Номер 3.108, страница 171 - гдз по алгебре 9 класс учебник Арефьева, Пирютко

Алгебра, 9 класс Учебник, авторы: Арефьева Ирина Глебовна, Пирютко Ольга Николаевна, издательство Народная асвета, Минск, 2019, голубого цвета

Авторы: Арефьева И. Г., Пирютко О. Н.

Тип: Учебник

Издательство: Народная асвета

Год издания: 2019 - 2026

Цвет обложки: голубой, синий с графиком

ISBN: 978-985-03-3077-2

Допущено Министерством образования Республики Беларусь

Популярные ГДЗ в 9 классе

Глава 3. Дробно-рациональные уравнения и неравенства. Параграф 11. Системы нелинейных уравнений - номер 3.108, страница 171.

№3.108 (с. 171)
Условие. №3.108 (с. 171)
скриншот условия
Алгебра, 9 класс Учебник, авторы: Арефьева Ирина Глебовна, Пирютко Ольга Николаевна, издательство Народная асвета, Минск, 2019, голубого цвета, страница 171, номер 3.108, Условие

3.108*. Воспользуйтесь методом замены переменных и решите систему уравнений:

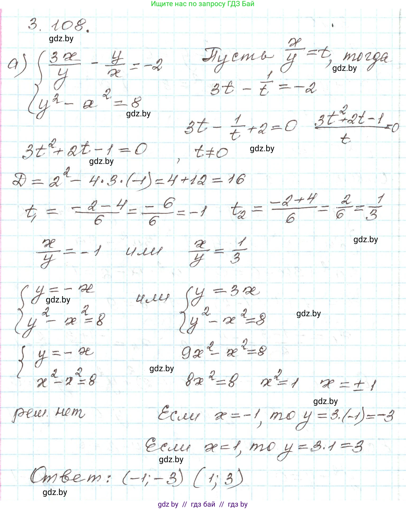
а) $\begin{cases} \frac{3x}{y} - \frac{y}{x} = -2, \\ y^2 - x^2 = 8; \end{cases}$

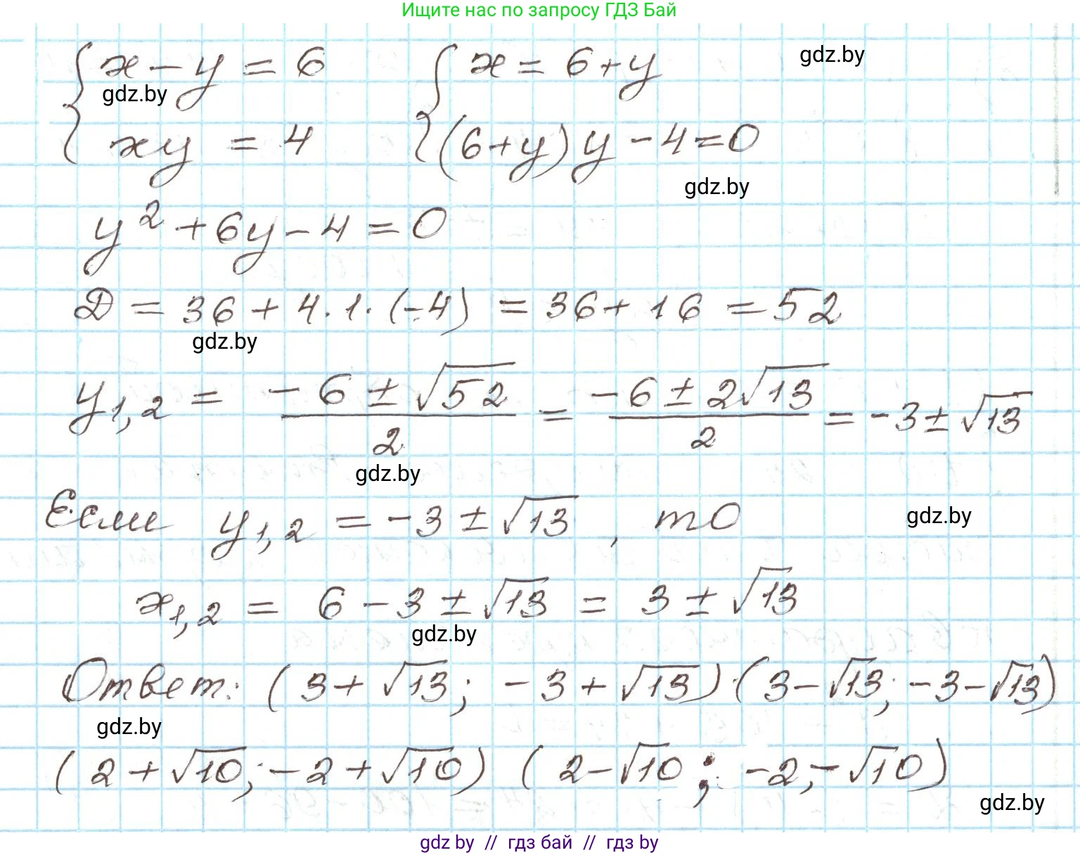
б) $\begin{cases} x - y + xy = 10, \\ x^2y - xy^2 = 24. \end{cases}$

Решение. №3.108 (с. 171)
Алгебра, 9 класс Учебник, авторы: Арефьева Ирина Глебовна, Пирютко Ольга Николаевна, издательство Народная асвета, Минск, 2019, голубого цвета, страница 171, номер 3.108, Решение Алгебра, 9 класс Учебник, авторы: Арефьева Ирина Глебовна, Пирютко Ольга Николаевна, издательство Народная асвета, Минск, 2019, голубого цвета, страница 171, номер 3.108, Решение (продолжение 2)
Решение 2. №3.108 (с. 171)

а) Исходная система уравнений: $$ \begin{cases} \frac{3x}{y} - \frac{y}{x} = -2, \\ y^2 - x^2 = 8; \end{cases} $$ Область допустимых значений: $x \neq 0, y \neq 0$.
В первом уравнении воспользуемся методом замены переменных. Пусть $t = \frac{x}{y}$. Тогда $\frac{y}{x} = \frac{1}{t}$. Первое уравнение принимает вид: $$ 3t - \frac{1}{t} = -2 $$ Домножим обе части уравнения на $t$, так как $t \neq 0$: $$ 3t^2 - 1 = -2t $$ $$ 3t^2 + 2t - 1 = 0 $$ Решим полученное квадратное уравнение относительно $t$.
Дискриминант $D = b^2 - 4ac = 2^2 - 4 \cdot 3 \cdot (-1) = 4 + 12 = 16$.
Корни уравнения: $$ t_1 = \frac{-2 - \sqrt{16}}{2 \cdot 3} = \frac{-2 - 4}{6} = -1 $$ $$ t_2 = \frac{-2 + \sqrt{16}}{2 \cdot 3} = \frac{-2 + 4}{6} = \frac{2}{6} = \frac{1}{3} $$ Теперь выполним обратную замену для каждого найденного значения $t$.

Случай 1: $t = -1$. $$ \frac{x}{y} = -1 \implies x = -y $$ Подставим это соотношение во второе уравнение исходной системы: $$ y^2 - x^2 = 8 $$ $$ y^2 - (-y)^2 = 8 $$ $$ y^2 - y^2 = 8 $$ $$ 0 = 8 $$ Получено неверное равенство, значит, в этом случае решений нет.

Случай 2: $t = \frac{1}{3}$. $$ \frac{x}{y} = \frac{1}{3} \implies y = 3x $$ Подставим это соотношение во второе уравнение исходной системы: $$ y^2 - x^2 = 8 $$ $$ (3x)^2 - x^2 = 8 $$ $$ 9x^2 - x^2 = 8 $$ $$ 8x^2 = 8 $$ $$ x^2 = 1 $$ Отсюда получаем два возможных значения для $x$: $x_1 = 1$ и $x_2 = -1$.
Найдем соответствующие значения $y$ из соотношения $y = 3x$:

  • Если $x_1 = 1$, то $y_1 = 3 \cdot 1 = 3$.
  • Если $x_2 = -1$, то $y_2 = 3 \cdot (-1) = -3$.

Таким образом, система имеет два решения.
Ответ: $(1, 3), (-1, -3)$.


б) Исходная система уравнений: $$ \begin{cases} x - y + xy = 10, \\ x^2y - xy^2 = 24; \end{cases} $$ Преобразуем второе уравнение, вынеся за скобки общий множитель $xy$: $$ xy(x - y) = 24 $$ Теперь система выглядит так: $$ \begin{cases} (x - y) + xy = 10, \\ (x - y) \cdot xy = 24; \end{cases} $$ Введем новые переменные. Пусть $u = x - y$ и $v = xy$.
В новых переменных система принимает вид: $$ \begin{cases} u + v = 10, \\ uv = 24; \end{cases} $$ Согласно обратной теореме Виета, $u$ и $v$ являются корнями квадратного уравнения $z^2 - 10z + 24 = 0$.
Корни этого уравнения легко найти: $z_1 = 4$ и $z_2 = 6$ (поскольку $4+6=10$ и $4 \cdot 6=24$).
Это дает нам две системы для обратной замены:
1) $u = 4, v = 6$
2) $u = 6, v = 4$

Рассмотрим каждый случай.

Случай 1: $u = 4, v = 6$. $$ \begin{cases} x - y = 4 \\ xy = 6 \end{cases} $$ Из первого уравнения $x = y + 4$. Подставим во второе: $$ (y + 4)y = 6 $$ $$ y^2 + 4y - 6 = 0 $$ Решим это квадратное уравнение для $y$:
$D = 4^2 - 4 \cdot 1 \cdot (-6) = 16 + 24 = 40$.
$y = \frac{-4 \pm \sqrt{40}}{2} = \frac{-4 \pm 2\sqrt{10}}{2} = -2 \pm \sqrt{10}$.

  • Если $y_1 = -2 + \sqrt{10}$, то $x_1 = y_1 + 4 = (-2 + \sqrt{10}) + 4 = 2 + \sqrt{10}$.
  • Если $y_2 = -2 - \sqrt{10}$, то $x_2 = y_2 + 4 = (-2 - \sqrt{10}) + 4 = 2 - \sqrt{10}$.

Получили две пары решений: $(2 + \sqrt{10}, -2 + \sqrt{10})$ и $(2 - \sqrt{10}, -2 - \sqrt{10})$.

Случай 2: $u = 6, v = 4$. $$ \begin{cases} x - y = 6 \\ xy = 4 \end{cases} $$ Из первого уравнения $x = y + 6$. Подставим во второе: $$ (y + 6)y = 4 $$ $$ y^2 + 6y - 4 = 0 $$ Решим это квадратное уравнение для $y$:
$D = 6^2 - 4 \cdot 1 \cdot (-4) = 36 + 16 = 52$.
$y = \frac{-6 \pm \sqrt{52}}{2} = \frac{-6 \pm 2\sqrt{13}}{2} = -3 \pm \sqrt{13}$.

  • Если $y_3 = -3 + \sqrt{13}$, то $x_3 = y_3 + 6 = (-3 + \sqrt{13}) + 6 = 3 + \sqrt{13}$.
  • Если $y_4 = -3 - \sqrt{13}$, то $x_4 = y_4 + 6 = (-3 - \sqrt{13}) + 6 = 3 - \sqrt{13}$.

Получили еще две пары решений: $(3 + \sqrt{13}, -3 + \sqrt{13})$ и $(3 - \sqrt{13}, -3 - \sqrt{13})$.
Ответ: $(2 + \sqrt{10}, -2 + \sqrt{10}), (2 - \sqrt{10}, -2 - \sqrt{10}), (3 + \sqrt{13}, -3 + \sqrt{13}), (3 - \sqrt{13}, -3 - \sqrt{13})$.

Помогло решение? Оставьте отзыв в комментариях ниже.

Присоединяйтесь к Телеграм-группе @gdz_by_belarus

Присоединиться

Мы подготовили для вас ответ c подробным объяснением домашего задания по алгебре за 9 класс, для упражнения номер 3.108 расположенного на странице 171 к учебнику 2019 года издания для учащихся школ и гимназий.

Теперь на нашем сайте ГДЗ.ТОП вы всегда легко и бесплатно найдёте условие с правильным ответом на вопрос «Как решить ДЗ» и «Как сделать» задание по алгебре к упражнению №3.108 (с. 171), авторов: Арефьева (Ирина Глебовна), Пирютко (Ольга Николаевна), учебного пособия издательства Народная асвета.