Номер 3.210, страница 198 - гдз по алгебре 9 класс учебник Арефьева, Пирютко

Алгебра, 9 класс Учебник, авторы: Арефьева Ирина Глебовна, Пирютко Ольга Николаевна, издательство Народная асвета, Минск, 2019, голубого цвета

Авторы: Арефьева И. Г., Пирютко О. Н.

Тип: Учебник

Издательство: Народная асвета

Год издания: 2019 - 2026

Цвет обложки: голубой, синий с графиком

ISBN: 978-985-03-3077-2

Допущено Министерством образования Республики Беларусь

Популярные ГДЗ в 9 классе

Глава 3. Дробно-рациональные уравнения и неравенства. Параграф 13. Дробно-рациональные неравенства. Метод интервалов для решения рациональных неравенств - номер 3.210, страница 198.

№3.210 (с. 198)
Условие. №3.210 (с. 198)
скриншот условия
Алгебра, 9 класс Учебник, авторы: Арефьева Ирина Глебовна, Пирютко Ольга Николаевна, издательство Народная асвета, Минск, 2019, голубого цвета, страница 198, номер 3.210, Условие

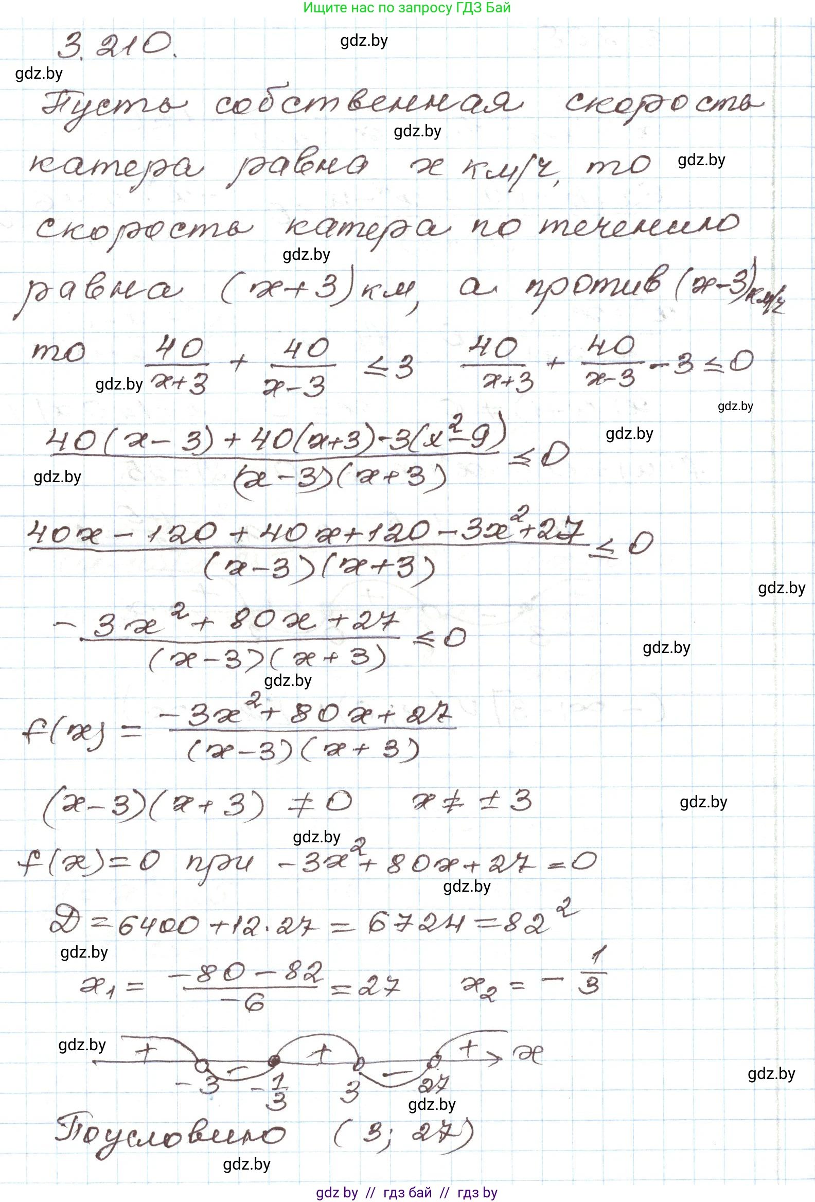
3.210. Туристы на катере планируют проплыть 40 км по течению реки и такое же расстояние против течения, затратив на весь путь не более 3 ч. Какой может быть собственная скорость катера, если скорость течения реки составляет $3 \frac{\text{км}}{\text{ч}}$?

Решение. №3.210 (с. 198)
Алгебра, 9 класс Учебник, авторы: Арефьева Ирина Глебовна, Пирютко Ольга Николаевна, издательство Народная асвета, Минск, 2019, голубого цвета, страница 198, номер 3.210, Решение
Решение 2. №3.210 (с. 198)

Пусть собственная скорость катера равна $v$ км/ч. По условию задачи, скорость течения реки составляет 3 км/ч.

Тогда скорость катера по течению реки будет $(v + 3)$ км/ч, а скорость против течения — $(v - 3)$ км/ч.

Чтобы катер мог плыть против течения, его собственная скорость должна быть больше скорости течения, то есть $v > 3$.

Время, которое туристы затратят на путь в 40 км по течению, составляет $t_1 = \frac{40}{v+3}$ ч.

Время, которое они затратят на путь в 40 км против течения, составляет $t_2 = \frac{40}{v-3}$ ч.

Общее время на весь путь равно сумме $t_1 + t_2$. По условию, это время не должно превышать 3 часа. Составим неравенство:

$\frac{40}{v+3} + \frac{40}{v-3} \le 3$

Для решения задачи необходимо найти значения $v$, удовлетворяющие системе неравенств:

$\begin{cases} \frac{40}{v+3} + \frac{40}{v-3} \le 3 \\ v > 3 \end{cases}$

Решим первое неравенство. Перенесем все его члены в левую часть и приведем к общему знаменателю:

$\frac{40(v-3) + 40(v+3) - 3(v+3)(v-3)}{(v+3)(v-3)} \le 0$

$\frac{40v - 120 + 40v + 120 - 3(v^2-9)}{v^2-9} \le 0$

$\frac{80v - 3v^2 + 27}{v^2-9} \le 0$

Чтобы избавиться от отрицательного коэффициента при старшей степени в числителе, умножим обе части неравенства на -1, изменив знак неравенства на противоположный:

$\frac{3v^2 - 80v - 27}{v^2-9} \ge 0$

Найдем корни числителя и знаменателя, чтобы решить неравенство методом интервалов.

1. Корни числителя $3v^2 - 80v - 27 = 0$:

Дискриминант $D = (-80)^2 - 4 \cdot 3 \cdot (-27) = 6400 + 324 = 6724$.

$\sqrt{D} = \sqrt{6724} = 82$.

$v_1 = \frac{80 - 82}{2 \cdot 3} = \frac{-2}{6} = -\frac{1}{3}$

$v_2 = \frac{80 + 82}{2 \cdot 3} = \frac{162}{6} = 27$

2. Корни знаменателя $v^2 - 9 = 0$:

$v_3 = 3$, $v_4 = -3$

Неравенство можно представить в виде: $\frac{3(v-27)(v+\frac{1}{3})}{(v-3)(v+3)} \ge 0$.

Отметим найденные корни на числовой оси. Корни знаменателя (-3 и 3) будут выколотыми точками. Анализируя знаки выражения на полученных интервалах, находим решение неравенства:

$v \in (-\infty, -3) \cup [-\frac{1}{3}, 3) \cup [27, +\infty)$

Теперь учтем второе условие из системы: $v > 3$. Найдем пересечение полученного множества решений с этим условием.

Единственный интервал, удовлетворяющий условию $v > 3$, это $[27, +\infty)$.

Следовательно, собственная скорость катера должна быть не менее 27 км/ч.

Ответ:

Собственная скорость катера должна быть не менее 27 км/ч.

Помогло решение? Оставьте отзыв в комментариях ниже.

Присоединяйтесь к Телеграм-группе @gdz_by_belarus

Присоединиться

Мы подготовили для вас ответ c подробным объяснением домашего задания по алгебре за 9 класс, для упражнения номер 3.210 расположенного на странице 198 к учебнику 2019 года издания для учащихся школ и гимназий.

Теперь на нашем сайте ГДЗ.ТОП вы всегда легко и бесплатно найдёте условие с правильным ответом на вопрос «Как решить ДЗ» и «Как сделать» задание по алгебре к упражнению №3.210 (с. 198), авторов: Арефьева (Ирина Глебовна), Пирютко (Ольга Николаевна), учебного пособия издательства Народная асвета.