Номер 3.190, страница 196 - гдз по алгебре 9 класс учебник Арефьева, Пирютко

Алгебра, 9 класс Учебник, авторы: Арефьева Ирина Глебовна, Пирютко Ольга Николаевна, издательство Народная асвета, Минск, 2019, голубого цвета

Авторы: Арефьева И. Г., Пирютко О. Н.

Тип: Учебник

Издательство: Народная асвета

Год издания: 2019 - 2026

Цвет обложки: голубой, синий с графиком

ISBN: 978-985-03-3077-2

Допущено Министерством образования Республики Беларусь

Популярные ГДЗ в 9 классе

Глава 3. Дробно-рациональные уравнения и неравенства. Параграф 13. Дробно-рациональные неравенства. Метод интервалов для решения рациональных неравенств - номер 3.190, страница 196.

№3.190 (с. 196)
Условие. №3.190 (с. 196)
скриншот условия
Алгебра, 9 класс Учебник, авторы: Арефьева Ирина Глебовна, Пирютко Ольга Николаевна, издательство Народная асвета, Минск, 2019, голубого цвета, страница 196, номер 3.190, Условие

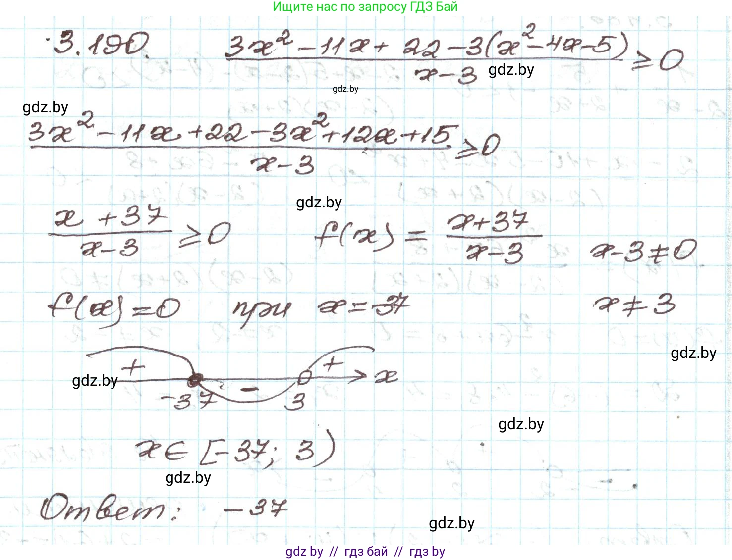
3.190*. Найдите число целых отрицательных решений неравенства $ \frac{3x^2 - 11x + 22}{x^2 - 4x - 5} \ge 3 $.

Решение. №3.190 (с. 196)
Алгебра, 9 класс Учебник, авторы: Арефьева Ирина Глебовна, Пирютко Ольга Николаевна, издательство Народная асвета, Минск, 2019, голубого цвета, страница 196, номер 3.190, Решение
Решение 2. №3.190 (с. 196)

Для решения неравенства необходимо преобразовать его так, чтобы в правой части был ноль, а левая часть представляла собой одну дробь. Затем решить полученное рациональное неравенство методом интервалов и посчитать количество целых отрицательных решений.

1. Преобразование исходного неравенства:

Перенесем 3 в левую часть и приведем к общему знаменателю:
$\frac{3x^2 - 11x + 22}{x^2 - 4x - 5} - 3 \ge 0$
$\frac{3x^2 - 11x + 22 - 3(x^2 - 4x - 5)}{x^2 - 4x - 5} \ge 0$
Раскроем скобки в числителе и приведем подобные слагаемые:
$\frac{3x^2 - 11x + 22 - 3x^2 + 12x + 15}{x^2 - 4x - 5} \ge 0$
$\frac{(3x^2 - 3x^2) + (-11x + 12x) + (22 + 15)}{x^2 - 4x - 5} \ge 0$
$\frac{x + 37}{x^2 - 4x - 5} \ge 0$
Ответ: неравенство приведено к виду $\frac{x + 37}{x^2 - 4x - 5} \ge 0$.

2. Нахождение нулей числителя и знаменателя:

Для применения метода интервалов найдем корни числителя и знаменателя.

Нуль числителя (значение, при котором дробь равна нулю):
$x + 37 = 0 \implies x_0 = -37$

Нули знаменателя (значения, при которых дробь не определена):
$x^2 - 4x - 5 = 0$
Используя теорему Виета, находим корни: $x_1 + x_2 = 4$ и $x_1 \cdot x_2 = -5$. Отсюда $x_1 = 5$, $x_2 = -1$.
Знаменатель можно разложить на множители: $(x - 5)(x + 1)$.

Ответ: нуль числителя $x = -37$; нули знаменателя $x = -1, x = 5$.

3. Решение неравенства методом интервалов:

Отметим на числовой оси точки $-37, -1, 5$. Точка $x=-37$ будет закрашенной (включена в решение), так как неравенство нестрогое ($\ge$). Точки $x=-1$ и $x=5$ будут выколотыми, так как они обращают знаменатель в ноль.

Определим знаки выражения $\frac{x + 37}{(x + 1)(x - 5)}$ на полученных интервалах:

  • Интервал $(-\infty; -37]$: знак "минус" (-).
  • Интервал $[-37; -1)$: знак "плюс" (+).
  • Интервал $(-1; 5)$: знак "минус" (-).
  • Интервал $(5; +\infty)$: знак "плюс" (+).

Поскольку знак неравенства $\ge 0$, нас интересуют промежутки, где выражение положительно или равно нулю.

Ответ: решением неравенства является объединение промежутков $x \in [-37, -1) \cup (5, +\infty)$.

4. Подсчет количества целых отрицательных решений:

Требуется найти количество целых отрицательных чисел, удовлетворяющих неравенству. Выберем их из полученного множества решений $x \in [-37, -1) \cup (5, +\infty)$.

Промежуток $(5, +\infty)$ не содержит отрицательных чисел.

Промежуток $[-37, -1)$ содержит целые отрицательные числа от $-37$ до $-2$ включительно. Число $-1$ не входит в промежуток.

Список этих чисел: $-37, -36, \dots, -2$.

Для подсчета их количества вычтем из последнего числа первое и прибавим единицу:
$N = (-2) - (-37) + 1 = -2 + 37 + 1 = 35 + 1 = 36$.

Ответ: число целых отрицательных решений равно 36.

Помогло решение? Оставьте отзыв в комментариях ниже.

Присоединяйтесь к Телеграм-группе @gdz_by_belarus

Присоединиться

Мы подготовили для вас ответ c подробным объяснением домашего задания по алгебре за 9 класс, для упражнения номер 3.190 расположенного на странице 196 к учебнику 2019 года издания для учащихся школ и гимназий.

Теперь на нашем сайте ГДЗ.ТОП вы всегда легко и бесплатно найдёте условие с правильным ответом на вопрос «Как решить ДЗ» и «Как сделать» задание по алгебре к упражнению №3.190 (с. 196), авторов: Арефьева (Ирина Глебовна), Пирютко (Ольга Николаевна), учебного пособия издательства Народная асвета.