Номер 3.99, страница 169 - гдз по алгебре 9 класс учебник Арефьева, Пирютко

Алгебра, 9 класс Учебник, авторы: Арефьева Ирина Глебовна, Пирютко Ольга Николаевна, издательство Народная асвета, Минск, 2019, голубого цвета

Авторы: Арефьева И. Г., Пирютко О. Н.

Тип: Учебник

Издательство: Народная асвета

Год издания: 2019 - 2026

Цвет обложки: голубой, синий с графиком

ISBN: 978-985-03-3077-2

Допущено Министерством образования Республики Беларусь

Популярные ГДЗ в 9 классе

Глава 3. Дробно-рациональные уравнения и неравенства. Параграф 11. Системы нелинейных уравнений - номер 3.99, страница 169.

№3.99 (с. 169)
Условие. №3.99 (с. 169)
скриншот условия
Алгебра, 9 класс Учебник, авторы: Арефьева Ирина Глебовна, Пирютко Ольга Николаевна, издательство Народная асвета, Минск, 2019, голубого цвета, страница 169, номер 3.99, Условие

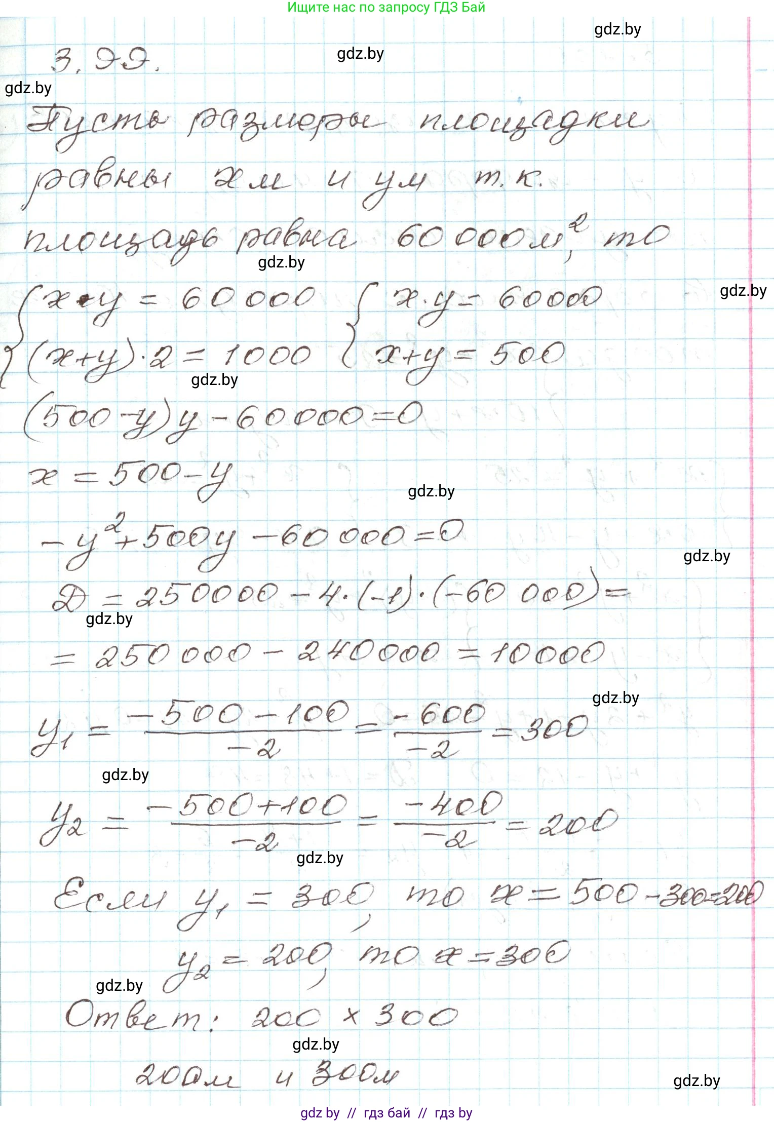
3.99. Строительная площадка прямоугольной формы огорожена забором длиной 1 км. Найдите размеры площадки, если ее площадь равна 60 000 $м^2$.

Решение. №3.99 (с. 169)
Алгебра, 9 класс Учебник, авторы: Арефьева Ирина Глебовна, Пирютко Ольга Николаевна, издательство Народная асвета, Минск, 2019, голубого цвета, страница 169, номер 3.99, Решение
Решение 2. №3.99 (с. 169)

Пусть стороны прямоугольной площадки равны $a$ и $b$ метров.

Длина забора — это периметр прямоугольника. Согласно условию, периметр равен 1 км. Переведем эту величину в метры, так как площадь дана в квадратных метрах:

$P = 1 \text{ км} = 1000 \text{ м}$

Формула периметра прямоугольника: $P = 2(a + b)$.

Подставим известное значение периметра:

$1000 = 2(a + b)$

Разделим обе части на 2, чтобы найти полупериметр (сумму длины и ширины):

$a + b = 500$

Площадь площадки по условию равна $S = 60 000 \text{ м}^2$.

Формула площади прямоугольника: $S = a \cdot b$.

Таким образом, мы имеем систему из двух уравнений с двумя неизвестными:

$\begin{cases} a + b = 500 \\ a \cdot b = 60000 \end{cases}$

Для решения этой системы выразим одну переменную через другую. Например, выразим $a$ из первого уравнения:

$a = 500 - b$

Теперь подставим это выражение для $a$ во второе уравнение:

$(500 - b) \cdot b = 60000$

Раскроем скобки. Это приведет нас к квадратному уравнению:

$500b - b^2 = 60000$

Перенесем все члены в одну сторону, чтобы получить стандартный вид квадратного уравнения $Ax^2 + Bx + C = 0$:

$b^2 - 500b + 60000 = 0$

Решим это уравнение с помощью дискриминанта $D = B^2 - 4AC$:

$D = (-500)^2 - 4 \cdot 1 \cdot 60000 = 250000 - 240000 = 10000$

Так как дискриминант положительный ($D > 0$), уравнение имеет два различных корня. Найдем их:

$\sqrt{D} = \sqrt{10000} = 100$

$b_1 = \frac{-(-500) + 100}{2 \cdot 1} = \frac{500 + 100}{2} = \frac{600}{2} = 300$

$b_2 = \frac{-(-500) - 100}{2 \cdot 1} = \frac{500 - 100}{2} = \frac{400}{2} = 200$

Мы нашли два возможных значения для одной из сторон. Теперь найдем соответствующие значения для второй стороны $a$:

  • Если сторона $b = 300$ м, то сторона $a = 500 - 300 = 200$ м.
  • Если сторона $b = 200$ м, то сторона $a = 500 - 200 = 300$ м.

В обоих случаях мы получаем, что размеры площадки — это 200 метров и 300 метров.

Размеры площадки: Ответ: 200 м и 300 м.

Помогло решение? Оставьте отзыв в комментариях ниже.

Присоединяйтесь к Телеграм-группе @gdz_by_belarus

Присоединиться

Мы подготовили для вас ответ c подробным объяснением домашего задания по алгебре за 9 класс, для упражнения номер 3.99 расположенного на странице 169 к учебнику 2019 года издания для учащихся школ и гимназий.

Теперь на нашем сайте ГДЗ.ТОП вы всегда легко и бесплатно найдёте условие с правильным ответом на вопрос «Как решить ДЗ» и «Как сделать» задание по алгебре к упражнению №3.99 (с. 169), авторов: Арефьева (Ирина Глебовна), Пирютко (Ольга Николаевна), учебного пособия издательства Народная асвета.