Номер 1.178, страница 54 - гдз по алгебре 9 класс учебник Арефьева, Пирютко

Алгебра, 9 класс Учебник, авторы: Арефьева Ирина Глебовна, Пирютко Ольга Николаевна, издательство Народная асвета, Минск, 2019, голубого цвета

Авторы: Арефьева И. Г., Пирютко О. Н.

Тип: Учебник

Издательство: Народная асвета

Год издания: 2019 - 2026

Цвет обложки: голубой, синий с графиком

ISBN: 978-985-03-3077-2

Допущено Министерством образования Республики Беларусь

Популярные ГДЗ в 9 классе

Глава 1. Рациональные выражения. Параграф 4. Умножение и деление рациональных дробей - номер 1.178, страница 54.

№1.178 (с. 54)
Условие. №1.178 (с. 54)
скриншот условия
Алгебра, 9 класс Учебник, авторы: Арефьева Ирина Глебовна, Пирютко Ольга Николаевна, издательство Народная асвета, Минск, 2019, голубого цвета, страница 54, номер 1.178, Условие

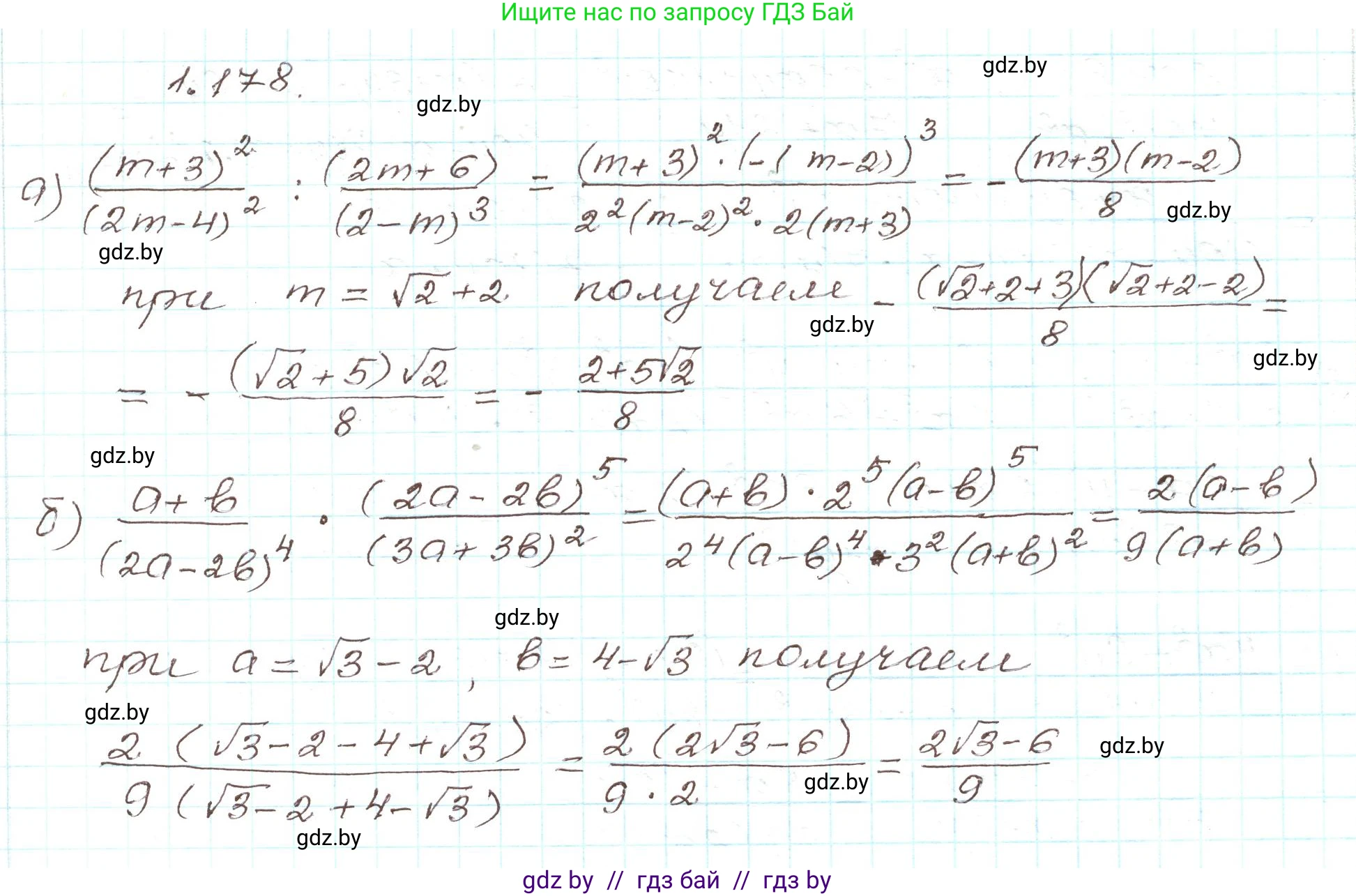
1.178. Найдите значение выражения:

а) $\frac{(m+3)^2}{(2m-4)^2} : \frac{(2m+6)^2}{(2-m)^3}$ при $m = \sqrt{2} + 2;$

б) $\frac{a+b}{(2a-2b)^4} \cdot \frac{(2a-2b)^5}{(3a+3b)^2}$ при $a = \sqrt{3}-2, b=4-\sqrt{3}.$

Решение. №1.178 (с. 54)
Алгебра, 9 класс Учебник, авторы: Арефьева Ирина Глебовна, Пирютко Ольга Николаевна, издательство Народная асвета, Минск, 2019, голубого цвета, страница 54, номер 1.178, Решение
Решение 2. №1.178 (с. 54)

а) Для нахождения значения выражения, сперва упростим его. Деление на дробь заменяется умножением на обратную (перевернутую) дробь:

$$ \frac{(m+3)^2}{(2m-4)^2} : \frac{(2m+6)^2}{(2-m)^3} = \frac{(m+3)^2}{(2m-4)^2} \cdot \frac{(2-m)^3}{(2m+6)^2} $$

Теперь упростим отдельные части выражения, вынеся общие множители за скобки:

$$ (2m-4)^2 = [2(m-2)]^2 = 2^2(m-2)^2 = 4(m-2)^2 $$

$$ (2m+6)^2 = [2(m+3)]^2 = 2^2(m+3)^2 = 4(m+3)^2 $$

Также учтем, что $ (2-m) = -(m-2) $. Поэтому:

$$ (2-m)^3 = [-(m-2)]^3 = (-1)^3(m-2)^3 = -(m-2)^3 $$

Подставим эти упрощенные выражения обратно:

$$ \frac{(m+3)^2}{4(m-2)^2} \cdot \frac{-(m-2)^3}{4(m+3)^2} $$

Сократим общие множители $ (m+3)^2 $ и $ (m-2)^2 $ (при $ m \neq -3 $ и $ m \neq 2 $, что выполняется для заданного $ m $):

$$ \frac{1}{4} \cdot \frac{-(m-2)}{4} = \frac{-(m-2)}{16} = \frac{2-m}{16} $$

Теперь подставим заданное значение $ m = \sqrt{2} + 2 $ в полученное упрощенное выражение:

$$ \frac{2 - (\sqrt{2} + 2)}{16} = \frac{2 - \sqrt{2} - 2}{16} = \frac{-\sqrt{2}}{16} $$

Ответ: $ -\frac{\sqrt{2}}{16} $.

б) Сначала упростим данное алгебраическое выражение. Вынесем общие множители в выражениях в скобках:

$$ (2a-2b)^4 = [2(a-b)]^4 = 2^4(a-b)^4 = 16(a-b)^4 $$

$$ (2a-2b)^5 = [2(a-b)]^5 = 2^5(a-b)^5 = 32(a-b)^5 $$

$$ (3a+3b)^2 = [3(a+b)]^2 = 3^2(a+b)^2 = 9(a+b)^2 $$

Подставим эти преобразования в исходное выражение:

$$ \frac{a+b}{16(a-b)^4} \cdot \frac{32(a-b)^5}{9(a+b)^2} $$

Теперь сократим общие множители в числителе и знаменателе (при $ a+b \neq 0 $ и $ a-b \neq 0 $):

$$ \frac{32(a+b)(a-b)^5}{16 \cdot 9(a-b)^4(a+b)^2} = \frac{2(a-b)}{9(a+b)} $$

Далее найдем значения выражений $ (a+b) $ и $ (a-b) $, используя данные значения $ a = \sqrt{3}-2 $ и $ b = 4-\sqrt{3} $.

$$ a+b = (\sqrt{3}-2) + (4-\sqrt{3}) = \sqrt{3} - 2 + 4 - \sqrt{3} = 2 $$

$$ a-b = (\sqrt{3}-2) - (4-\sqrt{3}) = \sqrt{3} - 2 - 4 + \sqrt{3} = 2\sqrt{3}-6 $$

Подставим найденные значения $ (a+b)=2 $ и $ (a-b)=2\sqrt{3}-6 $ в упрощенное выражение:

$$ \frac{2(2\sqrt{3}-6)}{9(2)} = \frac{2\sqrt{3}-6}{9} $$

Можно вынести общий множитель 2 в числителе для более компактного вида:

$$ \frac{2(\sqrt{3}-3)}{9} $$

Ответ: $ \frac{2(\sqrt{3}-3)}{9} $.

Помогло решение? Оставьте отзыв в комментариях ниже.

Присоединяйтесь к Телеграм-группе @gdz_by_belarus

Присоединиться

Мы подготовили для вас ответ c подробным объяснением домашего задания по алгебре за 9 класс, для упражнения номер 1.178 расположенного на странице 54 к учебнику 2019 года издания для учащихся школ и гимназий.

Теперь на нашем сайте ГДЗ.ТОП вы всегда легко и бесплатно найдёте условие с правильным ответом на вопрос «Как решить ДЗ» и «Как сделать» задание по алгебре к упражнению №1.178 (с. 54), авторов: Арефьева (Ирина Глебовна), Пирютко (Ольга Николаевна), учебного пособия издательства Народная асвета.