Номер 3.47, страница 152 - гдз по алгебре 9 класс учебник Арефьева, Пирютко

Алгебра, 9 класс Учебник, авторы: Арефьева Ирина Глебовна, Пирютко Ольга Николаевна, издательство Народная асвета, Минск, 2019, голубого цвета

Авторы: Арефьева И. Г., Пирютко О. Н.

Тип: Учебник

Издательство: Народная асвета

Год издания: 2019 - 2026

Цвет обложки: голубой, синий с графиком

ISBN: 978-985-03-3077-2

Допущено Министерством образования Республики Беларусь

Популярные ГДЗ в 9 классе

Глава 3. Дробно-рациональные уравнения и неравенства. Параграф 10. Дробно-рациональные уравнения - номер 3.47, страница 152.

№3.47 (с. 152)
Условие. №3.47 (с. 152)
скриншот условия
Алгебра, 9 класс Учебник, авторы: Арефьева Ирина Глебовна, Пирютко Ольга Николаевна, издательство Народная асвета, Минск, 2019, голубого цвета, страница 152, номер 3.47, Условие

3.47. Решите уравнение:

а) $\frac{x+1}{x} + \frac{2}{x-5} = \frac{10}{x^2-5x}$

б) $\frac{4}{x^2-9} + \frac{x+1}{x-3} = 1$

в) $\frac{2x+3}{x+1} + \frac{2}{x^2-1} = \frac{x+1}{x-1}$

г) $\frac{x}{3x+2} + \frac{5}{2-3x} = \frac{15x+10}{4-9x^2}$

Решение. №3.47 (с. 152)
Алгебра, 9 класс Учебник, авторы: Арефьева Ирина Глебовна, Пирютко Ольга Николаевна, издательство Народная асвета, Минск, 2019, голубого цвета, страница 152, номер 3.47, Решение Алгебра, 9 класс Учебник, авторы: Арефьева Ирина Глебовна, Пирютко Ольга Николаевна, издательство Народная асвета, Минск, 2019, голубого цвета, страница 152, номер 3.47, Решение (продолжение 2)
Решение 2. №3.47 (с. 152)

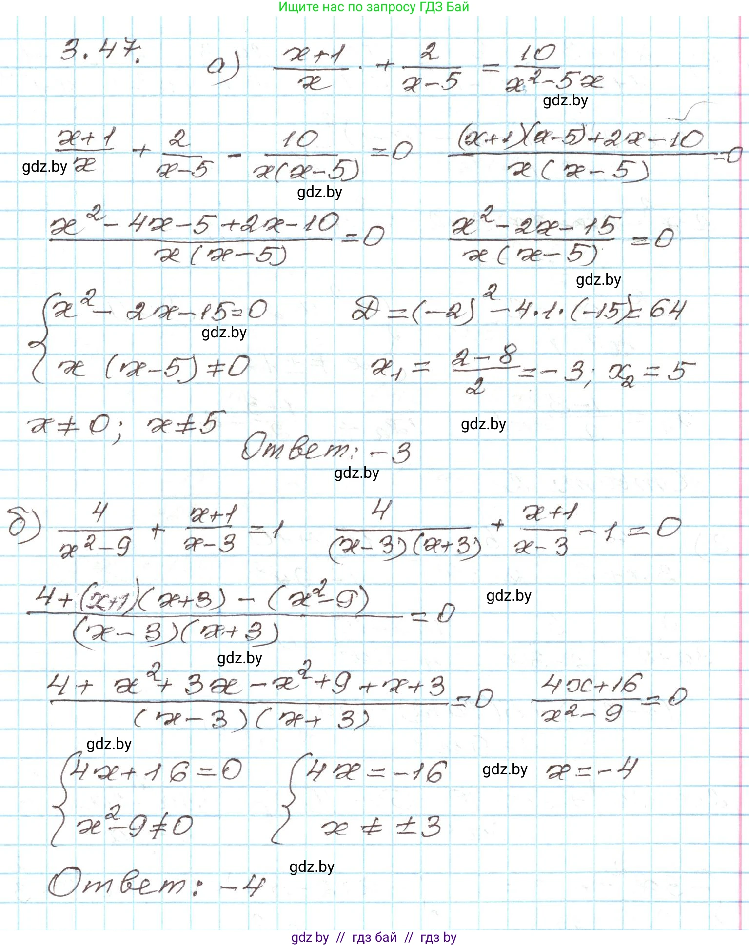
а) Исходное уравнение: $\frac{x+1}{x} + \frac{2}{x-5} = \frac{10}{x^2-5x}$.

1. Найдем область допустимых значений (ОДЗ). Знаменатели дробей не могут быть равны нулю.
$x^2-5x = x(x-5)$
Следовательно, $x \neq 0$ и $x-5 \neq 0$.
ОДЗ: $x \neq 0$, $x \neq 5$.

2. Общий знаменатель для всех дробей — это $x(x-5)$. Умножим обе части уравнения на этот знаменатель, чтобы избавиться от дробей:
$(x+1)(x-5) + 2x = 10$

3. Раскроем скобки и решим полученное уравнение:
$x^2 - 5x + x - 5 + 2x = 10$
$x^2 - 2x - 5 = 10$
$x^2 - 2x - 15 = 0$
Это квадратное уравнение. Найдем его корни с помощью дискриминанта:
$D = b^2 - 4ac = (-2)^2 - 4 \cdot 1 \cdot (-15) = 4 + 60 = 64$
$x_1 = \frac{-b + \sqrt{D}}{2a} = \frac{2 + 8}{2} = 5$
$x_2 = \frac{-b - \sqrt{D}}{2a} = \frac{2 - 8}{2} = -3$

4. Проверим, соответствуют ли найденные корни ОДЗ.
Корень $x_1 = 5$ не удовлетворяет ОДЗ, так как при этом значении знаменатель обращается в ноль. Это посторонний корень.
Корень $x_2 = -3$ удовлетворяет ОДЗ.

Ответ: -3


б) Исходное уравнение: $\frac{4}{x^2-9} + \frac{x+1}{x-3} = 1$.

1. Найдем ОДЗ. Знаменатель $x^2-9$ можно разложить по формуле разности квадратов: $x^2-9 = (x-3)(x+3)$.
Знаменатели не должны быть равны нулю: $x-3 \neq 0$ и $x+3 \neq 0$.
ОДЗ: $x \neq 3$, $x \neq -3$.

2. Общий знаменатель — $(x-3)(x+3)$. Умножим обе части уравнения на него:
$4 + (x+1)(x+3) = 1 \cdot (x-3)(x+3)$

3. Раскроем скобки и решим уравнение:
$4 + x^2 + 3x + x + 3 = x^2 - 9$
$x^2 + 4x + 7 = x^2 - 9$
Вычтем $x^2$ из обеих частей:
$4x + 7 = -9$
$4x = -9 - 7$
$4x = -16$
$x = -4$

4. Проверим корень на соответствие ОДЗ.
Корень $x = -4$ удовлетворяет условиям ОДЗ ($x \neq 3$ и $x \neq -3$).

Ответ: -4


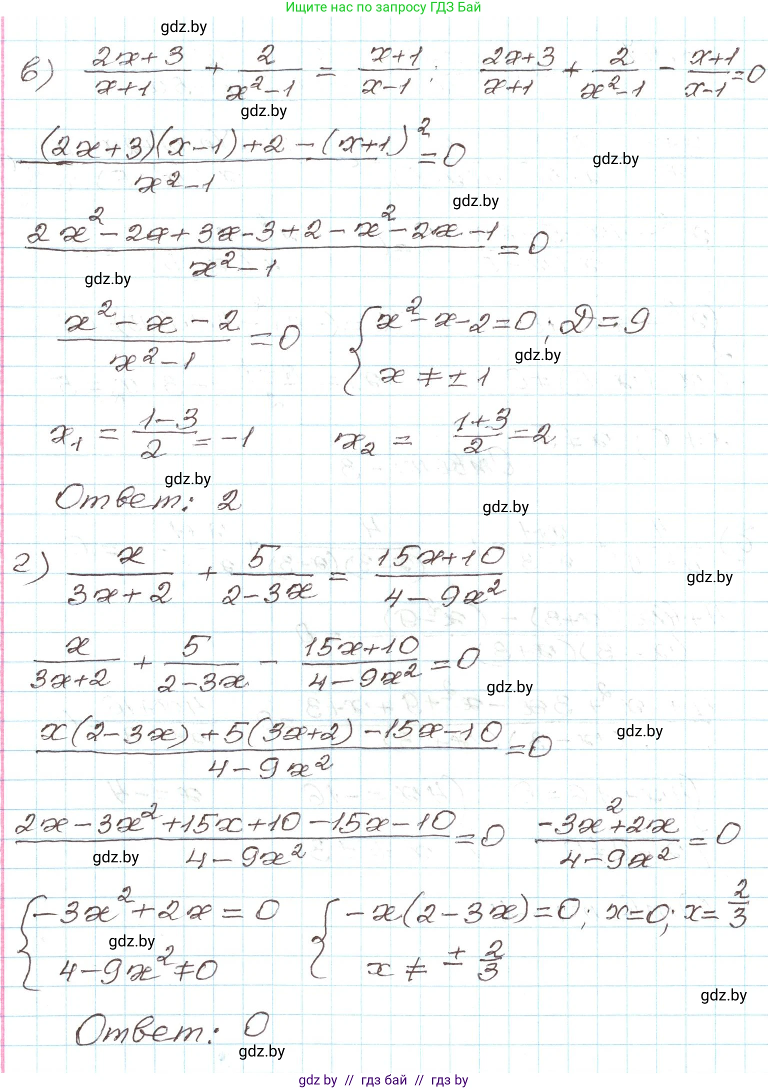
в) Исходное уравнение: $\frac{2x+3}{x+1} + \frac{2}{x^2-1} = \frac{x+1}{x-1}$.

1. Найдем ОДЗ. Разложим знаменатель $x^2-1 = (x-1)(x+1)$.
Знаменатели не должны быть равны нулю: $x+1 \neq 0$ и $x-1 \neq 0$.
ОДЗ: $x \neq -1$, $x \neq 1$.

2. Общий знаменатель — $(x-1)(x+1)$. Умножим обе части уравнения на него:
$(2x+3)(x-1) + 2 = (x+1)(x+1)$

3. Раскроем скобки и решим уравнение:
$2x^2 - 2x + 3x - 3 + 2 = x^2 + 2x + 1$
$2x^2 + x - 1 = x^2 + 2x + 1$
Перенесем все члены в левую часть:
$2x^2 - x^2 + x - 2x - 1 - 1 = 0$
$x^2 - x - 2 = 0$
По теореме Виета, сумма корней равна 1, а произведение -2. Корни: $x_1=2$, $x_2=-1$.

4. Проверим корни на соответствие ОДЗ.
Корень $x_1 = 2$ удовлетворяет ОДЗ.
Корень $x_2 = -1$ не удовлетворяет ОДЗ, так как при $x=-1$ знаменатель обращается в ноль. Это посторонний корень.

Ответ: 2


г) Исходное уравнение: $\frac{x}{3x+2} + \frac{5}{2-3x} = \frac{15x+10}{4-9x^2}$.

1. Найдем ОДЗ. Преобразуем знаменатели: $4-9x^2 = (2-3x)(2+3x)$.
Знаменатели не должны быть равны нулю: $3x+2 \neq 0$ и $2-3x \neq 0$.
ОДЗ: $x \neq -\frac{2}{3}$ и $x \neq \frac{2}{3}$.

2. Общий знаменатель — $4-9x^2 = (2-3x)(2+3x)$. Умножим обе части уравнения на него:
$x(2-3x) + 5(2+3x) = 15x+10$

3. Раскроем скобки и решим уравнение:
$2x - 3x^2 + 10 + 15x = 15x + 10$
$-3x^2 + 17x + 10 = 15x + 10$
Перенесем все члены в левую часть:
$-3x^2 + 17x - 15x + 10 - 10 = 0$
$-3x^2 + 2x = 0$
Вынесем $x$ за скобки:
$x(-3x + 2) = 0$
Получаем два возможных корня: $x_1 = 0$ или $-3x+2=0 \Rightarrow x_2 = \frac{2}{3}$.

4. Проверим корни на соответствие ОДЗ.
Корень $x_1 = 0$ удовлетворяет ОДЗ.
Корень $x_2 = \frac{2}{3}$ не удовлетворяет ОДЗ. Это посторонний корень.

Ответ: 0

Помогло решение? Оставьте отзыв в комментариях ниже.

Присоединяйтесь к Телеграм-группе @gdz_by_belarus

Присоединиться

Мы подготовили для вас ответ c подробным объяснением домашего задания по алгебре за 9 класс, для упражнения номер 3.47 расположенного на странице 152 к учебнику 2019 года издания для учащихся школ и гимназий.

Теперь на нашем сайте ГДЗ.ТОП вы всегда легко и бесплатно найдёте условие с правильным ответом на вопрос «Как решить ДЗ» и «Как сделать» задание по алгебре к упражнению №3.47 (с. 152), авторов: Арефьева (Ирина Глебовна), Пирютко (Ольга Николаевна), учебного пособия издательства Народная асвета.