Номер 3.175, страница 194 - гдз по алгебре 9 класс учебник Арефьева, Пирютко

Алгебра, 9 класс Учебник, авторы: Арефьева Ирина Глебовна, Пирютко Ольга Николаевна, издательство Народная асвета, Минск, 2019, голубого цвета

Авторы: Арефьева И. Г., Пирютко О. Н.

Тип: Учебник

Издательство: Народная асвета

Год издания: 2019 - 2026

Цвет обложки: голубой, синий с графиком

ISBN: 978-985-03-3077-2

Допущено Министерством образования Республики Беларусь

Популярные ГДЗ в 9 классе

Глава 3. Дробно-рациональные уравнения и неравенства. Параграф 13. Дробно-рациональные неравенства. Метод интервалов для решения рациональных неравенств - номер 3.175, страница 194.

№3.175 (с. 194)
Условие. №3.175 (с. 194)
скриншот условия
Алгебра, 9 класс Учебник, авторы: Арефьева Ирина Глебовна, Пирютко Ольга Николаевна, издательство Народная асвета, Минск, 2019, голубого цвета, страница 194, номер 3.175, Условие

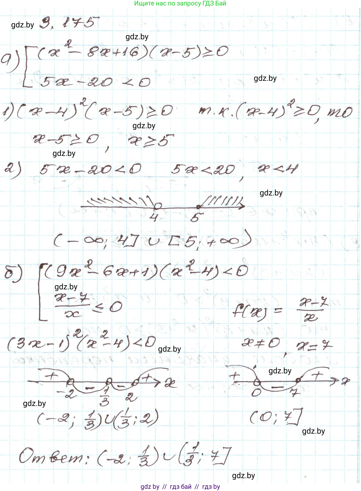
3.175. Решите совокупность неравенств:

а) $\left[ \begin{array}{l} (x^2 - 8x + 16)(x - 5) \ge 0, \\ 5x - 20 < 0; \end{array} \right.$ б) $\left[ \begin{array}{l} (9x^2 - 6x + 1)(x^2 - 4) < 0, \\ \frac{x - 7}{x} \le 0. \end{array} \right.$

Решение. №3.175 (с. 194)
Алгебра, 9 класс Учебник, авторы: Арефьева Ирина Глебовна, Пирютко Ольга Николаевна, издательство Народная асвета, Минск, 2019, голубого цвета, страница 194, номер 3.175, Решение
Решение 2. №3.175 (с. 194)

а) Решим совокупность неравенств:

$$ \left[ \begin{array}{l} (x^2-8x+16)(x-5) \ge 0, \\ 5x-20 < 0. \end{array} \right. $$

1. Решим первое неравенство: $(x^2-8x+16)(x-5) \ge 0$.

Заметим, что выражение $x^2-8x+16$ является полным квадратом: $x^2-8x+16 = (x-4)^2$.

Неравенство принимает вид:

$$ (x-4)^2(x-5) \ge 0 $$

Выражение $(x-4)^2$ всегда неотрицательно, то есть $(x-4)^2 \ge 0$ для любого $x$.

Рассмотрим два случая:

  • Если $(x-4)^2 = 0$, то есть $x=4$. Подставив в неравенство, получаем $0 \cdot (4-5) \ge 0$, что равно $0 \ge 0$. Это верное утверждение, значит $x=4$ является решением.
  • Если $(x-4)^2 > 0$, то есть $x \neq 4$. В этом случае можно разделить обе части неравенства на положительное число $(x-4)^2$, не меняя знака неравенства:

    $x-5 \ge 0 \implies x \ge 5$

Объединяя оба случая, получаем решение первого неравенства: $x=4$ или $x \ge 5$. В виде множества: $\{4\} \cup [5, +\infty)$.

2. Решим второе неравенство: $5x-20 < 0$.

$$ 5x < 20 $$

$$ x < 4 $$

Решение второго неравенства: $(-\infty, 4)$.

3. Решение совокупности является объединением решений каждого из неравенств. Объединим полученные множества:

$$ (\{4\} \cup [5, +\infty)) \cup (-\infty, 4) $$

Объединение множеств $(-\infty, 4)$ и $\{4\}$ дает интервал $(-\infty, 4]$.

Таким образом, итоговое решение совокупности: $(-\infty, 4] \cup [5, +\infty)$.

Ответ: $(-\infty, 4] \cup [5, +\infty)$.


б) Решим совокупность неравенств:

$$ \left[ \begin{array}{l} (9x^2-6x+1)(x^2-4) < 0, \\ \frac{x-7}{x} \le 0. \end{array} \right. $$

1. Решим первое неравенство: $(9x^2-6x+1)(x^2-4) < 0$.

Преобразуем множители: $9x^2-6x+1 = (3x-1)^2$ и $x^2-4 = (x-2)(x+2)$.

Неравенство принимает вид:

$$ (3x-1)^2(x-2)(x+2) < 0 $$

Применим метод интервалов. Корни левой части: $x = 1/3$ (корень кратности 2), $x=2$ и $x=-2$.

Так как неравенство строгое, все корни будут выколотыми точками. Расставим знаки на интервалах:

  • $(-\infty, -2)$: $x=-3 \implies (+)(-)(-) = +$
  • $(-2, 1/3)$: $x=0 \implies (+)(-)(+) = -$
  • $(1/3, 2)$: $x=1 \implies (+)(-)(+) = -$ (знак не меняется при переходе через корень четной кратности)
  • $(2, +\infty)$: $x=3 \implies (+)(+)(+) = +$

Неравенство выполняется на интервалах, где выражение отрицательно. Таким образом, решение первого неравенства: $(-2, 1/3) \cup (1/3, 2)$.

2. Решим второе неравенство: $\frac{x-7}{x} \le 0$.

Решим методом интервалов. Нуль числителя: $x=7$. Нуль знаменателя: $x=0$.

Отметим точки на числовой прямой: $x=7$ (закрашенная, так как неравенство нестрогое), $x=0$ (выколотая, так как знаменатель не равен нулю).

Определим знаки на интервалах:

  • $(-\infty, 0)$: $x=-1 \implies \frac{-}{-} = +$
  • $(0, 7)$: $x=1 \implies \frac{-}{+} = -$
  • $(7, +\infty)$: $x=8 \implies \frac{+}{+} = +$

Неравенство выполняется, где выражение меньше или равно нулю. Решение второго неравенства: $(0, 7]$.

3. Найдем решение совокупности, объединив решения обоих неравенств:

$$ ((-2, 1/3) \cup (1/3, 2)) \cup (0, 7] $$

Первое множество — это интервал от -2 до 2 с выколотой точкой $1/3$. Второе множество — полуинтервал от 0 (не включая) до 7 (включая).

При объединении этих множеств:

  • Интервал $(-2, 2)$ из первого решения и интервал $(0, 7]$ из второго частично перекрываются.
  • "Выколотая" точка $x=1/3$ из первого решения входит во второе множество (так как $0 < 1/3 \le 7$), поэтому в объединении она будет присутствовать.

Объединив интервалы $(-2, 2)$ и $(0, 7]$, мы получим один непрерывный интервал, который начинается в точке -2 (не включая) и заканчивается в точке 7 (включая).

Итоговое решение: $(-2, 7]$.

Ответ: $(-2, 7]$.

Помогло решение? Оставьте отзыв в комментариях ниже.

Присоединяйтесь к Телеграм-группе @gdz_by_belarus

Присоединиться

Мы подготовили для вас ответ c подробным объяснением домашего задания по алгебре за 9 класс, для упражнения номер 3.175 расположенного на странице 194 к учебнику 2019 года издания для учащихся школ и гимназий.

Теперь на нашем сайте ГДЗ.ТОП вы всегда легко и бесплатно найдёте условие с правильным ответом на вопрос «Как решить ДЗ» и «Как сделать» задание по алгебре к упражнению №3.175 (с. 194), авторов: Арефьева (Ирина Глебовна), Пирютко (Ольга Николаевна), учебного пособия издательства Народная асвета.