Номер 3.42, страница 151 - гдз по алгебре 9 класс учебник Арефьева, Пирютко

Алгебра, 9 класс Учебник, авторы: Арефьева Ирина Глебовна, Пирютко Ольга Николаевна, издательство Народная асвета, Минск, 2019, голубого цвета

Авторы: Арефьева И. Г., Пирютко О. Н.

Тип: Учебник

Издательство: Народная асвета

Год издания: 2019 - 2026

Цвет обложки: голубой, синий с графиком

ISBN: 978-985-03-3077-2

Допущено Министерством образования Республики Беларусь

Популярные ГДЗ в 9 классе

Глава 3. Дробно-рациональные уравнения и неравенства. Параграф 10. Дробно-рациональные уравнения - номер 3.42, страница 151.

№3.42 (с. 151)
Условие. №3.42 (с. 151)
скриншот условия
Алгебра, 9 класс Учебник, авторы: Арефьева Ирина Глебовна, Пирютко Ольга Николаевна, издательство Народная асвета, Минск, 2019, голубого цвета, страница 151, номер 3.42, Условие

3.42. Являются ли следующие уравнения дробно-рациональными? Решите уравнение, используя соответствующий алгоритм:

a) $ \frac{x}{x+4} = \frac{1}{x-2} $

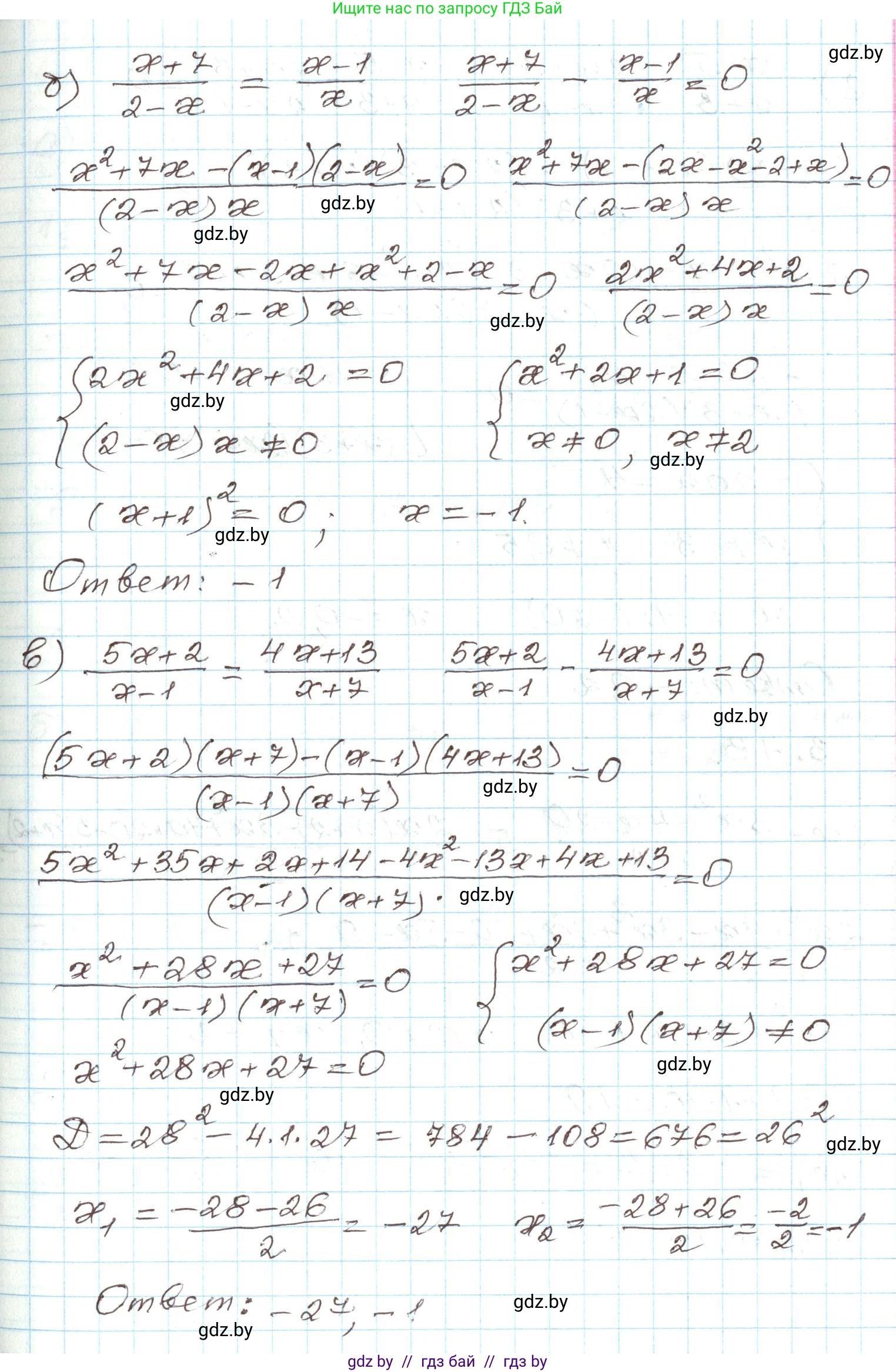
б) $ \frac{x+7}{2-x} = \frac{x-1}{x} $

в) $ \frac{5x+2}{x-1} = \frac{4x+13}{x+7} $

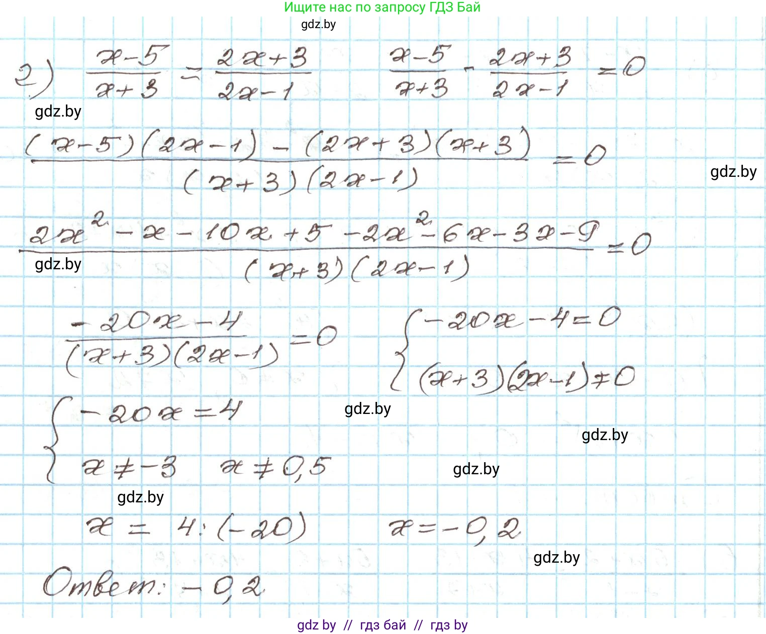
г) $ \frac{x-5}{x+3} = \frac{2x+3}{2x-1} $

Решение. №3.42 (с. 151)
Алгебра, 9 класс Учебник, авторы: Арефьева Ирина Глебовна, Пирютко Ольга Николаевна, издательство Народная асвета, Минск, 2019, голубого цвета, страница 151, номер 3.42, Решение Алгебра, 9 класс Учебник, авторы: Арефьева Ирина Глебовна, Пирютко Ольга Николаевна, издательство Народная асвета, Минск, 2019, голубого цвета, страница 151, номер 3.42, Решение (продолжение 2)
Решение 2. №3.42 (с. 151)
Да, все представленные уравнения являются дробно-рациональными, так как они содержат переменную в знаменателе дробей. Решим каждое из них.

а) Дано уравнение: $\frac{x}{x+4} = \frac{1}{x-2}$

1. Находим область допустимых значений (ОДЗ).
Знаменатели дробей не должны равняться нулю:$x+4 \neq 0 \implies x \neq -4$
$x-2 \neq 0 \implies x \neq 2$
ОДЗ: $x \in (-\infty; -4) \cup (-4; 2) \cup (2; +\infty)$

2. Решаем уравнение.
Используем свойство пропорции (перекрестное умножение):
$x \cdot (x-2) = 1 \cdot (x+4)$
$x^2 - 2x = x + 4$

3. Приводим к стандартному виду квадратного уравнения.
$x^2 - 2x - x - 4 = 0$
$x^2 - 3x - 4 = 0$

4. Находим корни уравнения.
По теореме Виета:
$x_1 + x_2 = 3$
$x_1 \cdot x_2 = -4$
Корни уравнения: $x_1 = 4$, $x_2 = -1$.

5. Проверяем корни на соответствие ОДЗ.
Оба корня ($4$ и $-1$) принадлежат области допустимых значений.

Ответ: -1, 4.

б) Дано уравнение: $\frac{x+7}{2-x} = \frac{x-1}{x}$

1. Находим область допустимых значений (ОДЗ).
$2-x \neq 0 \implies x \neq 2$
$x \neq 0$
ОДЗ: $x \in (-\infty; 0) \cup (0; 2) \cup (2; +\infty)$

2. Решаем уравнение.
Используем перекрестное умножение:
$(x+7) \cdot x = (x-1) \cdot (2-x)$
$x^2 + 7x = 2x - x^2 - 2 + x$

3. Приводим к стандартному виду квадратного уравнения.
$x^2 + 7x = -x^2 + 3x - 2$
$x^2 + x^2 + 7x - 3x + 2 = 0$
$2x^2 + 4x + 2 = 0$
Разделим все уравнение на 2:
$x^2 + 2x + 1 = 0$

4. Находим корни уравнения.
Это формула квадрата суммы:
$(x+1)^2 = 0$
$x+1 = 0$
$x = -1$

5. Проверяем корень на соответствие ОДЗ.
Корень $x = -1$ принадлежит области допустимых значений.

Ответ: -1.

в) Дано уравнение: $\frac{5x+2}{x-1} = \frac{4x+13}{x+7}$

1. Находим область допустимых значений (ОДЗ).
$x-1 \neq 0 \implies x \neq 1$
$x+7 \neq 0 \implies x \neq -7$
ОДЗ: $x \in (-\infty; -7) \cup (-7; 1) \cup (1; +\infty)$

2. Решаем уравнение.
Используем перекрестное умножение:
$(5x+2)(x+7) = (4x+13)(x-1)$
$5x^2 + 35x + 2x + 14 = 4x^2 - 4x + 13x - 13$

3. Приводим к стандартному виду квадратного уравнения.
$5x^2 + 37x + 14 = 4x^2 + 9x - 13$
$5x^2 - 4x^2 + 37x - 9x + 14 + 13 = 0$
$x^2 + 28x + 27 = 0$

4. Находим корни уравнения.
По теореме Виета:
$x_1 + x_2 = -28$
$x_1 \cdot x_2 = 27$
Корни уравнения: $x_1 = -1$, $x_2 = -27$.

5. Проверяем корни на соответствие ОДЗ.
Оба корня ($-1$ и $-27$) принадлежат области допустимых значений.

Ответ: -27, -1.

г) Дано уравнение: $\frac{x-5}{x+3} = \frac{2x+3}{2x-1}$

1. Находим область допустимых значений (ОДЗ).
$x+3 \neq 0 \implies x \neq -3$
$2x-1 \neq 0 \implies x \neq \frac{1}{2}$
ОДЗ: $x \in (-\infty; -3) \cup (-3; \frac{1}{2}) \cup (\frac{1}{2}; +\infty)$

2. Решаем уравнение.
Используем перекрестное умножение:
$(x-5)(2x-1) = (2x+3)(x+3)$
$2x^2 - x - 10x + 5 = 2x^2 + 6x + 3x + 9$

3. Упрощаем уравнение.
$2x^2 - 11x + 5 = 2x^2 + 9x + 9$
Сокращаем $2x^2$ с обеих сторон:
$-11x + 5 = 9x + 9$

4. Находим корень линейного уравнения.
$-11x - 9x = 9 - 5$
$-20x = 4$
$x = \frac{4}{-20} = -\frac{1}{5}$

5. Проверяем корень на соответствие ОДЗ.
Корень $x = -\frac{1}{5}$ принадлежит области допустимых значений, так как $-\frac{1}{5} \neq -3$ и $-\frac{1}{5} \neq \frac{1}{2}$.

Ответ: $-\frac{1}{5}$.

Помогло решение? Оставьте отзыв в комментариях ниже.

Присоединяйтесь к Телеграм-группе @gdz_by_belarus

Присоединиться

Мы подготовили для вас ответ c подробным объяснением домашего задания по алгебре за 9 класс, для упражнения номер 3.42 расположенного на странице 151 к учебнику 2019 года издания для учащихся школ и гимназий.

Теперь на нашем сайте ГДЗ.ТОП вы всегда легко и бесплатно найдёте условие с правильным ответом на вопрос «Как решить ДЗ» и «Как сделать» задание по алгебре к упражнению №3.42 (с. 151), авторов: Арефьева (Ирина Глебовна), Пирютко (Ольга Николаевна), учебного пособия издательства Народная асвета.