Номер 3.170, страница 193 - гдз по алгебре 9 класс учебник Арефьева, Пирютко

Алгебра, 9 класс Учебник, авторы: Арефьева Ирина Глебовна, Пирютко Ольга Николаевна, издательство Народная асвета, Минск, 2019, голубого цвета

Авторы: Арефьева И. Г., Пирютко О. Н.

Тип: Учебник

Издательство: Народная асвета

Год издания: 2019 - 2026

Цвет обложки: голубой, синий с графиком

ISBN: 978-985-03-3077-2

Допущено Министерством образования Республики Беларусь

Популярные ГДЗ в 9 классе

Глава 3. Дробно-рациональные уравнения и неравенства. Параграф 13. Дробно-рациональные неравенства. Метод интервалов для решения рациональных неравенств - номер 3.170, страница 193.

№3.170 (с. 193)
Условие. №3.170 (с. 193)
скриншот условия
Алгебра, 9 класс Учебник, авторы: Арефьева Ирина Глебовна, Пирютко Ольга Николаевна, издательство Народная асвета, Минск, 2019, голубого цвета, страница 193, номер 3.170, Условие

3.170. Решите неравенство:

a) $(x-3)^2(x+2) \le 0;

б) $x^2(x-7) < 0;

в) $(x-10)(x-5)^2(x+3) \ge 0;

г) $(2x+9)(2-x)(x-1)^2 \ge 0.

Решение. №3.170 (с. 193)
Алгебра, 9 класс Учебник, авторы: Арефьева Ирина Глебовна, Пирютко Ольга Николаевна, издательство Народная асвета, Минск, 2019, голубого цвета, страница 193, номер 3.170, Решение Алгебра, 9 класс Учебник, авторы: Арефьева Ирина Глебовна, Пирютко Ольга Николаевна, издательство Народная асвета, Минск, 2019, голубого цвета, страница 193, номер 3.170, Решение (продолжение 2)
Решение 2. №3.170 (с. 193)

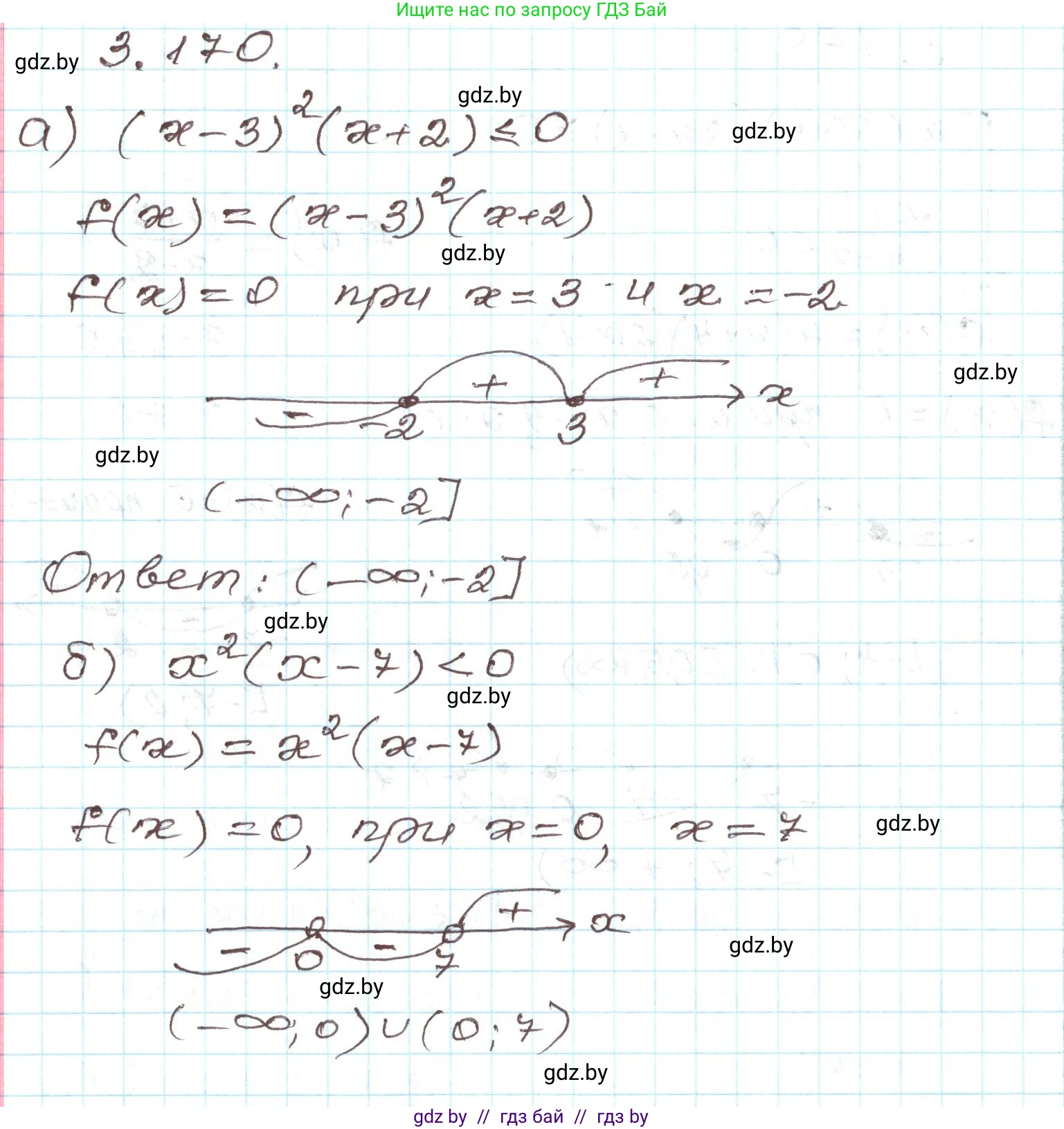
а) Решим неравенство $(x-3)^2(x+2) \le 0$.

Для решения этого неравенства воспользуемся методом интервалов. Сначала найдем корни выражения, приравняв его к нулю:

$(x-3)^2(x+2) = 0$

Корнями являются $x=3$ и $x=-2$.

Множитель $(x-3)^2$ всегда неотрицателен (то есть $(x-3)^2 \ge 0$ при любом $x$). Это означает, что он не влияет на знак произведения, за исключением точки $x=3$, где он обращает всё выражение в ноль. Такие корни (четной кратности) при методе интервалов не меняют знак функции при переходе через них.

Таким образом, знак всего левого выражения зависит только от знака множителя $(x+2)$.

Неравенство $(x-3)^2(x+2) \le 0$ выполняется, если:

  1. Выражение равно нулю. Это происходит в корнях $x=3$ и $x=-2$.
  2. Выражение меньше нуля. Поскольку $(x-3)^2 > 0$ при $x \ne 3$, это эквивалентно условию $x+2 < 0$, что дает $x < -2$.

Объединяя эти условия, получаем, что решением является интервал $(-\infty, -2]$, который включает корень $x=-2$, и отдельная точка $x=3$.

Ответ: $x \in (-\infty; -2] \cup \{3\}$.

б) Решим неравенство $x^2(x-7) < 0$.

Найдем корни, приравняв левую часть к нулю: $x^2(x-7)=0$. Корни: $x=0$ и $x=7$.

Неравенство является строгим ($<0$), поэтому точки, в которых выражение равно нулю, не входят в решение. То есть $x \ne 0$ и $x \ne 7$.

Множитель $x^2$ всегда положителен при $x \ne 0$. Следовательно, мы можем разделить обе части неравенства на $x^2$, сохранив знак неравенства, при условии, что $x \ne 0$:

$x-7 < 0$

$x < 7$

Совмещая это решение с условием $x \ne 0$, получаем объединение двух интервалов.

Ответ: $x \in (-\infty; 0) \cup (0; 7)$.

в) Решим неравенство $(x-10)(x-5)^2(x+3) \ge 0$.

Используем метод интервалов. Корни левой части: $x=10$, $x=5$, $x=-3$.

Отметим эти корни на числовой прямой. Корень $x=5$ имеет четную кратность (2), поэтому при переходе через эту точку знак выражения не меняется. Корни $x=10$ и $x=-3$ имеют нечетную кратность (1), знак при переходе через них меняется.

Определим знак выражения на самом правом интервале $(10; \infty)$. Возьмем пробную точку $x=11$:

$(11-10)(11-5)^2(11+3) = 1 \cdot 6^2 \cdot 14 > 0$. Знак «+».

Расставим знаки на остальных интервалах, двигаясь справа налево:

  • $(10; \infty)$: +
  • $(5; 10)$: - (знак меняется в точке $x=10$)
  • $(-3; 5)$: - (знак не меняется в точке $x=5$)
  • $(-\infty; -3)$: + (знак меняется в точке $x=-3$)

Нам нужны промежутки, где выражение больше или равно нулю ($\ge 0$). Это промежутки со знаком «+», а также все точки, где выражение равно нулю.

Решением являются интервалы $(-\infty; -3]$ и $[10; \infty)$, а также изолированная точка $x=5$, в которой выражение равно нулю.

Ответ: $x \in (-\infty; -3] \cup \{5\} \cup [10; \infty)$.

г) Решим неравенство $(2x+9)(2-x)(x-1)^2 \ge 0$.

Для удобства приведем неравенство к стандартному виду, где коэффициенты при $x$ во всех множителях положительны. Вынесем $-1$ из скобки $(2-x)$:

$(2x+9)(-(x-2))(x-1)^2 \ge 0$

$-(2x+9)(x-2)(x-1)^2 \ge 0$

Умножим обе части неравенства на $-1$ и изменим знак неравенства на противоположный:

$(2x+9)(x-2)(x-1)^2 \le 0$

Решим полученное неравенство методом интервалов. Корни левой части:

  • $2x+9=0 \implies x = -9/2$
  • $x-2=0 \implies x=2$
  • $x-1=0 \implies x=1$

Корень $x=1$ имеет четную кратность (2), а корни $x=-9/2$ и $x=2$ — нечетную (1).

Определим знаки выражения $(2x+9)(x-2)(x-1)^2$ на интервалах. Начнем с крайнего правого:

  • $(2; \infty)$: +
  • $(1; 2)$: - (знак меняется в точке $x=2$)
  • $(-9/2; 1)$: - (знак не меняется в точке $x=1$)
  • $(-\infty; -9/2)$: + (знак меняется в точке $x=-9/2$)

Нам нужны промежутки, где выражение меньше или равно нулю ($\le 0$). Это промежутки со знаком «-» и точки, где выражение равно нулю.

Интервалы со знаком «-» это $(-9/2, 1)$ и $(1, 2)$. Точки, где выражение равно нулю, это $x=-9/2$, $x=1$, $x=2$. Объединяя эти интервалы и точки, получаем один сплошной отрезок.

Выделим целую часть из дроби: $-9/2 = -4\frac{1}{2}$.

Ответ: $x \in [-4\frac{1}{2}; 2]$.

Помогло решение? Оставьте отзыв в комментариях ниже.

Присоединяйтесь к Телеграм-группе @gdz_by_belarus

Присоединиться

Мы подготовили для вас ответ c подробным объяснением домашего задания по алгебре за 9 класс, для упражнения номер 3.170 расположенного на странице 193 к учебнику 2019 года издания для учащихся школ и гимназий.

Теперь на нашем сайте ГДЗ.ТОП вы всегда легко и бесплатно найдёте условие с правильным ответом на вопрос «Как решить ДЗ» и «Как сделать» задание по алгебре к упражнению №3.170 (с. 193), авторов: Арефьева (Ирина Глебовна), Пирютко (Ольга Николаевна), учебного пособия издательства Народная асвета.