Номер 3.169, страница 193 - гдз по алгебре 9 класс учебник Арефьева, Пирютко

Алгебра, 9 класс Учебник, авторы: Арефьева Ирина Глебовна, Пирютко Ольга Николаевна, издательство Народная асвета, Минск, 2019, голубого цвета

Авторы: Арефьева И. Г., Пирютко О. Н.

Тип: Учебник

Издательство: Народная асвета

Год издания: 2019 - 2026

Цвет обложки: голубой, синий с графиком

ISBN: 978-985-03-3077-2

Допущено Министерством образования Республики Беларусь

Популярные ГДЗ в 9 классе

Глава 3. Дробно-рациональные уравнения и неравенства. Параграф 13. Дробно-рациональные неравенства. Метод интервалов для решения рациональных неравенств - номер 3.169, страница 193.

№3.169 (с. 193)
Условие. №3.169 (с. 193)
скриншот условия
Алгебра, 9 класс Учебник, авторы: Арефьева Ирина Глебовна, Пирютко Ольга Николаевна, издательство Народная асвета, Минск, 2019, голубого цвета, страница 193, номер 3.169, Условие

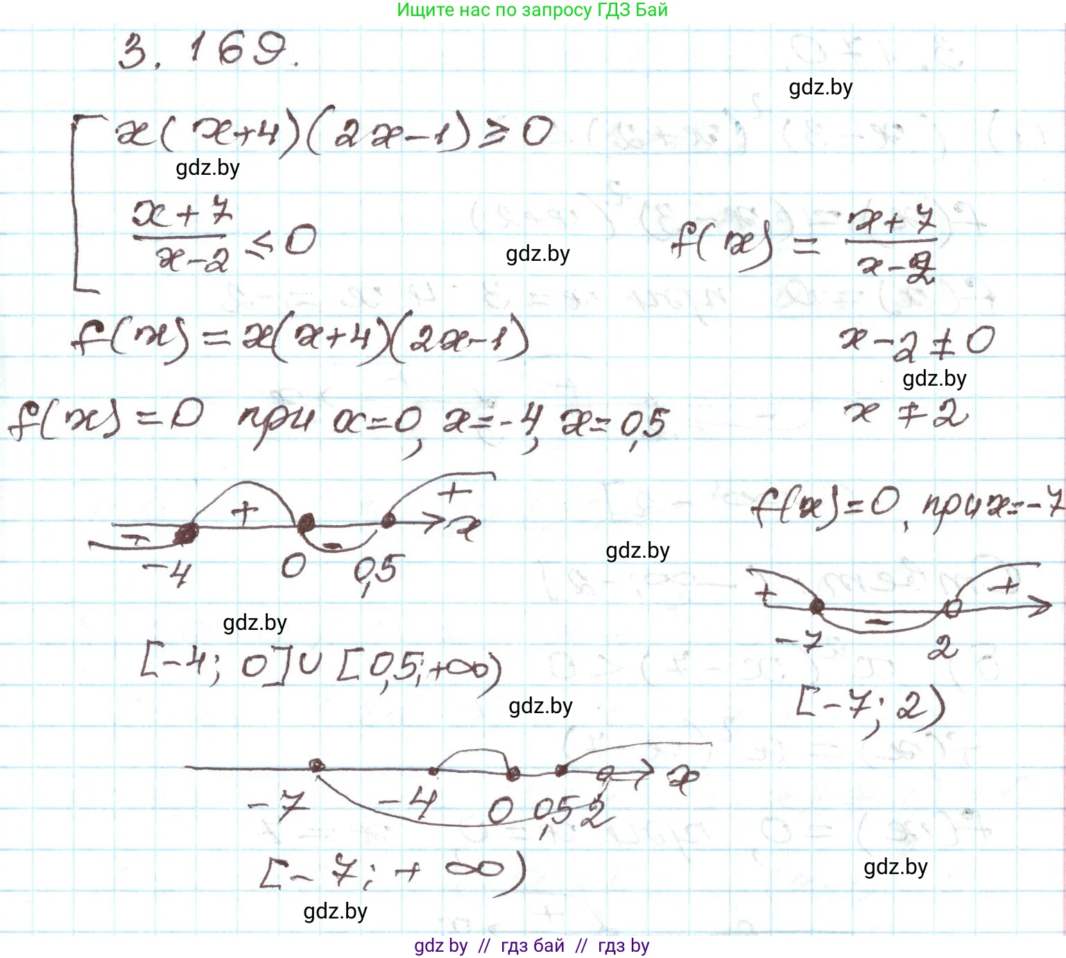
3.169. Используя метод интервалов, решите совокупность

неравенств

$$\left\{ \begin{array}{l} x(x+4)(2x-1) \ge 0, \\ \frac{x+7}{x-2} \le 0. \end{array} \right.$$

Решение. №3.169 (с. 193)
Алгебра, 9 класс Учебник, авторы: Арефьева Ирина Глебовна, Пирютко Ольга Николаевна, издательство Народная асвета, Минск, 2019, голубого цвета, страница 193, номер 3.169, Решение
Решение 2. №3.169 (с. 193)

Для решения совокупности неравенств необходимо решить каждое неравенство по отдельности методом интервалов, а затем объединить полученные множества решений.

1. Решим первое неравенство: $x(x + 4)(2x - 1) \ge 0$

Сначала найдем корни соответствующего уравнения $x(x + 4)(2x - 1) = 0$.

Произведение равно нулю, когда хотя бы один из множителей равен нулю:

  • $x = 0$
  • $x + 4 = 0 \implies x = -4$
  • $2x - 1 = 0 \implies 2x = 1 \implies x = \frac{1}{2}$

Отметим найденные корни ($-4$, $0$, $\frac{1}{2}$) на числовой оси. Так как неравенство нестрогое ($\ge$), все точки являются частью решения и отмечаются как закрашенные.

Эти точки разбивают числовую ось на четыре интервала. Определим знак выражения в каждом интервале. Все корни имеют нечетную кратность (1), поэтому знаки будут чередоваться.

  • Интервал $(\frac{1}{2}, +\infty)$: возьмем $x=1$. $1(1+4)(2\cdot1-1) = 5 > 0$. Знак "+".
  • Интервал $(0, \frac{1}{2})$: знак "-".
  • Интервал $(-4, 0)$: знак "+".
  • Интервал $(-\infty, -4)$: знак "-".

Выбираем интервалы со знаком "+", так как мы решаем неравенство $\ge 0$. Включаем также и сами корни.

Решение первого неравенства: $x \in [-4, 0] \cup [\frac{1}{2}, +\infty)$.

2. Решим второе неравенство: $\frac{x + 7}{x - 2} \le 0$

Найдем нули числителя и знаменателя.

  • Нуль числителя: $x + 7 = 0 \implies x = -7$. Эта точка включается в решение, так как неравенство нестрогое ($\le$).
  • Нуль знаменателя: $x - 2 = 0 \implies x = 2$. Эта точка исключается из решения, так как на ноль делить нельзя.

Отметим точки $-7$ (закрашенная) и $2$ (выколотая) на числовой оси. Они разбивают ось на три интервала. Определим знаки дроби в каждом из них.

  • Интервал $(2, +\infty)$: возьмем $x=3$. $\frac{3+7}{3-2} = 10 > 0$. Знак "+".
  • Интервал $(-7, 2)$: знак "-".
  • Интервал $(-\infty, -7)$: знак "+".

Выбираем интервал со знаком "-", так как мы решаем неравенство $\le 0$. Включаем нуль числителя.

Решение второго неравенства: $x \in [-7, 2)$.

3. Объединение решений

Решением совокупности является объединение решений обоих неравенств.

Решение 1: $S_1 = [-4, 0] \cup [\frac{1}{2}, +\infty)$

Решение 2: $S_2 = [-7, 2)$

Найдем объединение $S_1 \cup S_2$.

Множество $S_2$ представляет собой интервал от $-7$ (включительно) до $2$ (не включительно). Множество $S_1$ состоит из отрезка $[-4, 0]$ и луча $[\frac{1}{2}, +\infty)$.

Объединяя эти множества, мы покрываем все числа от $-7$ до $+\infty$ без разрывов. Точка $2$, которая не входит в $S_2$, входит в $S_1$ (так как $2 > \frac{1}{2}$).

Таким образом, объединение решений: $[-7, +\infty)$.

Ответ: $x \in [-7; +\infty)$.

Помогло решение? Оставьте отзыв в комментариях ниже.

Присоединяйтесь к Телеграм-группе @gdz_by_belarus

Присоединиться

Мы подготовили для вас ответ c подробным объяснением домашего задания по алгебре за 9 класс, для упражнения номер 3.169 расположенного на странице 193 к учебнику 2019 года издания для учащихся школ и гимназий.

Теперь на нашем сайте ГДЗ.ТОП вы всегда легко и бесплатно найдёте условие с правильным ответом на вопрос «Как решить ДЗ» и «Как сделать» задание по алгебре к упражнению №3.169 (с. 193), авторов: Арефьева (Ирина Глебовна), Пирютко (Ольга Николаевна), учебного пособия издательства Народная асвета.