Номер 3.195, страница 197 - гдз по алгебре 9 класс учебник Арефьева, Пирютко

Алгебра, 9 класс Учебник, авторы: Арефьева Ирина Глебовна, Пирютко Ольга Николаевна, издательство Народная асвета, Минск, 2019, голубого цвета

Авторы: Арефьева И. Г., Пирютко О. Н.

Тип: Учебник

Издательство: Народная асвета

Год издания: 2019 - 2026

Цвет обложки: голубой, синий с графиком

ISBN: 978-985-03-3077-2

Допущено Министерством образования Республики Беларусь

Популярные ГДЗ в 9 классе

Глава 3. Дробно-рациональные уравнения и неравенства. Параграф 13. Дробно-рациональные неравенства. Метод интервалов для решения рациональных неравенств - номер 3.195, страница 197.

№3.195 (с. 197)
Условие. №3.195 (с. 197)
скриншот условия
Алгебра, 9 класс Учебник, авторы: Арефьева Ирина Глебовна, Пирютко Ольга Николаевна, издательство Народная асвета, Минск, 2019, голубого цвета, страница 197, номер 3.195, Условие

3.195. Найдите все значения переменной, при которых:

а) $\frac{(x+2)(x-5)}{x-3} > 0;$

б) $\frac{2x+15}{(x-1)(x+9)} < 0;$

в) $\frac{x(9x-1)}{x-5} \ge 0;$

г) $\frac{(8-x)(x+6)}{x-11} \le 0;$

д) $\frac{x(2-x)}{(1-3x)(x+5)} > 0;$

е) $\frac{(1-6x)(3-x)}{(7-2x)(x+7)} \le 0.$

Решение. №3.195 (с. 197)
Алгебра, 9 класс Учебник, авторы: Арефьева Ирина Глебовна, Пирютко Ольга Николаевна, издательство Народная асвета, Минск, 2019, голубого цвета, страница 197, номер 3.195, Решение Алгебра, 9 класс Учебник, авторы: Арефьева Ирина Глебовна, Пирютко Ольга Николаевна, издательство Народная асвета, Минск, 2019, голубого цвета, страница 197, номер 3.195, Решение (продолжение 2)
Решение 2. №3.195 (с. 197)

а) Решим неравенство $\frac{(x+2)(x-5)}{x-3} > 0$ методом интервалов.
1. Найдем нули числителя и знаменателя (точки, в которых выражение может поменять знак):
Нули числителя: $x+2=0 \implies x = -2$; $x-5=0 \implies x = 5$.
Нуль знаменателя: $x-3=0 \implies x = 3$.
2. Отметим эти точки на числовой оси. Поскольку неравенство строгое ($>0$), все точки будут "выколотыми" (не будут входить в решение). Точки $-2, 3, 5$ делят ось на четыре интервала: $(-\infty; -2)$, $(-2; 3)$, $(3; 5)$, $(5; +\infty)$.
3. Определим знак выражения в каждом интервале. Так как все множители в первой степени, знаки будут чередоваться. Определим знак в крайнем правом интервале $(5; +\infty)$, взяв $x=6$:
$\frac{(6+2)(6-5)}{6-3} = \frac{8 \cdot 1}{3} > 0$. Знак "+".
Двигаясь вправо-налево, знаки чередуются: $+, -, +, -$.
4. Выбираем интервалы, где выражение больше нуля (со знаком "+").
Ответ: $x \in (-2; 3) \cup (5; +\infty)$.

б) Решим неравенство $\frac{2x+15}{(x-1)(x+9)} < 0$ методом интервалов.
1. Найдем нули числителя и знаменателя:
Нуль числителя: $2x+15=0 \implies x = -\frac{15}{2} = -7\frac{1}{2}$.
Нули знаменателя: $x-1=0 \implies x = 1$; $x+9=0 \implies x = -9$.
2. Отметим точки $-9, -7\frac{1}{2}, 1$ на числовой оси. Неравенство строгое ($<0$), поэтому все точки выколотые. Они делят ось на интервалы: $(-\infty; -9)$, $(-9; -7\frac{1}{2})$, $(-7\frac{1}{2}; 1)$, $(1; +\infty)$.
3. Определим знак в крайнем правом интервале $(1; +\infty)$, взяв $x=2$:
$\frac{2(2)+15}{(2-1)(2+9)} = \frac{19}{1 \cdot 11} > 0$. Знак "+".
Знаки на интервалах, чередуясь, будут: $-, +, -, +$.
4. Выбираем интервалы, где выражение меньше нуля (со знаком "-").
Ответ: $x \in (-\infty; -9) \cup (-7\frac{1}{2}; 1)$.

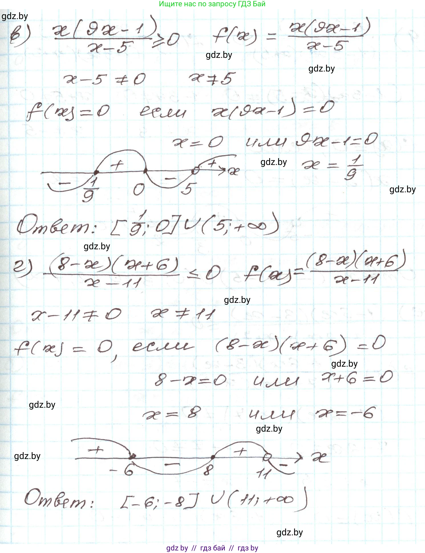
в) Решим неравенство $\frac{x(9x-1)}{x-5} \ge 0$ методом интервалов.
1. Найдем нули числителя и знаменателя:
Нули числителя: $x=0$; $9x-1=0 \implies x = \frac{1}{9}$.
Нуль знаменателя: $x-5=0 \implies x = 5$.
2. Отметим точки на числовой оси. Неравенство нестрогое ($\ge 0$), поэтому нули числителя ($0, \frac{1}{9}$) будут "закрашенными" (включены в решение), а нуль знаменателя ($5$) — "выколотым". Точки делят ось на интервалы: $(-\infty; 0]$, $[0; \frac{1}{9}]$, $[\frac{1}{9}; 5)$, $(5; +\infty)$.
3. Определим знак в крайнем правом интервале $(5; +\infty)$, взяв $x=6$:
$\frac{6(9 \cdot 6 - 1)}{6-5} = \frac{6 \cdot 53}{1} > 0$. Знак "+".
Знаки на интервалах: $-, +, -, +$.
4. Выбираем интервалы, где выражение больше или равно нулю (со знаком "+", включая закрашенные точки).
Ответ: $x \in [0; \frac{1}{9}] \cup (5; +\infty)$.

г) Решим неравенство $\frac{(8-x)(x+6)}{x-11} \le 0$.
1. Приведем выражение к стандартному виду, чтобы коэффициент при $x$ был положительным.
$\frac{-(x-8)(x+6)}{x-11} \le 0$.
Умножим обе части на -1, изменив знак неравенства на противоположный:
$\frac{(x-8)(x+6)}{x-11} \ge 0$.
2. Найдем нули: $x-8=0 \implies x=8$; $x+6=0 \implies x=-6$; $x-11=0 \implies x=11$.
3. Отметим точки на оси. Нули числителя $-6$ и $8$ — закрашенные, нуль знаменателя $11$ — выколотый. Интервалы: $(-\infty; -6]$, $[-6; 8]$, $[8; 11)$, $(11; +\infty)$.
4. Определим знак в крайнем правом интервале $(11; +\infty)$, взяв $x=12$:
$\frac{(12-8)(12+6)}{12-11} > 0$. Знак "+".
Знаки на интервалах: $-, +, -, +$.
5. Выбираем интервалы, где выражение $\ge 0$ (со знаком "+").
Ответ: $x \in [-6; 8] \cup (11; +\infty)$.

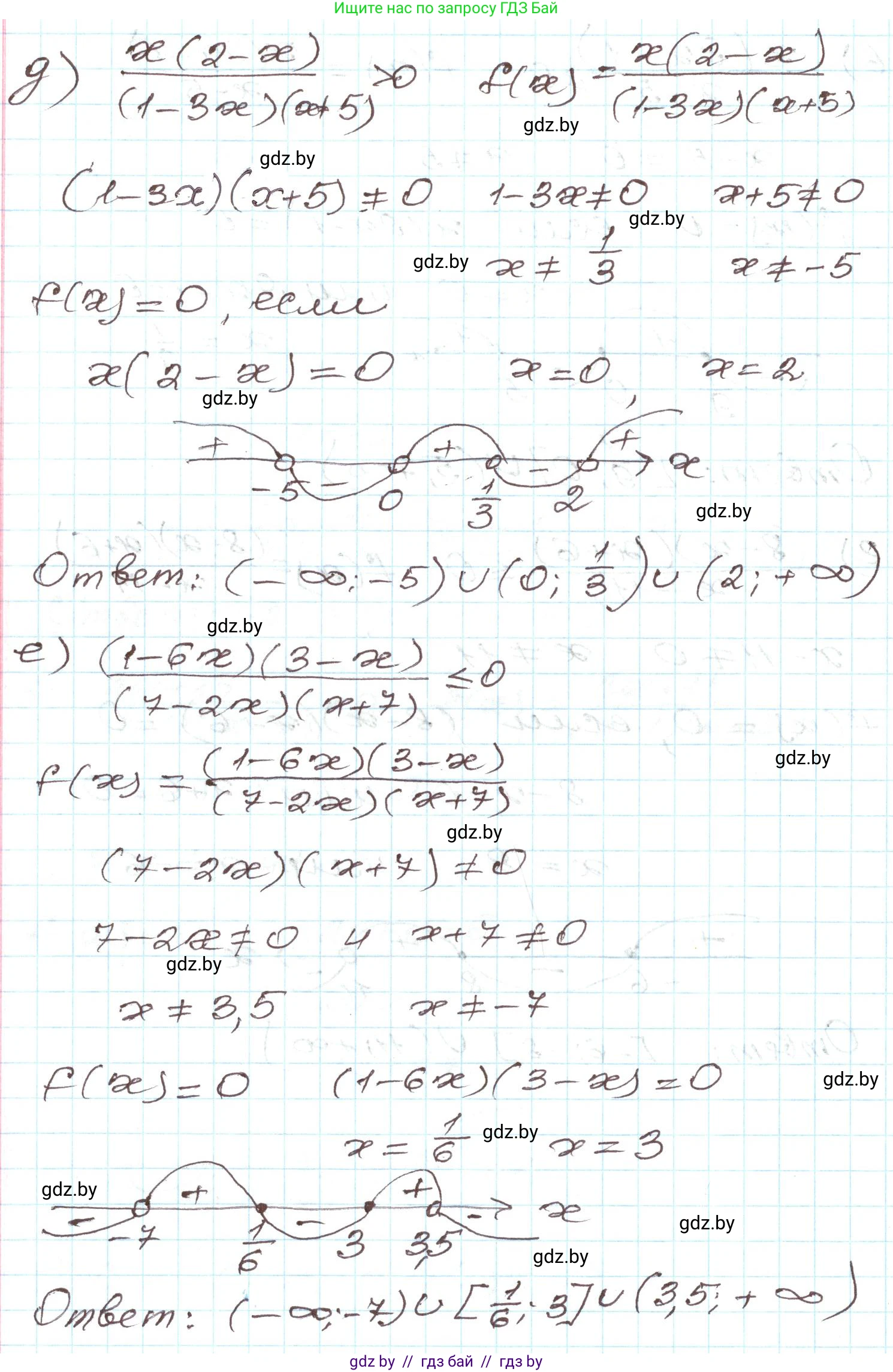
д) Решим неравенство $\frac{x(2-x)}{(1-3x)(x+5)} > 0$.
1. Приведем множители к стандартному виду:
$\frac{x(-(x-2))}{(-(3x-1))(x+5)} > 0 \implies \frac{x(x-2)}{(3x-1)(x+5)} > 0$.
2. Найдем нули: $x=0$, $x=2$ (числитель); $3x-1=0 \implies x=\frac{1}{3}$, $x=-5$ (знаменатель).
3. Неравенство строгое, все точки выколотые. Точки $-5, 0, \frac{1}{3}, 2$ делят ось на 5 интервалов.
4. Определим знак в крайнем правом интервале $(2; +\infty)$, взяв $x=3$:
$\frac{3(3-2)}{(3 \cdot 3-1)(3+5)} > 0$. Знак "+".
Знаки на интервалах: $+, -, +, -, +$.
5. Выбираем интервалы со знаком "+".
Ответ: $x \in (-\infty; -5) \cup (0; \frac{1}{3}) \cup (2; +\infty)$.

е) Решим неравенство $\frac{(1-6x)(3-x)}{(7-2x)(x+7)} \le 0$.
1. Приведем множители к стандартному виду:
$\frac{(-(6x-1))(-(x-3))}{(-(2x-7))(x+7)} \le 0 \implies \frac{(6x-1)(x-3)}{-(2x-7)(x+7)} \le 0$.
Умножим на -1, изменив знак неравенства:
$\frac{(6x-1)(x-3)}{(2x-7)(x+7)} \ge 0$.
2. Найдем нули:
Числитель: $6x-1=0 \implies x=\frac{1}{6}$; $x-3=0 \implies x=3$.
Знаменатель: $2x-7=0 \implies x=\frac{7}{2}=3\frac{1}{2}$; $x+7=0 \implies x=-7$.
3. Отметим точки на оси. Нули числителя $\frac{1}{6}$ и $3$ — закрашенные, нули знаменателя $-7$ и $3\frac{1}{2}$ — выколотые.
4. Определим знак в крайнем правом интервале $(3\frac{1}{2}; +\infty)$, взяв $x=4$:
$\frac{(6 \cdot 4-1)(4-3)}{(2 \cdot 4-7)(4+7)} > 0$. Знак "+".
Знаки на интервалах: $+, -, +, -, +$.
5. Выбираем интервалы, где выражение $\ge 0$ (со знаком "+").
Ответ: $x \in (-\infty; -7) \cup [\frac{1}{6}; 3] \cup (3\frac{1}{2}; +\infty)$.

Помогло решение? Оставьте отзыв в комментариях ниже.

Присоединяйтесь к Телеграм-группе @gdz_by_belarus

Присоединиться

Мы подготовили для вас ответ c подробным объяснением домашего задания по алгебре за 9 класс, для упражнения номер 3.195 расположенного на странице 197 к учебнику 2019 года издания для учащихся школ и гимназий.

Теперь на нашем сайте ГДЗ.ТОП вы всегда легко и бесплатно найдёте условие с правильным ответом на вопрос «Как решить ДЗ» и «Как сделать» задание по алгебре к упражнению №3.195 (с. 197), авторов: Арефьева (Ирина Глебовна), Пирютко (Ольга Николаевна), учебного пособия издательства Народная асвета.