Номер 3.183, страница 195 - гдз по алгебре 9 класс учебник Арефьева, Пирютко

Алгебра, 9 класс Учебник, авторы: Арефьева Ирина Глебовна, Пирютко Ольга Николаевна, издательство Народная асвета, Минск, 2019, голубого цвета

Авторы: Арефьева И. Г., Пирютко О. Н.

Тип: Учебник

Издательство: Народная асвета

Год издания: 2019 - 2026

Цвет обложки: голубой, синий с графиком

ISBN: 978-985-03-3077-2

Допущено Министерством образования Республики Беларусь

Популярные ГДЗ в 9 классе

Глава 3. Дробно-рациональные уравнения и неравенства. Параграф 13. Дробно-рациональные неравенства. Метод интервалов для решения рациональных неравенств - номер 3.183, страница 195.

№3.183 (с. 195)
Условие. №3.183 (с. 195)
скриншот условия
Алгебра, 9 класс Учебник, авторы: Арефьева Ирина Глебовна, Пирютко Ольга Николаевна, издательство Народная асвета, Минск, 2019, голубого цвета, страница 195, номер 3.183, Условие

3.183. Решите систему неравенств:

а) $\begin{cases} \frac{6}{x} - \frac{6}{x+1} \ge 1, \\ x^2 \le 9; \end{cases}$

б) $\begin{cases} x^2 - 3x + 2 > 0, \\ \frac{x^2 - 5x}{x+3} \ge 2. \end{cases}$

Решение. №3.183 (с. 195)
Алгебра, 9 класс Учебник, авторы: Арефьева Ирина Глебовна, Пирютко Ольга Николаевна, издательство Народная асвета, Минск, 2019, голубого цвета, страница 195, номер 3.183, Решение Алгебра, 9 класс Учебник, авторы: Арефьева Ирина Глебовна, Пирютко Ольга Николаевна, издательство Народная асвета, Минск, 2019, голубого цвета, страница 195, номер 3.183, Решение (продолжение 2)
Решение 2. №3.183 (с. 195)

а) Решим систему неравенств: $$ \begin{cases} \frac{6}{x} - \frac{6}{x+1} \ge 1, \\ x^2 \le 9 \end{cases} $$

1. Решим первое неравенство: $\frac{6}{x} - \frac{6}{x+1} \ge 1$.
Перенесем все члены в левую часть и приведем к общему знаменателю. Область допустимых значений (ОДЗ): $x \ne 0$, $x \ne -1$. $$ \frac{6}{x} - \frac{6}{x+1} - 1 \ge 0 $$ $$ \frac{6(x+1) - 6x - x(x+1)}{x(x+1)} \ge 0 $$ $$ \frac{6x + 6 - 6x - x^2 - x}{x(x+1)} \ge 0 $$ $$ \frac{-x^2 - x + 6}{x(x+1)} \ge 0 $$ Умножим обе части на -1 и изменим знак неравенства на противоположный: $$ \frac{x^2 + x - 6}{x(x+1)} \le 0 $$ Разложим числитель на множители. Корни уравнения $x^2 + x - 6 = 0$ равны $x_1 = 2$ и $x_2 = -3$. $$ \frac{(x-2)(x+3)}{x(x+1)} \le 0 $$ Решим это неравенство методом интервалов. Отметим на числовой оси нули числителя ($x=2, x=-3$) и нули знаменателя ($x=0, x=-1$). Нули числителя будут закрашенными точками, а нули знаменателя — выколотыми.

Определив знаки на интервалах, получим решение для первого неравенства: $x \in [-3, -1) \cup (0, 2]$.

2. Решим второе неравенство: $x^2 \le 9$.
Это неравенство равносильно $x^2 - 9 \le 0$ или $(x-3)(x+3) \le 0$.
Решением является промежуток между корнями, включая сами корни: $x \in [-3, 3]$.

3. Найдем пересечение решений обоих неравенств.
Решение системы — это пересечение множеств $x \in [-3, -1) \cup (0, 2]$ и $x \in [-3, 3]$.

Пересечением является множество $x \in [-3, -1) \cup (0, 2]$.

Ответ: $x \in [-3, -1) \cup (0, 2]$.


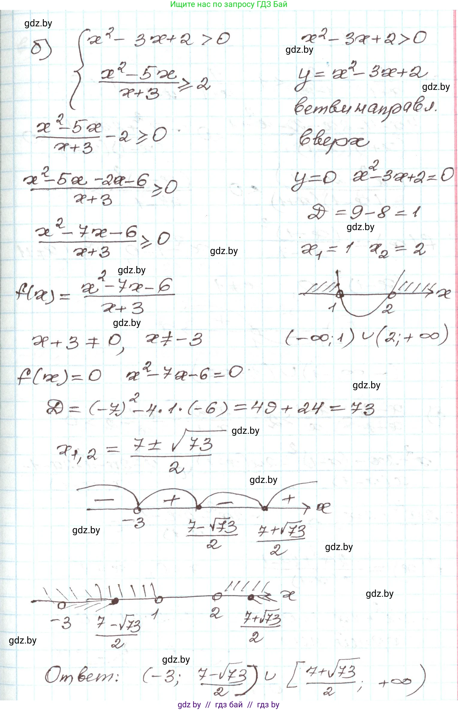
б) Решим систему неравенств: $$ \begin{cases} x^2 - 3x + 2 > 0, \\ \frac{x^2 - 5x}{x+3} \ge 2 \end{cases} $$

1. Решим первое неравенство: $x^2 - 3x + 2 > 0$.
Найдем корни квадратного уравнения $x^2 - 3x + 2 = 0$. По теореме Виета, корни $x_1=1$, $x_2=2$. Неравенство можно записать в виде $(x-1)(x-2) > 0$. Так как это парабола с ветвями вверх, ее значения положительны вне интервала между корнями. Решение первого неравенства: $x \in (-\infty, 1) \cup (2, \infty)$.

2. Решим второе неравенство: $\frac{x^2 - 5x}{x+3} \ge 2$.
ОДЗ: $x \ne -3$. Перенесем 2 в левую часть и приведем к общему знаменателю: $$ \frac{x^2 - 5x}{x+3} - 2 \ge 0 $$ $$ \frac{x^2 - 5x - 2(x+3)}{x+3} \ge 0 $$ $$ \frac{x^2 - 7x - 6}{x+3} \ge 0 $$ Найдем корни числителя $x^2 - 7x - 6 = 0$ с помощью дискриминанта: $D = (-7)^2 - 4(1)(-6) = 49 + 24 = 73$. $x_{1,2} = \frac{7 \pm \sqrt{73}}{2}$. Решим неравенство $\frac{(x - \frac{7-\sqrt{73}}{2})(x - \frac{7+\sqrt{73}}{2})}{x+3} \ge 0$ методом интервалов. Отметим на числовой оси точки $-3$, $\frac{7 - \sqrt{73}}{2}$ и $\frac{7 + \sqrt{73}}{2}$. Решение второго неравенства: $x \in (-3, \frac{7 - \sqrt{73}}{2}] \cup [\frac{7 + \sqrt{73}}{2}, \infty)$.

3. Найдем пересечение решений обоих неравенств.
Решение системы — это пересечение множеств $x \in (-\infty, 1) \cup (2, \infty)$ и $x \in (-3, \frac{7 - \sqrt{73}}{2}] \cup [\frac{7 + \sqrt{73}}{2}, \infty)$.
Оценим значения корней: $\sqrt{64} < \sqrt{73} < \sqrt{81}$, т.е. $8 < \sqrt{73} < 9$.
$\frac{7 - \sqrt{73}}{2} \approx \frac{7 - 8.5}{2} \approx -0.75$. Эта точка принадлежит интервалу $(-\infty, 1)$.
$\frac{7 + \sqrt{73}}{2} \approx \frac{7 + 8.5}{2} \approx 7.75$. Эта точка принадлежит интервалу $(2, \infty)$.
Пересекая множество $(-\infty, 1)$ с $(-3, \frac{7 - \sqrt{73}}{2}]$, получаем $(-3, \frac{7 - \sqrt{73}}{2}]$.
Пересекая множество $(2, \infty)$ с $[\frac{7 + \sqrt{73}}{2}, \infty)$, получаем $[\frac{7 + \sqrt{73}}{2}, \infty)$.

Объединив результаты, получаем итоговое решение.

Ответ: $x \in (-3, \frac{7 - \sqrt{73}}{2}] \cup [\frac{7 + \sqrt{73}}{2}, \infty)$.

Помогло решение? Оставьте отзыв в комментариях ниже.

Присоединяйтесь к Телеграм-группе @gdz_by_belarus

Присоединиться

Мы подготовили для вас ответ c подробным объяснением домашего задания по алгебре за 9 класс, для упражнения номер 3.183 расположенного на странице 195 к учебнику 2019 года издания для учащихся школ и гимназий.

Теперь на нашем сайте ГДЗ.ТОП вы всегда легко и бесплатно найдёте условие с правильным ответом на вопрос «Как решить ДЗ» и «Как сделать» задание по алгебре к упражнению №3.183 (с. 195), авторов: Арефьева (Ирина Глебовна), Пирютко (Ольга Николаевна), учебного пособия издательства Народная асвета.