Номер 3.193, страница 196 - гдз по алгебре 9 класс учебник Арефьева, Пирютко

Алгебра, 9 класс Учебник, авторы: Арефьева Ирина Глебовна, Пирютко Ольга Николаевна, издательство Народная асвета, Минск, 2019, голубого цвета

Авторы: Арефьева И. Г., Пирютко О. Н.

Тип: Учебник

Издательство: Народная асвета

Год издания: 2019 - 2026

Цвет обложки: голубой, синий с графиком

ISBN: 978-985-03-3077-2

Допущено Министерством образования Республики Беларусь

Популярные ГДЗ в 9 классе

Глава 3. Дробно-рациональные уравнения и неравенства. Параграф 13. Дробно-рациональные неравенства. Метод интервалов для решения рациональных неравенств - номер 3.193, страница 196.

№3.193 (с. 196)
Условие. №3.193 (с. 196)
скриншот условия
Алгебра, 9 класс Учебник, авторы: Арефьева Ирина Глебовна, Пирютко Ольга Николаевна, издательство Народная асвета, Минск, 2019, голубого цвета, страница 196, номер 3.193, Условие Алгебра, 9 класс Учебник, авторы: Арефьева Ирина Глебовна, Пирютко Ольга Николаевна, издательство Народная асвета, Минск, 2019, голубого цвета, страница 196, номер 3.193, Условие (продолжение 2)

3.193. Решите неравенство, используя метод интервалов:

a) $(x + 5)(x + 1)(x - 4) < 0;$

б) $x(2x - 11)(3x + 6)(x - 5) \geq 0;$

в) $(1 - x)(x + 8)(4x - 3) \leq 0;$

г) $-(3 - 2x)(8 - x)(9 - 4x) > 0.$

Решение. №3.193 (с. 196)
Алгебра, 9 класс Учебник, авторы: Арефьева Ирина Глебовна, Пирютко Ольга Николаевна, издательство Народная асвета, Минск, 2019, голубого цвета, страница 196, номер 3.193, Решение Алгебра, 9 класс Учебник, авторы: Арефьева Ирина Глебовна, Пирютко Ольга Николаевна, издательство Народная асвета, Минск, 2019, голубого цвета, страница 196, номер 3.193, Решение (продолжение 2)
Решение 2. №3.193 (с. 196)

Для решения данных неравенств используется метод интервалов. Суть метода заключается в следующем:

  1. Найти нули (корни) выражения, стоящего в левой части неравенства. Для этого каждый множитель приравнивается к нулю.
  2. Отметить найденные корни на числовой оси. Если неравенство строгое (знаки $>$ или $<$), точки отмечаются как выколотые (пустые кружки). Если неравенство нестрогое (знаки $\ge$ или $\le$), точки отмечаются как закрашенные (сплошные кружки).
  3. Определить знак выражения на каждом из получившихся интервалов. Это можно сделать, подставив любое число из интервала в исходное выражение. Удобнее начинать с крайнего правого интервала.
  4. Выбрать интервалы, которые удовлетворяют знаку неравенства, и записать ответ.
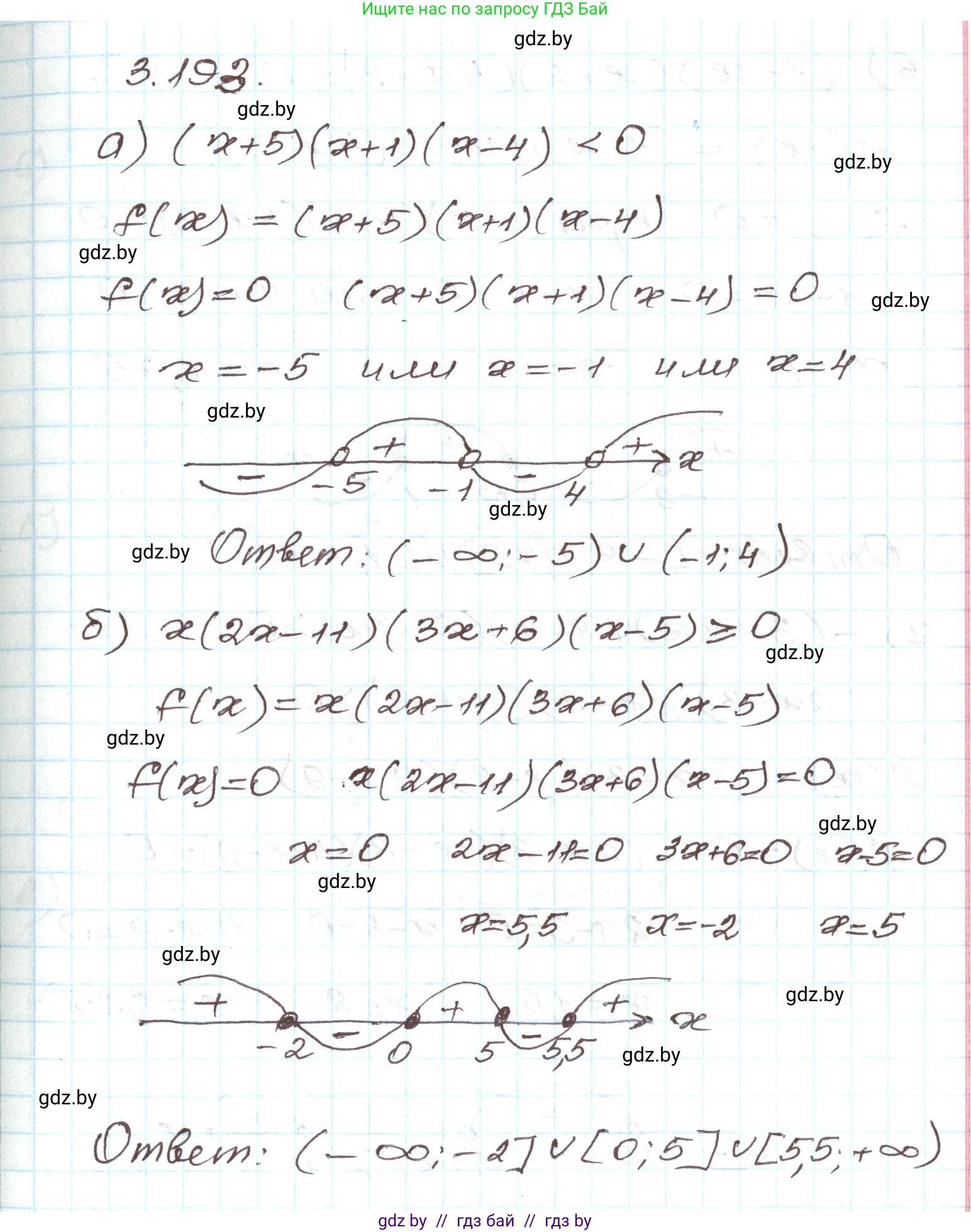
а) $(x+5)(x+1)(x-4) < 0$

1. Находим нули функции $y=(x+5)(x+1)(x-4)$, приравнивая каждый множитель к нулю:

$x+5=0 \Rightarrow x_1 = -5$

$x+1=0 \Rightarrow x_2 = -1$

$x-4=0 \Rightarrow x_3 = 4$

2. Отмечаем точки -5, -1, 4 на числовой оси. Так как неравенство строгое ($<$), все точки выколотые.

3. Определяем знаки на интервалах. Возьмем точку из крайнего правого интервала, например $x=5$: $(5+5)(5+1)(5-4) = 10 \cdot 6 \cdot 1 = 60 > 0$. Значит, на интервале $(4; +\infty)$ функция положительна. Так как все корни имеют кратность 1 (не повторяются), знаки на интервалах чередуются.

- + - +
-----o--------o--------o------> x
-5 -1 4

4. Нам нужны значения, где выражение меньше нуля (отрицательно). Это интервалы $(-\infty; -5)$ и $(-1; 4)$.

Ответ: $x \in (-\infty; -5) \cup (-1; 4)$.

б) $x(2x-11)(3x+6)(x-5) \ge 0$

1. Находим нули функции:

$x_1 = 0$

$2x-11=0 \Rightarrow 2x=11 \Rightarrow x_2 = \frac{11}{2} = 5\frac{1}{2}$

$3x+6=0 \Rightarrow 3x=-6 \Rightarrow x_3 = -2$

$x-5=0 \Rightarrow x_4 = 5$

2. Располагаем корни на числовой оси в порядке возрастания: -2, 0, 5, $5\frac{1}{2}$. Неравенство нестрогое ($\ge$), поэтому все точки закрашенные.

3. В крайнем правом интервале (при $x > 5\frac{1}{2}$) все множители положительны, значит, и произведение положительно. Далее знаки чередуются.

+ - + - +
-----●--------●--------●--------●------> x
-2 0 5 $5\frac{1}{2}$

4. Нам нужны значения, где выражение больше или равно нулю. Это интервалы $(-\infty; -2]$, $[0; 5]$ и $[5\frac{1}{2}; +\infty)$.

Ответ: $x \in (-\infty; -2] \cup [0; 5] \cup [\textbf{5}\frac{1}{2}; \infty)$.

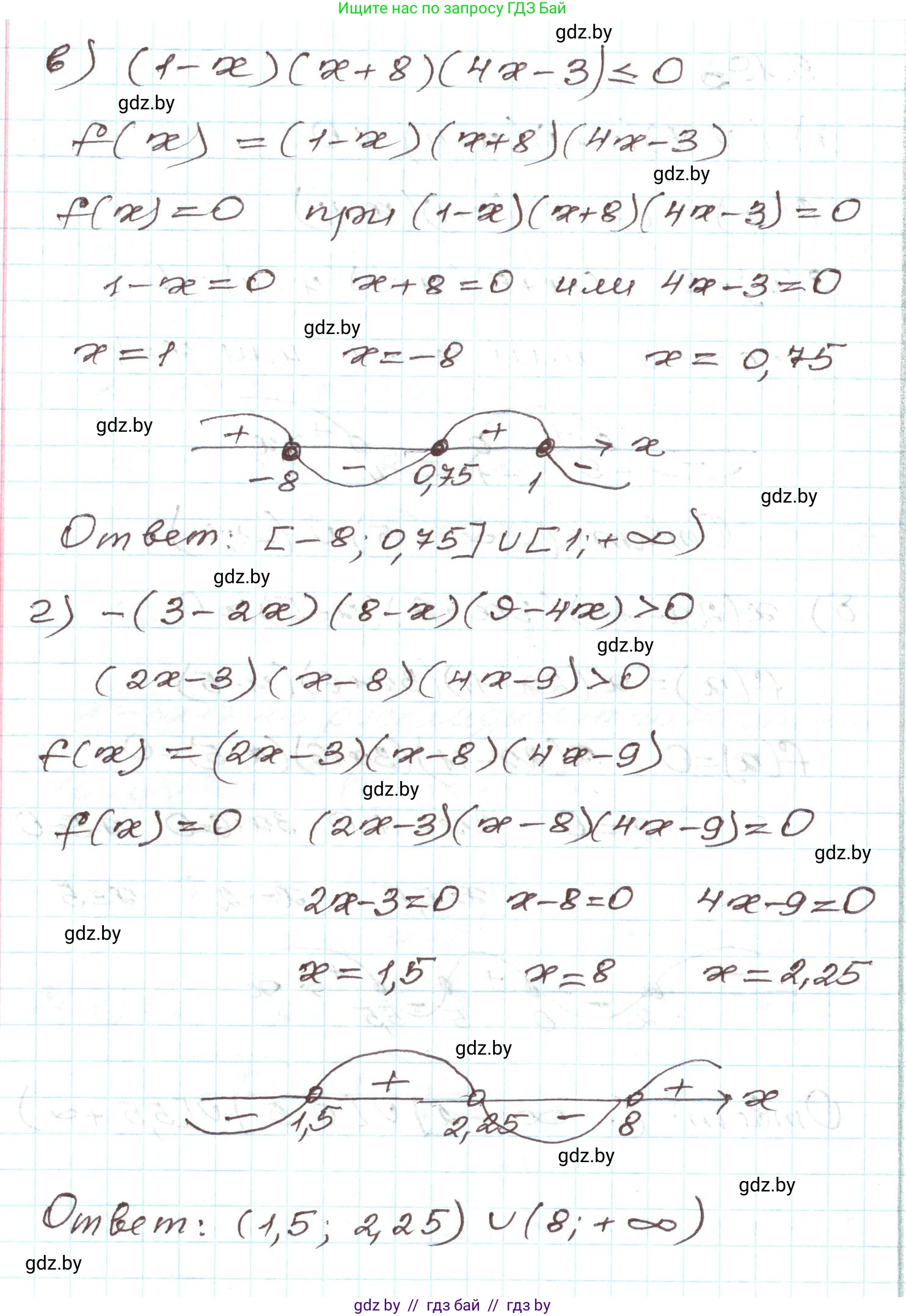
в) $(1-x)(x+8)(4x-3) \le 0$

1. Для удобства приведем множитель $(1-x)$ к стандартному виду $(x-a)$. Для этого вынесем "-1" за скобку: $(1-x) = -(x-1)$.

Неравенство принимает вид: $-(x-1)(x+8)(4x-3) \le 0$.

Умножим обе части неравенства на -1, при этом знак неравенства меняется на противоположный: $(x-1)(x+8)(4x-3) \ge 0$.

2. Находим нули для преобразованного неравенства:

$x-1=0 \Rightarrow x_1 = 1$

$x+8=0 \Rightarrow x_2 = -8$

$4x-3=0 \Rightarrow 4x=3 \Rightarrow x_3 = \frac{3}{4}$

3. Располагаем корни на оси: -8, $\frac{3}{4}$, 1. Точки закрашенные, так как неравенство нестрогое ($\ge$).

4. Определяем знаки для выражения $(x-1)(x+8)(4x-3)$. В крайнем правом интервале знак "+", далее знаки чередуются.

- + - +
-----●--------●--------●------> x
-8 $\frac{3}{4}$ 1

5. Нам нужны значения, где выражение больше или равно нулю. Это интервалы $[-8; \frac{3}{4}]$ и $[1; +\infty)$.

Ответ: $x \in [-8; \frac{3}{4}] \cup [1; \infty)$.

г) $-(3-2x)(8-x)(9-4x) > 0$

1. Преобразуем выражение, вынося "-1" из каждой скобки, чтобы коэффициенты при $x$ стали положительными:

$-(3-2x) = -(-(2x-3)) = 2x-3$

$(8-x) = -(x-8)$

$(9-4x) = -(4x-9)$

Подставляем в исходное неравенство: $(2x-3) \cdot (-(x-8)) \cdot (-(4x-9)) > 0$.

Произведение двух минусов дает плюс, поэтому неравенство становится эквивалентным: $(2x-3)(x-8)(4x-9) > 0$.

2. Находим нули:

$2x-3=0 \Rightarrow x_1 = \frac{3}{2} = 1\frac{1}{2}$

$x-8=0 \Rightarrow x_2 = 8$

$4x-9=0 \Rightarrow x_3 = \frac{9}{4} = 2\frac{1}{4}$

3. Располагаем корни на оси в порядке возрастания: $1\frac{1}{2}$, $2\frac{1}{4}$, 8. Точки выколотые, так как неравенство строгое ($>$).

4. Определяем знаки. В крайнем правом интервале выражение положительно, далее знаки чередуются.

- + - +
-----o--------o--------o------> x
$1\frac{1}{2}$ $2\frac{1}{4}$ 8

5. Нам нужны значения, где выражение больше нуля. Это интервалы $(1\frac{1}{2}; 2\frac{1}{4})$ и $(8; +\infty)$.

Ответ: $x \in (\textbf{1}\frac{1}{2}; \textbf{2}\frac{1}{4}) \cup (8; \infty)$.

Помогло решение? Оставьте отзыв в комментариях ниже.

Присоединяйтесь к Телеграм-группе @gdz_by_belarus

Присоединиться

Мы подготовили для вас ответ c подробным объяснением домашего задания по алгебре за 9 класс, для упражнения номер 3.193 расположенного на странице 196 к учебнику 2019 года издания для учащихся школ и гимназий.

Теперь на нашем сайте ГДЗ.ТОП вы всегда легко и бесплатно найдёте условие с правильным ответом на вопрос «Как решить ДЗ» и «Как сделать» задание по алгебре к упражнению №3.193 (с. 196), авторов: Арефьева (Ирина Глебовна), Пирютко (Ольга Николаевна), учебного пособия издательства Народная асвета.