Номер 3.209, страница 198 - гдз по алгебре 9 класс учебник Арефьева, Пирютко

Алгебра, 9 класс Учебник, авторы: Арефьева Ирина Глебовна, Пирютко Ольга Николаевна, издательство Народная асвета, Минск, 2019, голубого цвета

Авторы: Арефьева И. Г., Пирютко О. Н.

Тип: Учебник

Издательство: Народная асвета

Год издания: 2019 - 2026

Цвет обложки: голубой, синий с графиком

ISBN: 978-985-03-3077-2

Допущено Министерством образования Республики Беларусь

Популярные ГДЗ в 9 классе

Глава 3. Дробно-рациональные уравнения и неравенства. Параграф 13. Дробно-рациональные неравенства. Метод интервалов для решения рациональных неравенств - номер 3.209, страница 198.

№3.209 (с. 198)
Условие. №3.209 (с. 198)
скриншот условия
Алгебра, 9 класс Учебник, авторы: Арефьева Ирина Глебовна, Пирютко Ольга Николаевна, издательство Народная асвета, Минск, 2019, голубого цвета, страница 198, номер 3.209, Условие

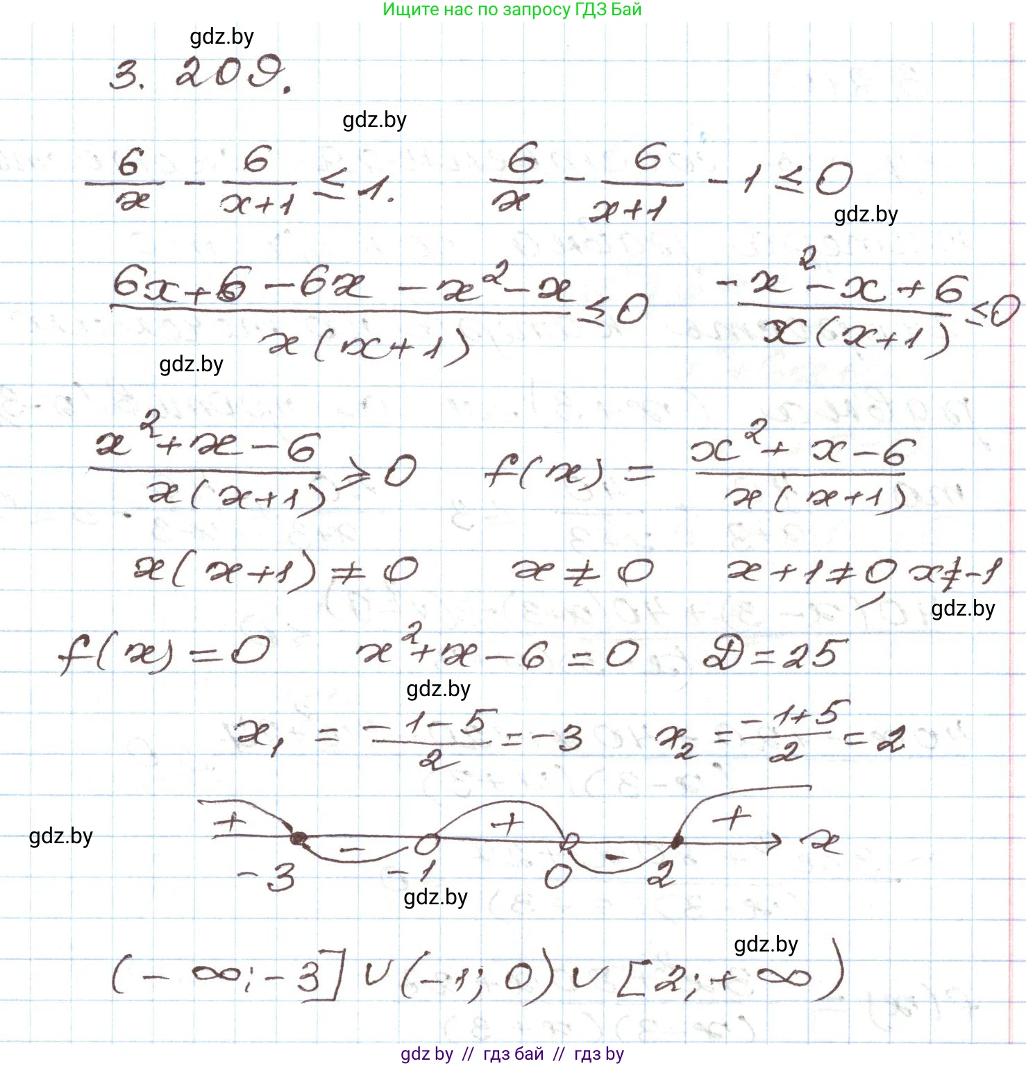
3.209. Найдите все значения переменной, при которых разность дробей $ \frac{6}{x} $ и $ \frac{6}{x+1} $ не превосходит 1.

Решение. №3.209 (с. 198)
Алгебра, 9 класс Учебник, авторы: Арефьева Ирина Глебовна, Пирютко Ольга Николаевна, издательство Народная асвета, Минск, 2019, голубого цвета, страница 198, номер 3.209, Решение
Решение 2. №3.209 (с. 198)

Условие задачи "разность дробей $\frac{6}{x}$ и $\frac{6}{x+1}$ не превосходит 1" означает, что модуль их разности должен быть меньше либо равен 1. Это связано с тем, что порядок вычитания дробей не задан. Таким образом, мы получаем следующее неравенство:

$|\frac{6}{x} - \frac{6}{x+1}| \le 1$

Сначала определим область допустимых значений (ОДЗ) переменной $x$. Знаменатели дробей не могут быть равны нулю, следовательно:

$x \ne 0$ и $x + 1 \ne 0 \implies x \ne -1$

Далее упростим выражение под знаком модуля:

$\frac{6}{x} - \frac{6}{x+1} = \frac{6(x+1) - 6x}{x(x+1)} = \frac{6x + 6 - 6x}{x(x+1)} = \frac{6}{x(x+1)}$

Теперь неравенство принимает вид:

$|\frac{6}{x(x+1)}| \le 1$

Данное неравенство с модулем эквивалентно системе из двух неравенств:

$\begin{cases} \frac{6}{x(x+1)} \le 1 \\ \frac{6}{x(x+1)} \ge -1 \end{cases}$

Решим каждое неравенство системы по отдельности.

1) $\frac{6}{x(x+1)} \le 1 \implies \frac{6}{x(x+1)} - 1 \le 0 \implies \frac{6 - x(x+1)}{x(x+1)} \le 0 \implies \frac{-(x^2 + x - 6)}{x(x+1)} \le 0$.

Умножим обе части на -1, изменив знак неравенства на противоположный:

$\frac{x^2 + x - 6}{x(x+1)} \ge 0$

Разложим числитель на множители. Корни уравнения $x^2 + x - 6 = 0$ равны $x_1 = -3$ и $x_2 = 2$.

$\frac{(x+3)(x-2)}{x(x+1)} \ge 0$

Решая это неравенство методом интервалов, получаем решение: $x \in (-\infty, -3] \cup (-1, 0) \cup [2, +\infty)$.

2) $\frac{6}{x(x+1)} \ge -1 \implies \frac{6}{x(x+1)} + 1 \ge 0 \implies \frac{6 + x(x+1)}{x(x+1)} \ge 0 \implies \frac{x^2 + x + 6}{x(x+1)} \ge 0$.

Рассмотрим числитель $x^2 + x + 6$. Его дискриминант $D = 1^2 - 4 \cdot 1 \cdot 6 = 1 - 24 = -23$. Так как $D < 0$ и ветви параболы направлены вверх, выражение $x^2 + x + 6$ всегда положительно. Поэтому знак дроби определяется знаком знаменателя $x(x+1)$. Неравенство сводится к:

$x(x+1) > 0$

Решением этого неравенства является объединение интервалов: $x \in (-\infty, -1) \cup (0, +\infty)$.

Для получения окончательного ответа необходимо найти пересечение решений обоих неравенств:

$((-\infty, -3] \cup (-1, 0) \cup [2, +\infty)) \cap ((-\infty, -1) \cup (0, +\infty))$

Пересечением этих множеств является $x \in (-\infty, -3] \cup [2, +\infty)$.

Ответ: $x \in (-\infty, -3] \cup [2, +\infty)$.

Помогло решение? Оставьте отзыв в комментариях ниже.

Присоединяйтесь к Телеграм-группе @gdz_by_belarus

Присоединиться

Мы подготовили для вас ответ c подробным объяснением домашего задания по алгебре за 9 класс, для упражнения номер 3.209 расположенного на странице 198 к учебнику 2019 года издания для учащихся школ и гимназий.

Теперь на нашем сайте ГДЗ.ТОП вы всегда легко и бесплатно найдёте условие с правильным ответом на вопрос «Как решить ДЗ» и «Как сделать» задание по алгебре к упражнению №3.209 (с. 198), авторов: Арефьева (Ирина Глебовна), Пирютко (Ольга Николаевна), учебного пособия издательства Народная асвета.