Номер 3.102, страница 170 - гдз по алгебре 9 класс учебник Арефьева, Пирютко

Алгебра, 9 класс Учебник, авторы: Арефьева Ирина Глебовна, Пирютко Ольга Николаевна, издательство Народная асвета, Минск, 2019, голубого цвета

Авторы: Арефьева И. Г., Пирютко О. Н.

Тип: Учебник

Издательство: Народная асвета

Год издания: 2019 - 2026

Цвет обложки: голубой, синий с графиком

ISBN: 978-985-03-3077-2

Допущено Министерством образования Республики Беларусь

Популярные ГДЗ в 9 классе

Глава 3. Дробно-рациональные уравнения и неравенства. Параграф 11. Системы нелинейных уравнений - номер 3.102, страница 170.

№3.102 (с. 170)
Условие. №3.102 (с. 170)
скриншот условия
Алгебра, 9 класс Учебник, авторы: Арефьева Ирина Глебовна, Пирютко Ольга Николаевна, издательство Народная асвета, Минск, 2019, голубого цвета, страница 170, номер 3.102, Условие

3.102. Решите задачу, используя зависимости между величинами для составления системы уравнений:

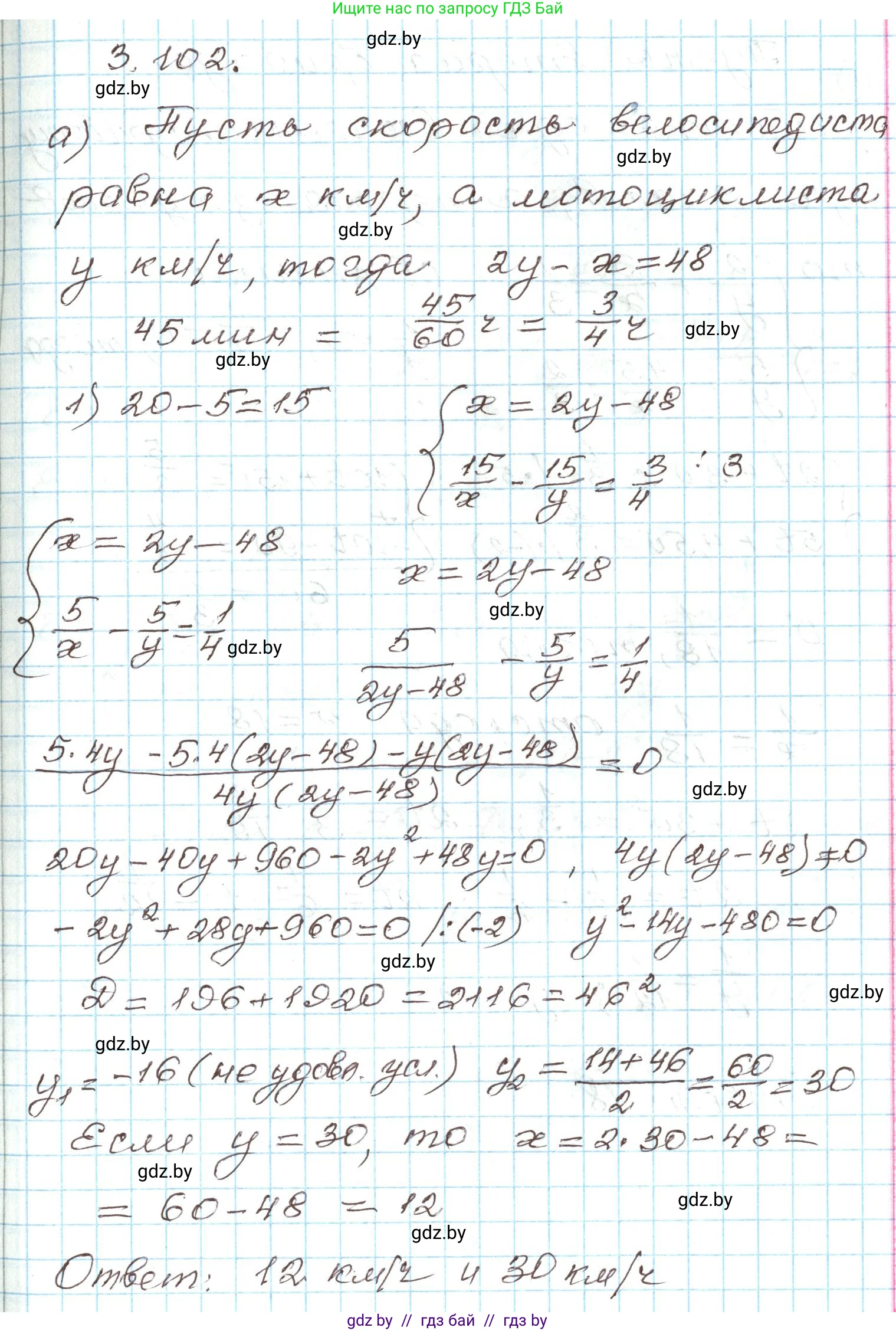
а) Протяженность шоссе между пунктами А и В составляет 20 км. Из пункта А выехал велосипедист, а через 45 мин после этого в том же направлении из пункта А выехал мотоциклист, который догнал велосипедиста, не доехав 5 км до пункта В. Найдите скорости велосипедиста и мотоциклиста, если за 1 ч велосипедист проезжает на 48 км меньше, чем мотоциклист за 2 ч.

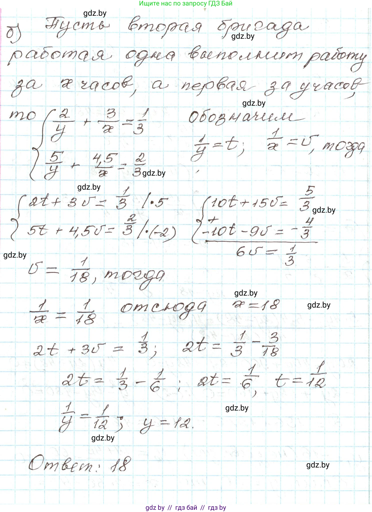
б) Две студенческие бригады выполнили задание за 2 дня. В первый день они выполнили $1/3$ задания, причем первая бригада работала 2 ч, а вторая — на 1 ч больше. Во второй день первая бригада работала 5 ч, а вторая — на 30 мин меньше. Найдите, за сколько часов могла бы выполнить задание вторая бригада, если бы работала одна.

Решение. №3.102 (с. 170)
Алгебра, 9 класс Учебник, авторы: Арефьева Ирина Глебовна, Пирютко Ольга Николаевна, издательство Народная асвета, Минск, 2019, голубого цвета, страница 170, номер 3.102, Решение Алгебра, 9 класс Учебник, авторы: Арефьева Ирина Глебовна, Пирютко Ольга Николаевна, издательство Народная асвета, Минск, 2019, голубого цвета, страница 170, номер 3.102, Решение (продолжение 2)
Решение 2. №3.102 (с. 170)

а) Пусть $v_в$ км/ч — скорость велосипедиста, а $v_м$ км/ч — скорость мотоциклиста.

Мотоциклист догнал велосипедиста, не доехав 5 км до пункта В, значит, они оба проехали расстояние $S = 20 - 5 = 15$ км.

Время, которое затратил велосипедист на этот путь: $t_в = \frac{15}{v_в}$ ч.

Время, которое затратил мотоциклист на этот путь: $t_м = \frac{15}{v_м}$ ч.

Мотоциклист выехал на 45 минут позже велосипедиста. Переведем минуты в часы: 45 мин = $\frac{45}{60}$ ч = $\frac{3}{4}$ ч. Это означает, что время велосипедиста в пути было на $\frac{3}{4}$ часа больше, чем время мотоциклиста. Составим первое уравнение:

$t_в - t_м = \frac{3}{4}$

$\frac{15}{v_в} - \frac{15}{v_м} = \frac{3}{4}$

По второму условию, за 1 час велосипедист проезжает на 48 км меньше, чем мотоциклист за 2 часа. Расстояние, которое проезжает велосипедист за 1 час, равно $1 \cdot v_в = v_в$ км. Расстояние, которое проезжает мотоциклист за 2 часа, равно $2 \cdot v_м = 2v_м$ км. Составим второе уравнение:

$2v_м - v_в = 48$

Получим систему уравнений:

$\begin{cases} \frac{15}{v_в} - \frac{15}{v_м} = \frac{3}{4} \\ 2v_м - v_в = 48 \end{cases}$

Из второго уравнения выразим $v_в$: $v_в = 2v_м - 48$.

Подставим это выражение в первое уравнение. Для удобства можно сначала разделить первое уравнение на 3:

$\frac{5}{v_в} - \frac{5}{v_м} = \frac{1}{4}$

$\frac{5}{2v_м - 48} - \frac{5}{v_м} = \frac{1}{4}$

Приведем левую часть к общему знаменателю:

$\frac{5v_м - 5(2v_м - 48)}{v_м(2v_м - 48)} = \frac{1}{4}$

$\frac{5v_м - 10v_м + 240}{2v_м^2 - 48v_м} = \frac{1}{4}$

$\frac{240 - 5v_м}{2v_м^2 - 48v_м} = \frac{1}{4}$

Используя свойство пропорции, получаем:

$4(240 - 5v_м) = 2v_м^2 - 48v_м$

$960 - 20v_м = 2v_м^2 - 48v_м$

$2v_м^2 - 28v_м - 960 = 0$

Разделим уравнение на 2:

$v_м^2 - 14v_м - 480 = 0$

Решим квадратное уравнение через дискриминант:

$D = b^2 - 4ac = (-14)^2 - 4 \cdot 1 \cdot (-480) = 196 + 1920 = 2116$

$\sqrt{D} = \sqrt{2116} = 46$

$v_{м1} = \frac{14 + 46}{2} = \frac{60}{2} = 30$

$v_{м2} = \frac{14 - 46}{2} = \frac{-32}{2} = -16$

Скорость не может быть отрицательной, поэтому скорость мотоциклиста $v_м = 30$ км/ч.

Теперь найдем скорость велосипедиста:

$v_в = 2v_м - 48 = 2 \cdot 30 - 48 = 60 - 48 = 12$ км/ч.

Ответ: скорость велосипедиста — 12 км/ч, скорость мотоциклиста — 30 км/ч.

б) Пусть $p_1$ — производительность первой бригады (часть задания/час), а $p_2$ — производительность второй бригады (часть задания/час). Всю работу примем за 1.

В первый день первая бригада работала 2 часа, а вторая — на 1 час больше, то есть $2+1 = 3$ часа. Вместе они выполнили $\frac{1}{3}$ задания. Составим первое уравнение:

$2p_1 + 3p_2 = \frac{1}{3}$

Во второй день первая бригада работала 5 часов, а вторая — на 30 минут меньше, то есть $5 - 0.5 = 4.5$ часа. Они выполнили оставшуюся часть задания: $1 - \frac{1}{3} = \frac{2}{3}$. Составим второе уравнение:

$5p_1 + 4.5p_2 = \frac{2}{3}$

Получим систему уравнений:

$\begin{cases} 2p_1 + 3p_2 = \frac{1}{3} \\ 5p_1 + 4.5p_2 = \frac{2}{3} \end{cases}$

Умножим первое уравнение на 3, а второе на 3, чтобы избавиться от дробей в правой части:

$\begin{cases} 6p_1 + 9p_2 = 1 \\ 15p_1 + 13.5p_2 = 2 \end{cases}$

Умножим второе уравнение на 2, чтобы избавиться от десятичной дроби:

$\begin{cases} 6p_1 + 9p_2 = 1 \\ 30p_1 + 27p_2 = 4 \end{cases}$

Решим систему методом исключения. Умножим первое уравнение на 5:

$\begin{cases} 30p_1 + 45p_2 = 5 \\ 30p_1 + 27p_2 = 4 \end{cases}$

Вычтем второе уравнение из первого:

$(30p_1 + 45p_2) - (30p_1 + 27p_2) = 5 - 4$

$18p_2 = 1$

$p_2 = \frac{1}{18}$

Производительность второй бригады равна $\frac{1}{18}$ часть задания в час. Чтобы найти, за сколько часов вторая бригада выполнит всю работу (1) в одиночку, нужно разделить объем работы на производительность:

$T_2 = \frac{1}{p_2} = \frac{1}{1/18} = 18$ часов.

Ответ: за 18 часов.

Помогло решение? Оставьте отзыв в комментариях ниже.

Присоединяйтесь к Телеграм-группе @gdz_by_belarus

Присоединиться

Мы подготовили для вас ответ c подробным объяснением домашего задания по алгебре за 9 класс, для упражнения номер 3.102 расположенного на странице 170 к учебнику 2019 года издания для учащихся школ и гимназий.

Теперь на нашем сайте ГДЗ.ТОП вы всегда легко и бесплатно найдёте условие с правильным ответом на вопрос «Как решить ДЗ» и «Как сделать» задание по алгебре к упражнению №3.102 (с. 170), авторов: Арефьева (Ирина Глебовна), Пирютко (Ольга Николаевна), учебного пособия издательства Народная асвета.