Номер 3.171, страница 193 - гдз по алгебре 9 класс учебник Арефьева, Пирютко

Алгебра, 9 класс Учебник, авторы: Арефьева Ирина Глебовна, Пирютко Ольга Николаевна, издательство Народная асвета, Минск, 2019, голубого цвета

Авторы: Арефьева И. Г., Пирютко О. Н.

Тип: Учебник

Издательство: Народная асвета

Год издания: 2019 - 2026

Цвет обложки: голубой, синий с графиком

ISBN: 978-985-03-3077-2

Допущено Министерством образования Республики Беларусь

Популярные ГДЗ в 9 классе

Глава 3. Дробно-рациональные уравнения и неравенства. Параграф 13. Дробно-рациональные неравенства. Метод интервалов для решения рациональных неравенств - номер 3.171, страница 193.

№3.171 (с. 193)
Условие. №3.171 (с. 193)
скриншот условия
Алгебра, 9 класс Учебник, авторы: Арефьева Ирина Глебовна, Пирютко Ольга Николаевна, издательство Народная асвета, Минск, 2019, голубого цвета, страница 193, номер 3.171, Условие

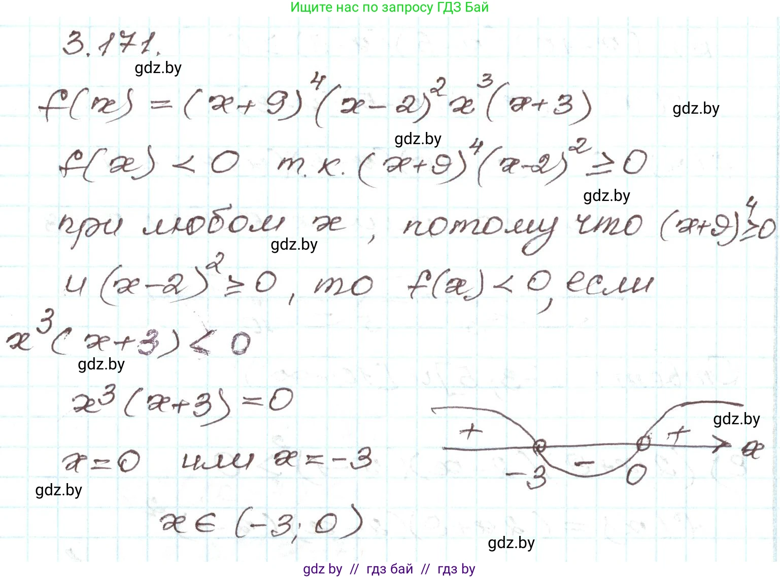
3.171. Проанализируйте условие и найдите все значения аргумента, при которых график функции

$f(x) = (x + 9)^{4}(x - 2)^{2}x^{3}(x + 3)$

расположен ниже оси абсцисс.

Решение. №3.171 (с. 193)
Алгебра, 9 класс Учебник, авторы: Арефьева Ирина Глебовна, Пирютко Ольга Николаевна, издательство Народная асвета, Минск, 2019, голубого цвета, страница 193, номер 3.171, Решение
Решение 2. №3.171 (с. 193)

Для того чтобы найти все значения аргумента, при которых график функции расположен ниже оси абсцисс, необходимо решить неравенство $f(x) < 0$.

Заданная функция: $f(x) = (x + 9)^4(x - 2)^2x^3(x + 3)$.

Таким образом, решаем неравенство:

$(x + 9)^4(x - 2)^2x^3(x + 3) < 0$

Для решения данного неравенства применим метод интервалов.

1. Нахождение нулей функции.

Нули функции — это значения $x$, при которых $f(x) = 0$. Приравняем каждый множитель к нулю, чтобы найти эти точки и определить их кратность (степень, в которой стоит соответствующий множитель).

  • $x + 9 = 0 \implies x_1 = -9$. Кратность корня равна 4 (четная).
  • $x - 2 = 0 \implies x_2 = 2$. Кратность корня равна 2 (четная).
  • $x = 0 \implies x_3 = 0$. Кратность корня равна 3 (нечетная).
  • $x + 3 = 0 \implies x_4 = -3$. Кратность корня равна 1 (нечетная).

2. Анализ знаков функции на числовой оси.

Отметим найденные нули на числовой оси в порядке возрастания: -9, -3, 0, 2. Эти точки разбивают ось на пять интервалов: $(-\infty, -9)$, $(-9, -3)$, $(-3, 0)$, $(0, 2)$, $(2, +\infty)$.

Определим знак функции на самом правом интервале $(2, +\infty)$, взяв любую пробную точку, например, $x = 10$.

$f(10) = (10 + 9)^4(10 - 2)^2(10)^3(10 + 3) = 19^4 \cdot 8^2 \cdot 10^3 \cdot 13$.

Все множители положительны, следовательно, на интервале $(2, +\infty)$ функция $f(x)$ имеет знак «+».

Далее, двигаясь справа налево по числовой оси, определим знаки в остальных интервалах, учитывая кратность корней:

  • При переходе через корень $x = 2$ (кратность 2, четная) знак функции не меняется. Таким образом, в интервале $(0, 2)$ знак «+».
  • При переходе через корень $x = 0$ (кратность 3, нечетная) знак функции меняется на противоположный. Таким образом, в интервале $(-3, 0)$ знак «-».
  • При переходе через корень $x = -3$ (кратность 1, нечетная) знак функции меняется. Таким образом, в интервале $(-9, -3)$ знак «+».
  • При переходе через корень $x = -9$ (кратность 4, четная) знак функции не меняется. Таким образом, в интервале $(-\infty, -9)$ знак «+».

Схематично это можно изобразить так:

-9 + -3 + 0 - 2 + +

3. Выбор решения.

Нас интересуют значения аргумента, при которых $f(x) < 0$, то есть интервал, где стоит знак «-».

Из анализа знаков следует, что функция отрицательна на интервале $(-3, 0)$.

Ответ: График функции расположен ниже оси абсцисс при $x \in (-3, 0)$.

Помогло решение? Оставьте отзыв в комментариях ниже.

Присоединяйтесь к Телеграм-группе @gdz_by_belarus

Присоединиться

Мы подготовили для вас ответ c подробным объяснением домашего задания по алгебре за 9 класс, для упражнения номер 3.171 расположенного на странице 193 к учебнику 2019 года издания для учащихся школ и гимназий.

Теперь на нашем сайте ГДЗ.ТОП вы всегда легко и бесплатно найдёте условие с правильным ответом на вопрос «Как решить ДЗ» и «Как сделать» задание по алгебре к упражнению №3.171 (с. 193), авторов: Арефьева (Ирина Глебовна), Пирютко (Ольга Николаевна), учебного пособия издательства Народная асвета.