Номер 3.201, страница 197 - гдз по алгебре 9 класс учебник Арефьева, Пирютко

Алгебра, 9 класс Учебник, авторы: Арефьева Ирина Глебовна, Пирютко Ольга Николаевна, издательство Народная асвета, Минск, 2019, голубого цвета

Авторы: Арефьева И. Г., Пирютко О. Н.

Тип: Учебник

Издательство: Народная асвета

Год издания: 2019 - 2026

Цвет обложки: голубой, синий с графиком

ISBN: 978-985-03-3077-2

Допущено Министерством образования Республики Беларусь

Популярные ГДЗ в 9 классе

Глава 3. Дробно-рациональные уравнения и неравенства. Параграф 13. Дробно-рациональные неравенства. Метод интервалов для решения рациональных неравенств - номер 3.201, страница 197.

№3.201 (с. 197)
Условие. №3.201 (с. 197)
скриншот условия
Алгебра, 9 класс Учебник, авторы: Арефьева Ирина Глебовна, Пирютко Ольга Николаевна, издательство Народная асвета, Минск, 2019, голубого цвета, страница 197, номер 3.201, Условие

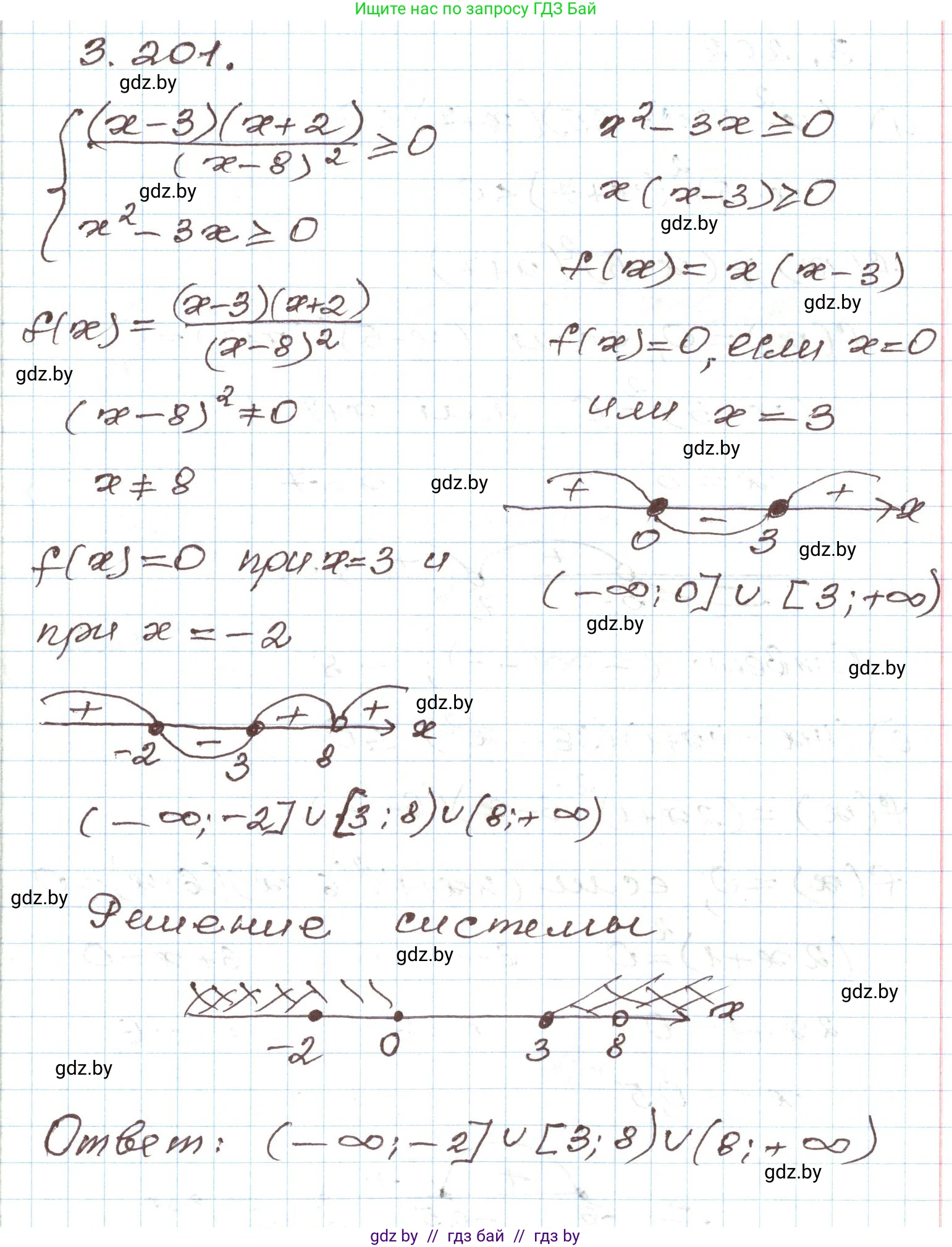
3.201. Решите систему неравенств $\begin{cases} \frac{(x-3)(x+2)}{(x-8)^2} \ge 0, \\ x^2 - 3x \ge 0. \end{cases}$

Решение. №3.201 (с. 197)
Алгебра, 9 класс Учебник, авторы: Арефьева Ирина Глебовна, Пирютко Ольга Николаевна, издательство Народная асвета, Минск, 2019, голубого цвета, страница 197, номер 3.201, Решение
Решение 2. №3.201 (с. 197)

Для решения системы неравенств необходимо решить каждое неравенство по отдельности, а затем найти пересечение их решений.

1. Решим первое неравенство $\frac{(x-3)(x+2)}{(x-8)^2} \ge 0$. Ответ: $x \in (-\infty, -2] \cup [3, 8) \cup (8, +\infty)$.
Пояснение:
Найдем область допустимых значений (ОДЗ): знаменатель не должен быть равен нулю, следовательно, $x \ne 8$.
Поскольку знаменатель $(x-8)^2$ всегда положителен при $x \ne 8$, знак дроби совпадает со знаком числителя $(x-3)(x+2)$.
Решим неравенство $(x-3)(x+2) \ge 0$ методом интервалов. Нули числителя: $x_1 = 3$ и $x_2 = -2$.
Графиком функции $y=(x-3)(x+2)$ является парабола с ветвями вверх. Она принимает неотрицательные значения при $x \in (-\infty, -2] \cup [3, +\infty)$.
Учитывая ОДЗ ($x \ne 8$), мы должны исключить эту точку из решения, "выколов" ее из промежутка $[3, +\infty)$.

2. Решим второе неравенство $x^2 - 3x \ge 0$. Ответ: $x \in (-\infty, 0] \cup [3, +\infty)$.
Пояснение:
Разложим левую часть на множители: $x(x-3) \ge 0$.
Нули функции $y=x(x-3)$ это $x_1 = 0$ и $x_2 = 3$.
Графиком является парабола с ветвями вверх. Она принимает неотрицательные значения на промежутках вне корней, то есть при $x \le 0$ или $x \ge 3$.

3. Найдем решение системы. Ответ: $x \in (-\infty, -2] \cup [3, 8) \cup (8, +\infty)$.
Пояснение:
Найдем пересечение решений, полученных в пунктах 1 и 2:
$((-\infty, -2] \cup [3, 8) \cup (8, +\infty)) \cap ((-\infty, 0] \cup [3, +\infty))$
Изобразив оба множества решений на числовой оси, найдем их общие части:

  • Пересечение $(-\infty, -2]$ и $(-\infty, 0]$ дает интервал $(-\infty, -2]$.
  • Пересечение $[3, 8) \cup (8, +\infty)$ и $[3, +\infty)$ дает $[3, 8) \cup (8, +\infty)$.

Объединив эти результаты, получаем итоговое решение системы неравенств.

Помогло решение? Оставьте отзыв в комментариях ниже.

Присоединяйтесь к Телеграм-группе @gdz_by_belarus

Присоединиться

Мы подготовили для вас ответ c подробным объяснением домашего задания по алгебре за 9 класс, для упражнения номер 3.201 расположенного на странице 197 к учебнику 2019 года издания для учащихся школ и гимназий.

Теперь на нашем сайте ГДЗ.ТОП вы всегда легко и бесплатно найдёте условие с правильным ответом на вопрос «Как решить ДЗ» и «Как сделать» задание по алгебре к упражнению №3.201 (с. 197), авторов: Арефьева (Ирина Глебовна), Пирютко (Ольга Николаевна), учебного пособия издательства Народная асвета.