Номер 1.174, страница 54 - гдз по алгебре 9 класс учебник Арефьева, Пирютко

Алгебра, 9 класс Учебник, авторы: Арефьева Ирина Глебовна, Пирютко Ольга Николаевна, издательство Народная асвета, Минск, 2019, голубого цвета

Авторы: Арефьева И. Г., Пирютко О. Н.

Тип: Учебник

Издательство: Народная асвета

Год издания: 2019 - 2026

Цвет обложки: голубой, синий с графиком

ISBN: 978-985-03-3077-2

Допущено Министерством образования Республики Беларусь

Популярные ГДЗ в 9 классе

Глава 1. Рациональные выражения. Параграф 4. Умножение и деление рациональных дробей - номер 1.174, страница 54.

№1.174 (с. 54)
Условие. №1.174 (с. 54)
скриншот условия
Алгебра, 9 класс Учебник, авторы: Арефьева Ирина Глебовна, Пирютко Ольга Николаевна, издательство Народная асвета, Минск, 2019, голубого цвета, страница 54, номер 1.174, Условие

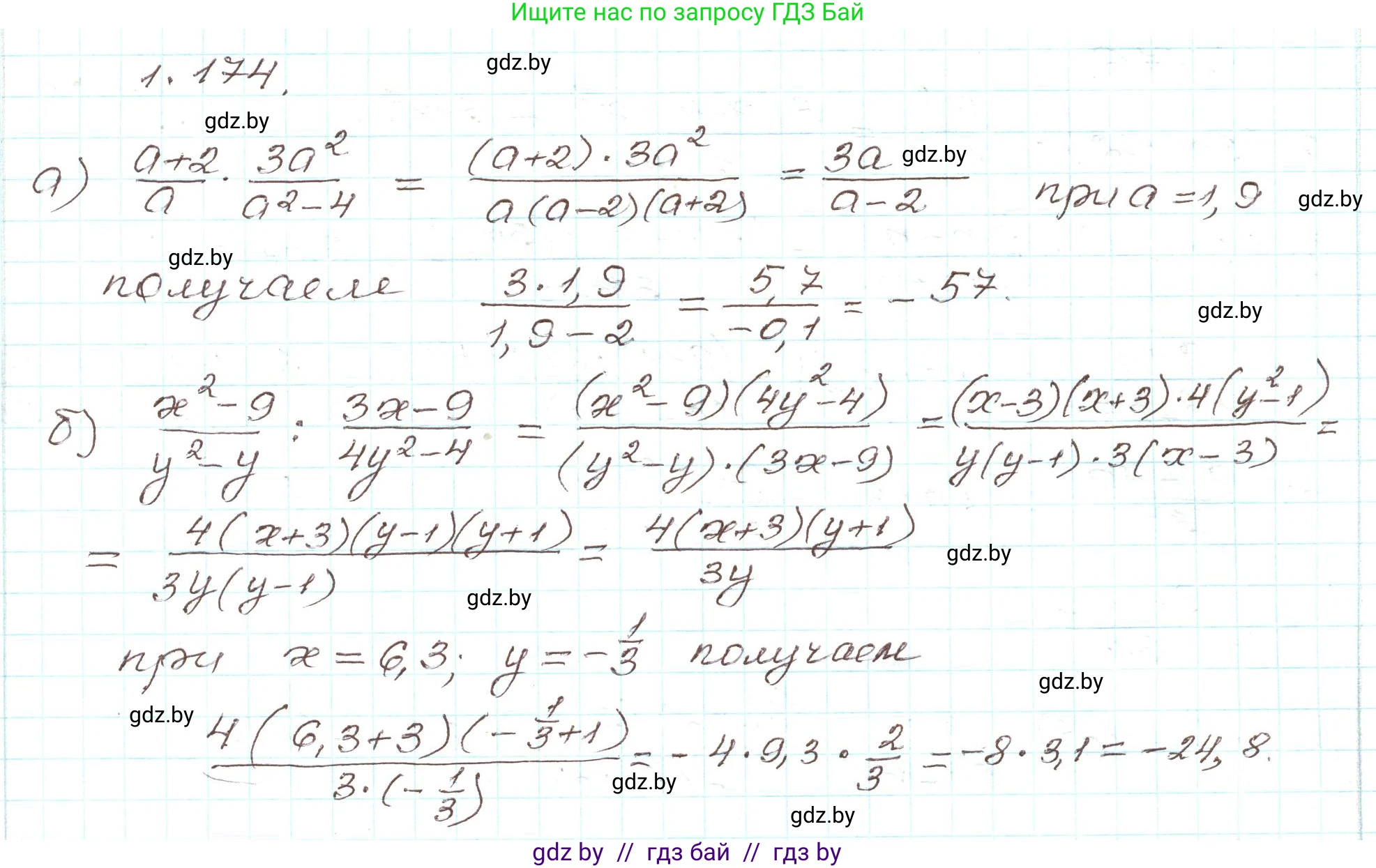
1.174. Найдите значение выражения:

a) $\frac{a+2}{a} \cdot \frac{3a^2}{a^2-4}$ при $a=1,9;$

б) $\frac{x^2-9}{y^2-y} : \frac{3x-9}{4y^2-4}$ при $x=6,3, y=-\frac{1}{3}.$

Решение. №1.174 (с. 54)
Алгебра, 9 класс Учебник, авторы: Арефьева Ирина Глебовна, Пирютко Ольга Николаевна, издательство Народная асвета, Минск, 2019, голубого цвета, страница 54, номер 1.174, Решение
Решение 2. №1.174 (с. 54)

а) Сначала упростим выражение, разложив знаменатель второй дроби на множители по формуле разности квадратов $a^2-b^2=(a-b)(a+b)$:

$\frac{a+2}{a} \cdot \frac{3a^2}{a^2-4} = \frac{a+2}{a} \cdot \frac{3a^2}{(a-2)(a+2)}$

Сократим общие множители $(a+2)$ в числителе и знаменателе, а также $a$:

$\frac{\sout{a+2}}{\sout{a}} \cdot \frac{3a^{\sout{2}}}{(a-2)(\sout{a+2})} = \frac{3a}{a-2}$

Теперь подставим значение $a = 1,9$ в упрощенное выражение:

$\frac{3 \cdot 1,9}{1,9-2} = \frac{5,7}{-0,1} = -57$

Ответ: -57.

б) Сначала упростим выражение. Заменим деление на умножение на обратную дробь:

$\frac{x^2-9}{y^2-y} : \frac{3x-9}{4y^2-4} = \frac{x^2-9}{y^2-y} \cdot \frac{4y^2-4}{3x-9}$

Разложим числители и знаменатели на множители:

  • $x^2-9 = (x-3)(x+3)$
  • $y^2-y = y(y-1)$
  • $4y^2-4 = 4(y^2-1) = 4(y-1)(y+1)$
  • $3x-9 = 3(x-3)$

Подставим разложенные выражения обратно в дробь и выполним сокращение:

$\frac{(x-3)(x+3)}{y(y-1)} \cdot \frac{4(y-1)(y+1)}{3(x-3)} = \frac{\sout{(x-3)}(x+3)}{y\sout{(y-1)}} \cdot \frac{4\sout{(y-1)}(y+1)}{3\sout{(x-3)}} = \frac{4(x+3)(y+1)}{3y}$

Теперь подставим значения $x = 6,3$ и $y = -\frac{1}{3}$ в упрощенное выражение:

$\frac{4(6,3+3)(-\frac{1}{3}+1)}{3 \cdot (-\frac{1}{3})} = \frac{4 \cdot (9,3) \cdot (\frac{-1+3}{3})}{-1} = -4 \cdot 9,3 \cdot \frac{2}{3}$

Представим десятичную дробь $9,3$ в виде обыкновенной дроби $\frac{93}{10}$ и вычислим значение:

$-4 \cdot \frac{93}{10} \cdot \frac{2}{3} = -\frac{4 \cdot 93 \cdot 2}{10 \cdot 3} = -\frac{4 \cdot (31 \cdot \sout{3}) \cdot \sout{2}}{(\sout{2} \cdot 5) \cdot \sout{3}} = -\frac{4 \cdot 31}{5} = -\frac{124}{5}$

Преобразуем неправильную дробь в смешанное число, выделив целую часть:

$-\frac{124}{5} = -24\frac{4}{5}$

Ответ: -24$\frac{4}{5}$.

Помогло решение? Оставьте отзыв в комментариях ниже.

Присоединяйтесь к Телеграм-группе @gdz_by_belarus

Присоединиться

Мы подготовили для вас ответ c подробным объяснением домашего задания по алгебре за 9 класс, для упражнения номер 1.174 расположенного на странице 54 к учебнику 2019 года издания для учащихся школ и гимназий.

Теперь на нашем сайте ГДЗ.ТОП вы всегда легко и бесплатно найдёте условие с правильным ответом на вопрос «Как решить ДЗ» и «Как сделать» задание по алгебре к упражнению №1.174 (с. 54), авторов: Арефьева (Ирина Глебовна), Пирютко (Ольга Николаевна), учебного пособия издательства Народная асвета.