Номер 3.178, страница 194 - гдз по алгебре 9 класс учебник Арефьева, Пирютко

Алгебра, 9 класс Учебник, авторы: Арефьева Ирина Глебовна, Пирютко Ольга Николаевна, издательство Народная асвета, Минск, 2019, голубого цвета

Авторы: Арефьева И. Г., Пирютко О. Н.

Тип: Учебник

Издательство: Народная асвета

Год издания: 2019 - 2026

Цвет обложки: голубой, синий с графиком

ISBN: 978-985-03-3077-2

Допущено Министерством образования Республики Беларусь

Популярные ГДЗ в 9 классе

Глава 3. Дробно-рациональные уравнения и неравенства. Параграф 13. Дробно-рациональные неравенства. Метод интервалов для решения рациональных неравенств - номер 3.178, страница 194.

№3.178 (с. 194)
Условие. №3.178 (с. 194)
скриншот условия
Алгебра, 9 класс Учебник, авторы: Арефьева Ирина Глебовна, Пирютко Ольга Николаевна, издательство Народная асвета, Минск, 2019, голубого цвета, страница 194, номер 3.178, Условие Алгебра, 9 класс Учебник, авторы: Арефьева Ирина Глебовна, Пирютко Ольга Николаевна, издательство Народная асвета, Минск, 2019, голубого цвета, страница 194, номер 3.178, Условие (продолжение 2)

3.178. Найдите область определения функции:

а) $y = \sqrt{(x^2 - 4x + 3)(x - 2)};$

б) $y = \sqrt{(x^2 + 6x + 5)(1 - x^2)};$

в) $y = \sqrt{\frac{2 - x - x^2}{2x + 3}};$

г) $y = \sqrt{\frac{x^2 - 6x + 8}{x^2 - 11x + 28}}.$

Решение. №3.178 (с. 194)
Алгебра, 9 класс Учебник, авторы: Арефьева Ирина Глебовна, Пирютко Ольга Николаевна, издательство Народная асвета, Минск, 2019, голубого цвета, страница 194, номер 3.178, Решение Алгебра, 9 класс Учебник, авторы: Арефьева Ирина Глебовна, Пирютко Ольга Николаевна, издательство Народная асвета, Минск, 2019, голубого цвета, страница 194, номер 3.178, Решение (продолжение 2)
Решение 2. №3.178 (с. 194)

а) $y = \sqrt{(x^2 - 4x + 3)(x - 2)}$

Область определения функции задается условием, что выражение под знаком квадратного корня должно быть неотрицательным:

$(x^2 - 4x + 3)(x - 2) \ge 0$

Сначала разложим на множители квадратный трехчлен $x^2 - 4x + 3$. Найдем его корни, решив уравнение $x^2 - 4x + 3 = 0$. По теореме Виета, сумма корней равна 4, а произведение равно 3. Следовательно, корни равны $x_1 = 1$ и $x_2 = 3$.

Тогда $x^2 - 4x + 3 = (x - 1)(x - 3)$.

Неравенство принимает вид:

$(x - 1)(x - 3)(x - 2) \ge 0$

Решим это неравенство методом интервалов. Корни многочлена: 1, 2, 3. Отметим эти точки на числовой оси и определим знаки выражения в каждом интервале.

  • При $x > 3$: $(+)(+)(+) > 0$. Знак "+".
  • При $2 < x < 3$: $(+)(-)(+) < 0$. Знак "-".
  • При $1 < x < 2$: $(+)(-)(-) > 0$. Знак "+".
  • При $x < 1$: $(-)(-)(-) < 0$. Знак "-".

Нам нужны интервалы, где выражение больше или равно нулю. Это объединение промежутков $[1, 2]$ и $[3, +\infty)$.

Ответ: $x \in [1, 2] \cup [3, +\infty)$.

б) $y = \sqrt{(x^2 + 6x + 5)(1 - x^2)}$

Область определения функции задается условием:

$(x^2 + 6x + 5)(1 - x^2) \ge 0$

Разложим на множители каждый сомножитель.

Для $x^2 + 6x + 5=0$, по теореме Виета, корни $x_1 = -1$, $x_2 = -5$. Значит, $x^2 + 6x + 5 = (x + 1)(x + 5)$.

Для $1 - x^2$, используя формулу разности квадратов, получаем $1 - x^2 = (1 - x)(1 + x)$.

Подставляем разложения в неравенство:

$(x + 1)(x + 5)(1 - x)(1 + x) \ge 0$

$(x + 5)(x + 1)^2(1 - x) \ge 0$

Решим методом интервалов. Корни: -5, -1 (кратность 2), 1.

  • При $x > 1$: $(+)(+)(-) < 0$. Знак "-".
  • При $-1 < x < 1$: $(+)(+)(+) > 0$. Знак "+".
  • При $-5 < x < -1$: $(+)(+)(+) > 0$. Знак "+". (Знак не меняется при переходе через корень четной кратности $x=-1$).
  • При $x < -5$: $(-)(+)(+) < 0$. Знак "-".

Выражение больше или равно нулю на промежутке $[-5, 1]$. Точки -5, -1, 1 включаются, так как неравенство нестрогое.

Ответ: $x \in [-5, 1]$.

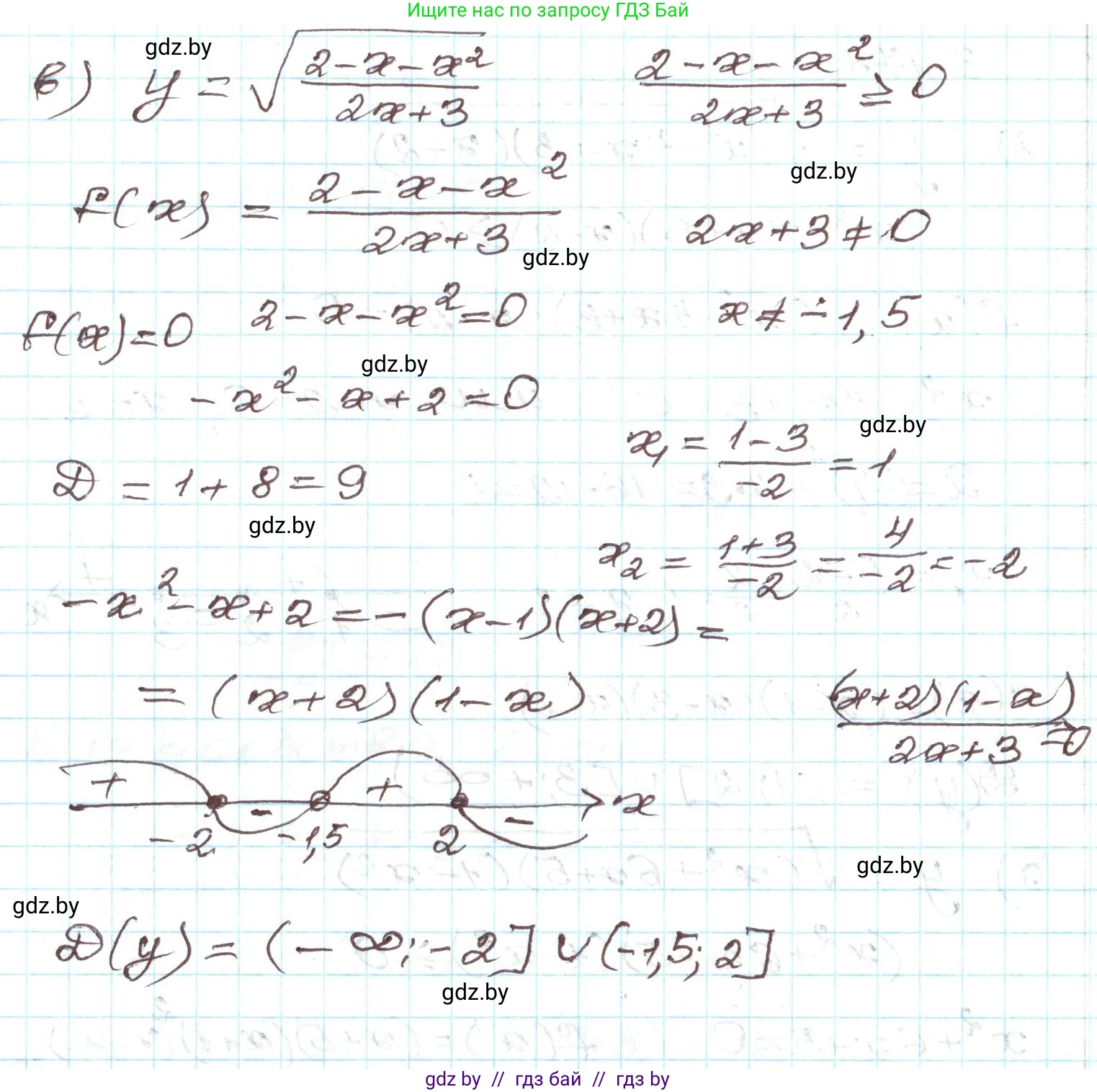
в) $y = \sqrt{\frac{2 - x - x^2}{2x + 3}}$

Область определения функции задается системой условий:

$\begin{cases} \frac{2 - x - x^2}{2x + 3} \ge 0 \\ 2x + 3 \neq 0 \end{cases}$

Решим неравенство $\frac{2 - x - x^2}{2x + 3} \ge 0$. Разложим числитель на множители. $2 - x - x^2 = -(x^2 + x - 2)$. Корни $x^2 + x - 2 = 0$ это $x_1 = 1$ и $x_2 = -2$.

Значит, $2 - x - x^2 = -(x - 1)(x + 2) = (1 - x)(x + 2)$.

Неравенство принимает вид: $\frac{(1 - x)(x + 2)}{2x + 3} \ge 0$.

Используем метод интервалов. Нули числителя: $x=1, x=-2$. Нуль знаменателя: $x = -3/2$.

Отметим точки -2, $-1\frac{1}{2}$, 1 на числовой оси и определим знаки дроби в интервалах.

  • При $x > 1$: $\frac{(-)(+)}{(+)} < 0$. Знак "-".
  • При $-1\frac{1}{2} < x < 1$: $\frac{(+)(+)}{(+)} > 0$. Знак "+".
  • При $-2 < x < -1\frac{1}{2}$: $\frac{(+)(+)}{(-)} < 0$. Знак "-".
  • При $x < -2$: $\frac{(+)(-)}{(-)} > 0$. Знак "+".

Дробь больше или равна нулю при $x \in (-\infty, -2] \cup (-1\frac{1}{2}, 1]$. Точка $x=-2$ включается, так как числитель равен нулю. Точка $x=1$ включается. Точка $x=-1\frac{1}{2}$ исключается, так как знаменатель обращается в ноль.

Ответ: $x \in (-\infty, -2] \cup (-1\frac{1}{2}, 1]$.

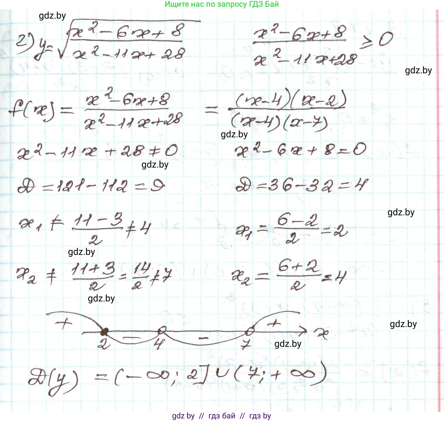
г) $y = \sqrt{\frac{x^2 - 6x + 8}{x^2 - 11x + 28}}$

Область определения функции задается системой условий:

$\begin{cases} \frac{x^2 - 6x + 8}{x^2 - 11x + 28} \ge 0 \\ x^2 - 11x + 28 \neq 0 \end{cases}$

Разложим числитель и знаменатель на множители.

Числитель: $x^2 - 6x + 8 = 0$. Корни $x_1 = 2, x_2 = 4$. Так что $x^2 - 6x + 8 = (x - 2)(x - 4)$.

Знаменатель: $x^2 - 11x + 28 = 0$. Корни $x_1 = 4, x_2 = 7$. Так что $x^2 - 11x + 28 = (x - 4)(x - 7)$.

Неравенство принимает вид: $\frac{(x - 2)(x - 4)}{(x - 4)(x - 7)} \ge 0$.

Из условия $x^2 - 11x + 28 \neq 0$ следует, что $x \neq 4$ и $x \neq 7$.

При $x \neq 4$ мы можем сократить дробь на $(x-4)$:

$\frac{x - 2}{x - 7} \ge 0$

Решим это неравенство методом интервалов. Нули: $x=2$ и $x=7$.

  • При $x > 7$: $\frac{(+)}{(+)} > 0$. Знак "+".
  • При $2 < x < 7$: $\frac{(+)}{(-)} < 0$. Знак "-".
  • При $x < 2$: $\frac{(-)}{(-)} > 0$. Знак "+".

Решение неравенства: $(-\infty, 2] \cup (7, +\infty)$. Это решение удовлетворяет условиям $x \neq 4$ (так как 4 не входит в полученные промежутки) и $x \neq 7$.

Ответ: $x \in (-\infty, 2] \cup (7, +\infty)$.

Помогло решение? Оставьте отзыв в комментариях ниже.

Присоединяйтесь к Телеграм-группе @gdz_by_belarus

Присоединиться

Мы подготовили для вас ответ c подробным объяснением домашего задания по алгебре за 9 класс, для упражнения номер 3.178 расположенного на странице 194 к учебнику 2019 года издания для учащихся школ и гимназий.

Теперь на нашем сайте ГДЗ.ТОП вы всегда легко и бесплатно найдёте условие с правильным ответом на вопрос «Как решить ДЗ» и «Как сделать» задание по алгебре к упражнению №3.178 (с. 194), авторов: Арефьева (Ирина Глебовна), Пирютко (Ольга Николаевна), учебного пособия издательства Народная асвета.