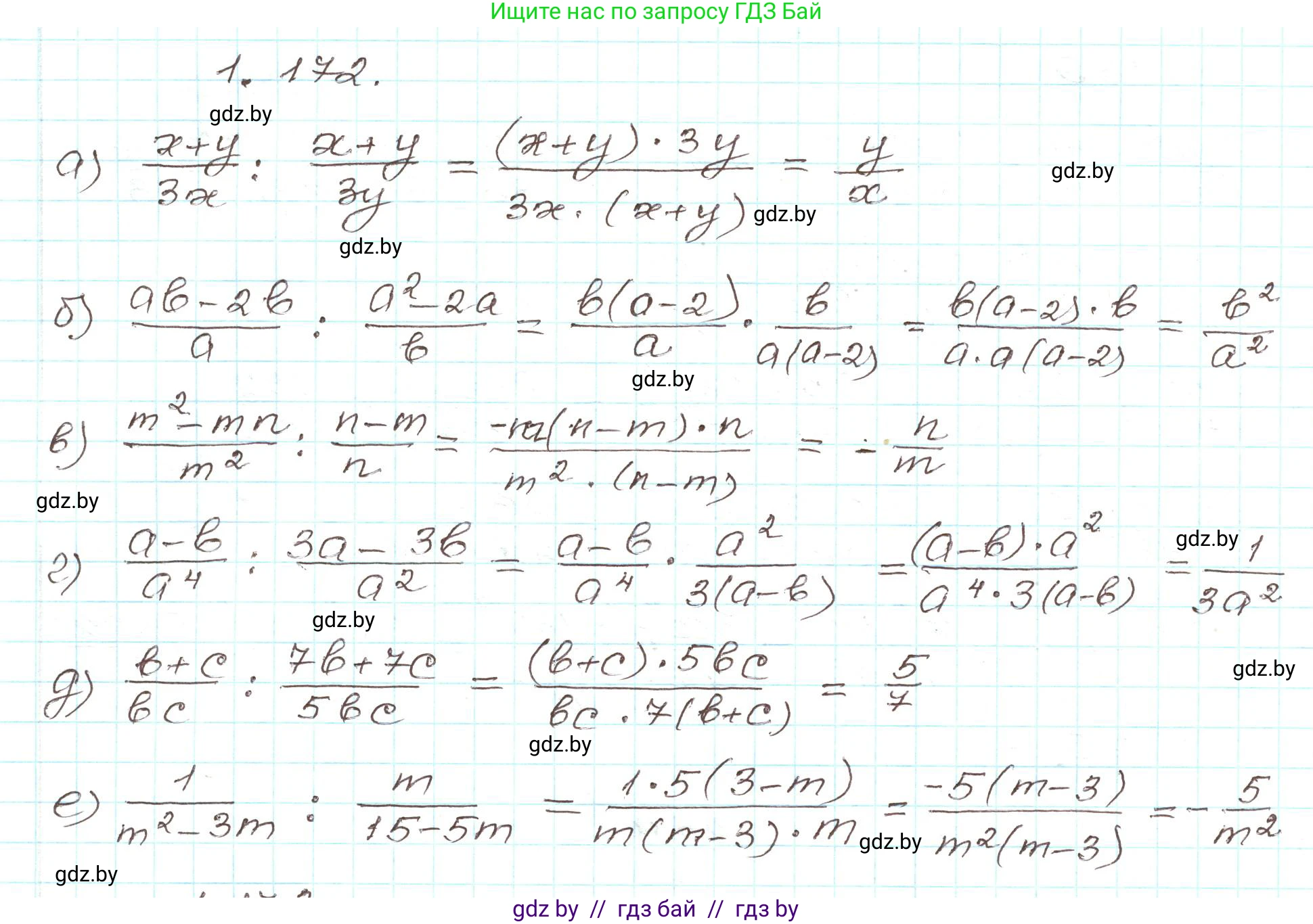
1.172. Выполните деление рациональных дробей:
а) $\frac{x+y}{3x} : \frac{x+y}{3y};$
б) $\frac{ab-2b}{a} : \frac{a^2-2a}{b};$
в) $\frac{m^2-mn}{m^2} : \frac{n-m}{n};$
г) $\frac{a-b}{a^4} : \frac{3a-3b}{a^2};$
д) $\frac{b+c}{bc} : \frac{7b+7c}{5bc};$
е) $\frac{1}{m^2-3m} : \frac{m}{15-5m}.$
Решение. №1.172 (с. 54)
Решение 2. №1.172 (с. 54)
а) Чтобы разделить одну рациональную дробь на другую, необходимо первую дробь умножить на дробь, обратную второй (перевернуть вторую дробь).
$ \frac{x+y}{3x} : \frac{x+y}{3y} = \frac{x+y}{3x} \cdot \frac{3y}{x+y} $
Запишем произведение под общей чертой и выполним сокращение. Сокращаем общие множители $(x+y)$ и $3$.
$ \frac{(x+y) \cdot 3y}{3x \cdot (x+y)} = \frac{\cancel{(x+y)} \cdot \cancel{3}y}{\cancel{3}x \cdot \cancel{(x+y)}} = \frac{y}{x} $
Ответ: $ \frac{y}{x} $
б) Заменяем деление на умножение на обратную дробь.
$ \frac{ab-2b}{a} : \frac{a^2-2a}{b} = \frac{ab-2b}{a} \cdot \frac{b}{a^2-2a} $
Вынесем общие множители за скобки в числителе первой дроби и знаменателе второй дроби.
$ ab-2b = b(a-2) $
$ a^2-2a = a(a-2) $
Подставим разложенные выражения в исходное уравнение:
$ \frac{b(a-2)}{a} \cdot \frac{b}{a(a-2)} = \frac{b(a-2) \cdot b}{a \cdot a(a-2)} $
Сокращаем общий множитель $(a-2)$:
$ \frac{b\cancel{(a-2)} \cdot b}{a \cdot a\cancel{(a-2)}} = \frac{b^2}{a^2} $
Ответ: $ \frac{b^2}{a^2} $
в) Заменяем деление на умножение на обратную дробь.
$ \frac{m^2-mn}{m^2} : \frac{n-m}{n} = \frac{m^2-mn}{m^2} \cdot \frac{n}{n-m} $
Вынесем общий множитель $m$ в числителе первой дроби. В знаменателе второй дроби вынесем $-1$, чтобы получить выражение $(m-n)$.
$ m^2-mn = m(m-n) $
$ n-m = -(m-n) $
Подставим обратно:
$ \frac{m(m-n)}{m^2} \cdot \frac{n}{-(m-n)} = -\frac{m(m-n) \cdot n}{m^2(m-n)} $
Сокращаем общие множители $m$ и $(m-n)$:
$ -\frac{\cancel{m}\cancel{(m-n)} \cdot n}{m^{\cancel{2}}\cancel{(m-n)}} = -\frac{n}{m} $
Ответ: $ -\frac{n}{m} $
г) Заменяем деление на умножение на обратную дробь.
$ \frac{a-b}{a^4} : \frac{3a-3b}{a^2} = \frac{a-b}{a^4} \cdot \frac{a^2}{3a-3b} $
В знаменателе второй дроби вынесем общий множитель $3$ за скобки.
$ 3a-3b = 3(a-b) $
Подставим обратно:
$ \frac{a-b}{a^4} \cdot \frac{a^2}{3(a-b)} = \frac{(a-b) \cdot a^2}{a^4 \cdot 3(a-b)} $
Сокращаем общие множители $(a-b)$ и $a^2$:
$ \frac{\cancel{(a-b)} \cdot \cancel{a^2}}{a^{\cancel{4}} \cdot 3\cancel{(a-b)}} = \frac{1}{3a^2} $
Ответ: $ \frac{1}{3a^2} $
д) Заменяем деление на умножение на обратную дробь.
$ \frac{b+c}{bc} : \frac{7b+7c}{5bc} = \frac{b+c}{bc} \cdot \frac{5bc}{7b+7c} $
В числителе второй дроби вынесем общий множитель $7$ за скобки.
$ 7b+7c = 7(b+c) $
Подставим обратно и запишем под общей чертой:
$ \frac{b+c}{bc} \cdot \frac{5bc}{7(b+c)} = \frac{(b+c) \cdot 5bc}{bc \cdot 7(b+c)} $
Сокращаем общие множители $(b+c)$ и $bc$:
$ \frac{\cancel{(b+c)} \cdot 5\cancel{bc}}{\cancel{bc} \cdot 7\cancel{(b+c)}} = \frac{5}{7} $
Ответ: $ \frac{5}{7} $
е) Заменяем деление на умножение на обратную дробь.
$ \frac{1}{m^2-3m} : \frac{m}{15-5m} = \frac{1}{m^2-3m} \cdot \frac{15-5m}{m} $
Вынесем общие множители за скобки в знаменателе первой дроби и числителе второй.
$ m^2-3m = m(m-3) $
$ 15-5m = 5(3-m) = -5(m-3) $
Подставим обратно:
$ \frac{1}{m(m-3)} \cdot \frac{-5(m-3)}{m} = \frac{1 \cdot (-5(m-3))}{m(m-3) \cdot m} $
Сокращаем общий множитель $(m-3)$:
$ \frac{-5\cancel{(m-3)}}{m\cancel{(m-3)} \cdot m} = \frac{-5}{m^2} = -\frac{5}{m^2} $
Ответ: $ -\frac{5}{m^2} $
Другие задания:
Помогло решение? Оставьте отзыв в комментариях ниже.
Присоединяйтесь к Телеграм-группе @gdz_by_belarus
ПрисоединитьсяМы подготовили для вас ответ c подробным объяснением домашего задания по алгебре за 9 класс, для упражнения номер 1.172 расположенного на странице 54 к учебнику 2019 года издания для учащихся школ и гимназий.
Теперь на нашем сайте ГДЗ.ТОП вы всегда легко и бесплатно найдёте условие с правильным ответом на вопрос «Как решить ДЗ» и «Как сделать» задание по алгебре к упражнению №1.172 (с. 54), авторов: Арефьева (Ирина Глебовна), Пирютко (Ольга Николаевна), учебного пособия издательства Народная асвета.