Номер 3.182, страница 195 - гдз по алгебре 9 класс учебник Арефьева, Пирютко

Алгебра, 9 класс Учебник, авторы: Арефьева Ирина Глебовна, Пирютко Ольга Николаевна, издательство Народная асвета, Минск, 2019, голубого цвета

Авторы: Арефьева И. Г., Пирютко О. Н.

Тип: Учебник

Издательство: Народная асвета

Год издания: 2019 - 2026

Цвет обложки: голубой, синий с графиком

ISBN: 978-985-03-3077-2

Допущено Министерством образования Республики Беларусь

Популярные ГДЗ в 9 классе

Глава 3. Дробно-рациональные уравнения и неравенства. Параграф 13. Дробно-рациональные неравенства. Метод интервалов для решения рациональных неравенств - номер 3.182, страница 195.

№3.182 (с. 195)
Условие. №3.182 (с. 195)
скриншот условия
Алгебра, 9 класс Учебник, авторы: Арефьева Ирина Глебовна, Пирютко Ольга Николаевна, издательство Народная асвета, Минск, 2019, голубого цвета, страница 195, номер 3.182, Условие

3.182. Найдите все значения переменной, при которых имеет смысл выражение:

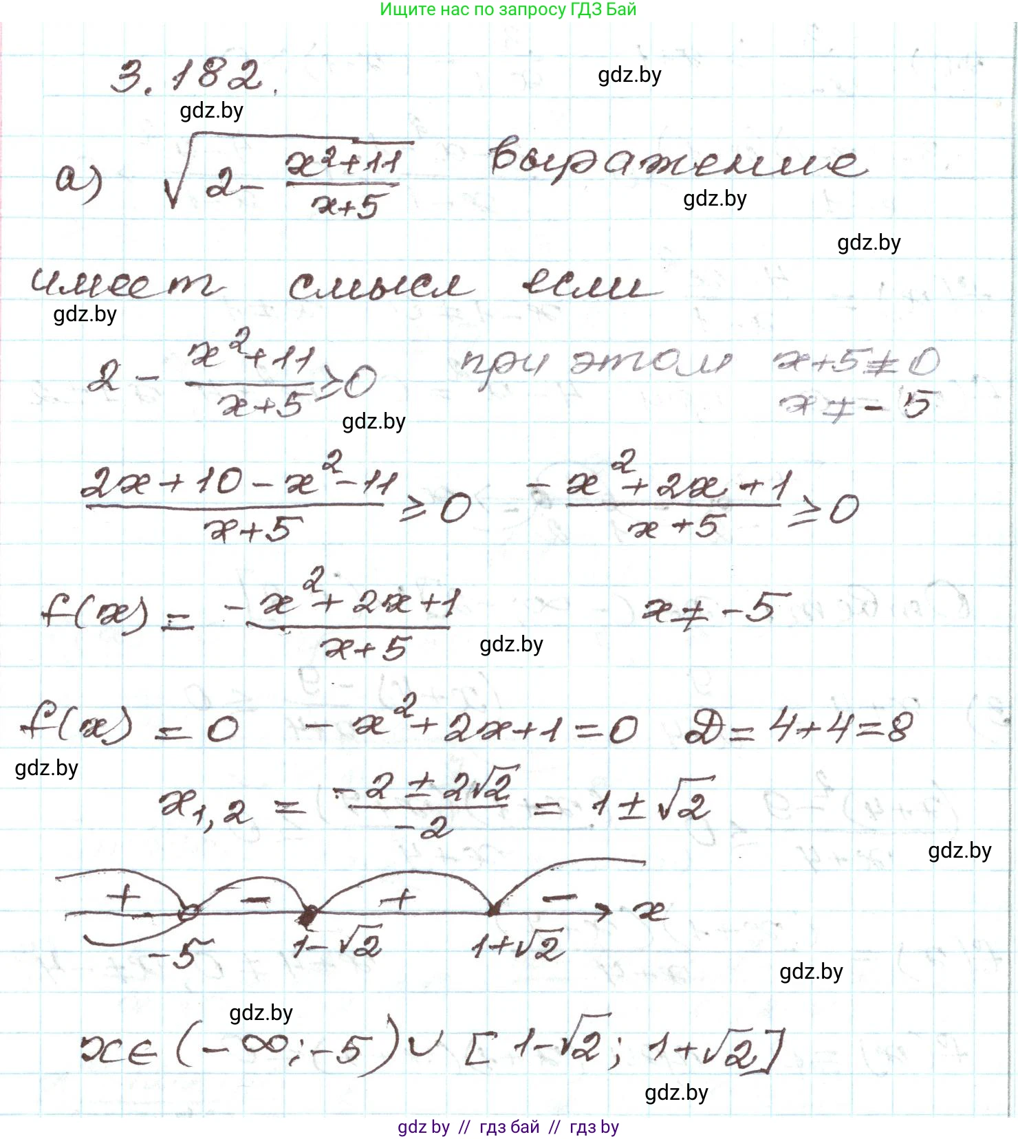
a) $\sqrt{2 - \frac{x^2 + 11}{x + 5}}$;

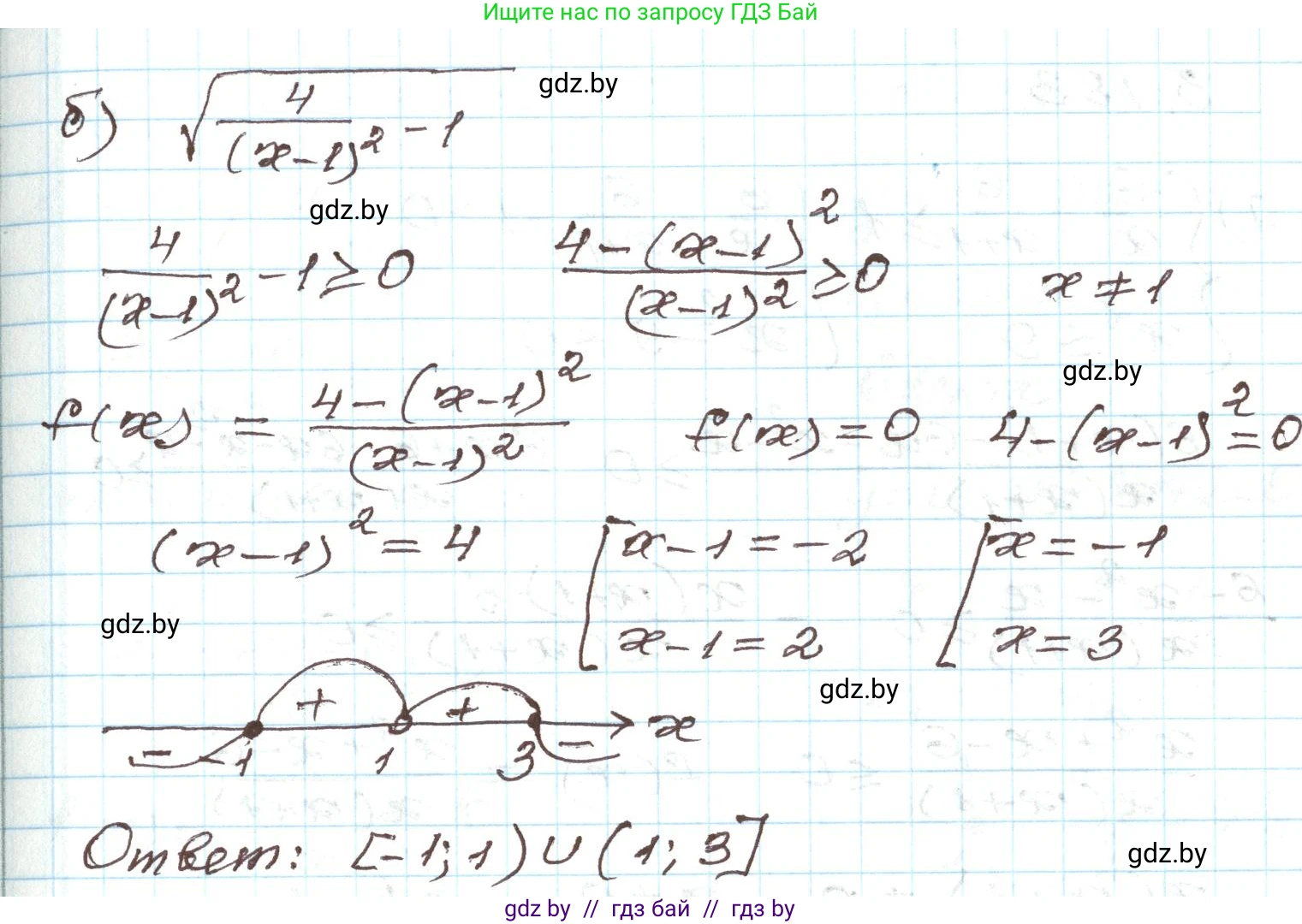
б) $\sqrt{\frac{4}{(x - 1)^2}} - 1$.

Решение. №3.182 (с. 195)
Алгебра, 9 класс Учебник, авторы: Арефьева Ирина Глебовна, Пирютко Ольга Николаевна, издательство Народная асвета, Минск, 2019, голубого цвета, страница 195, номер 3.182, Решение Алгебра, 9 класс Учебник, авторы: Арефьева Ирина Глебовна, Пирютко Ольга Николаевна, издательство Народная асвета, Минск, 2019, голубого цвета, страница 195, номер 3.182, Решение (продолжение 2)
Решение 2. №3.182 (с. 195)

а) Выражение имеет смысл, когда подкоренное выражение неотрицательно и знаменатель дроби не равен нулю. Это приводит к системе условий:

$$ \begin{cases} 2 - \frac{x^2 + 11}{x+5} \ge 0 \\ x+5 \ne 0 \end{cases} $$

Из второго условия следует, что $x \ne -5$.

Решим первое неравенство. Приведем левую часть к общему знаменателю:

$$ \frac{2(x+5) - (x^2 + 11)}{x+5} \ge 0 $$

$$ \frac{2x + 10 - x^2 - 11}{x+5} \ge 0 $$

$$ \frac{-x^2 + 2x - 1}{x+5} \ge 0 $$

Умножим обе части неравенства на -1, изменив знак неравенства на противоположный:

$$ \frac{x^2 - 2x + 1}{x+5} \le 0 $$

Числитель представляет собой полный квадрат: $x^2 - 2x + 1 = (x-1)^2$. Неравенство принимает вид:

$$ \frac{(x-1)^2}{x+5} \le 0 $$

Числитель $(x-1)^2$ всегда больше или равен нулю. Поэтому данное неравенство выполняется в двух случаях:

  1. Дробь равна нулю. Это возможно, если числитель равен нулю, а знаменатель не равен нулю.
    $(x-1)^2 = 0 \implies x = 1$. При $x=1$ знаменатель $1+5 = 6 \ne 0$. Значит, $x=1$ является решением.
  2. Дробь меньше нуля. Так как числитель $(x-1)^2$ не может быть отрицательным (он положителен при $x \ne 1$), дробь будет отрицательной только если знаменатель отрицателен.
    $x+5 < 0 \implies x < -5$.

Объединяя оба случая, получаем все значения переменной, при которых выражение имеет смысл.

Ответ: $x \in (-\infty; -5) \cup \{1\}$.

б) Выражение имеет смысл, когда подкоренное выражение неотрицательно. Также знаменатель дроби внутри корня не должен быть равен нулю.

$$ \begin{cases} \frac{4}{(x-1)^2} - 1 \ge 0 \\ (x-1)^2 \ne 0 \end{cases} $$

Из второго условия следует, что $x-1 \ne 0$, то есть $x \ne 1$.

Решим первое неравенство. Приведем левую часть к общему знаменателю:

$$ \frac{4 - (x-1)^2}{(x-1)^2} \ge 0 $$

Разложим числитель на множители, используя формулу разности квадратов $a^2-b^2 = (a-b)(a+b)$:

$$ \frac{(2 - (x-1))(2 + (x-1))}{(x-1)^2} \ge 0 $$

$$ \frac{(2 - x + 1)(2 + x - 1)}{(x-1)^2} \ge 0 $$

$$ \frac{(3 - x)(x + 1)}{(x-1)^2} \ge 0 $$

Решим данное неравенство методом интервалов. Найдем нули числителя и знаменателя:

  • Нули числителя: $3-x=0 \implies x=3$; $x+1=0 \implies x=-1$.
  • Нуль знаменателя: $x-1=0 \implies x=1$ (корень четной кратности).

Отметим точки -1, 1, 3 на числовой оси. Точки -1 и 3 включаем в решение (неравенство нестрогое), а точку 1 исключаем (знаменатель). Так как знаменатель $(x-1)^2$ всегда положителен при $x \ne 1$, знак дроби зависит только от знака произведения в числителе $(3-x)(x+1)$. График функции $y=(3-x)(x+1)$ — парабола с ветвями, направленными вниз, которая положительна между своими корнями $x=-1$ и $x=3$.

Таким образом, решение неравенства — это интервал $[-1, 3]$. Учитывая ограничение $x \ne 1$, получаем итоговое множество.

Ответ: $x \in [-1; 1) \cup (1; 3]$.

Помогло решение? Оставьте отзыв в комментариях ниже.

Присоединяйтесь к Телеграм-группе @gdz_by_belarus

Присоединиться

Мы подготовили для вас ответ c подробным объяснением домашего задания по алгебре за 9 класс, для упражнения номер 3.182 расположенного на странице 195 к учебнику 2019 года издания для учащихся школ и гимназий.

Теперь на нашем сайте ГДЗ.ТОП вы всегда легко и бесплатно найдёте условие с правильным ответом на вопрос «Как решить ДЗ» и «Как сделать» задание по алгебре к упражнению №3.182 (с. 195), авторов: Арефьева (Ирина Глебовна), Пирютко (Ольга Николаевна), учебного пособия издательства Народная асвета.