Номер 3.54, страница 153 - гдз по алгебре 9 класс учебник Арефьева, Пирютко

Алгебра, 9 класс Учебник, авторы: Арефьева Ирина Глебовна, Пирютко Ольга Николаевна, издательство Народная асвета, Минск, 2019, голубого цвета

Авторы: Арефьева И. Г., Пирютко О. Н.

Тип: Учебник

Издательство: Народная асвета

Год издания: 2019 - 2026

Цвет обложки: голубой, синий с графиком

ISBN: 978-985-03-3077-2

Допущено Министерством образования Республики Беларусь

Популярные ГДЗ в 9 классе

Глава 3. Дробно-рациональные уравнения и неравенства. Параграф 10. Дробно-рациональные уравнения - номер 3.54, страница 153.

№3.54 (с. 153)
Условие. №3.54 (с. 153)
скриншот условия
Алгебра, 9 класс Учебник, авторы: Арефьева Ирина Глебовна, Пирютко Ольга Николаевна, издательство Народная асвета, Минск, 2019, голубого цвета, страница 153, номер 3.54, Условие

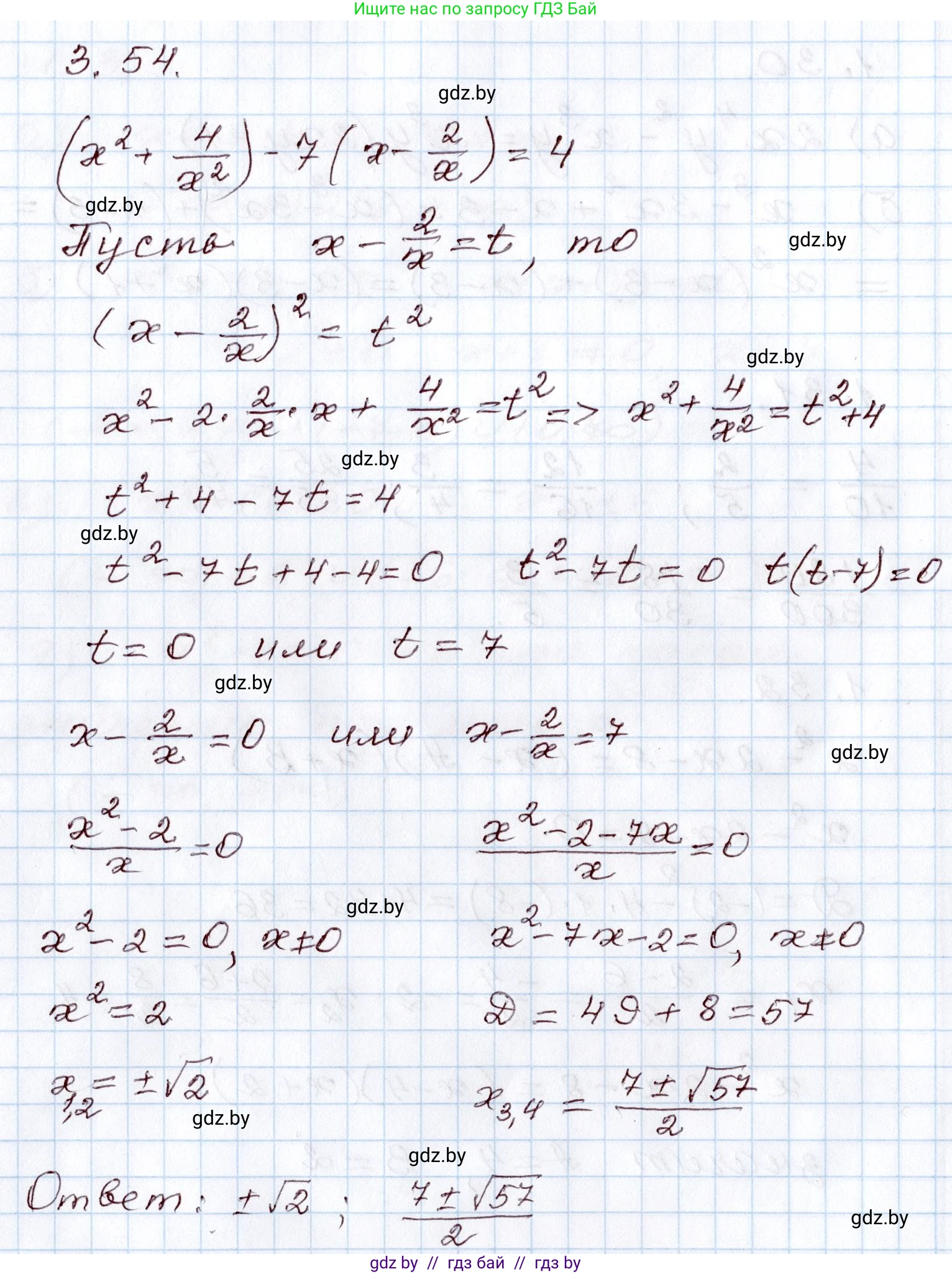
3.54* Найдите произведение корней уравнения $ (x^2 + \frac{4}{x^2}) - 7(x - \frac{2}{x}) = 4. $

Решение. №3.54 (с. 153)
Алгебра, 9 класс Учебник, авторы: Арефьева Ирина Глебовна, Пирютко Ольга Николаевна, издательство Народная асвета, Минск, 2019, голубого цвета, страница 153, номер 3.54, Решение
Решение 2. №3.54 (с. 153)
3.54*:

Исходное уравнение:

$(x^2 + \frac{4}{x^2}) - 7(x - \frac{2}{x}) = 4$

Область допустимых значений (ОДЗ) для данного уравнения определяется знаменателем, который не должен быть равен нулю, то есть $x \neq 0$.

Для решения этого уравнения удобно использовать метод замены переменной. Заметим, что между выражениями в скобках есть связь.

Введем замену: пусть $y = x - \frac{2}{x}$.

Теперь выразим первое слагаемое $x^2 + \frac{4}{x^2}$ через $y$. Для этого возведем в квадрат выражение для $y$:

$y^2 = (x - \frac{2}{x})^2 = x^2 - 2 \cdot x \cdot \frac{2}{x} + (\frac{2}{x})^2 = x^2 - 4 + \frac{4}{x^2}$

Из этого равенства получаем:

$x^2 + \frac{4}{x^2} = y^2 + 4$

Теперь подставим полученные выражения в исходное уравнение:

$(y^2 + 4) - 7y = 4$

Упростим и решим полученное уравнение относительно $y$:

$y^2 - 7y + 4 - 4 = 0$

$y^2 - 7y = 0$

Вынесем общий множитель $y$ за скобку:

$y(y - 7) = 0$

Это уравнение имеет два корня: $y_1 = 0$ и $y_2 = 7$.

Теперь необходимо выполнить обратную замену для каждого найденного значения $y$, чтобы найти корни исходного уравнения по переменной $x$.

Случай 1: $y_1 = 0$

$x - \frac{2}{x} = 0$

Умножим обе части на $x$ (мы уже учли, что $x \neq 0$):

$x^2 - 2 = 0$

$x^2 = 2$

Корни этого уравнения: $x_1 = \sqrt{2}$ и $x_2 = -\sqrt{2}$.

Произведение этих двух корней равно: $x_1 \cdot x_2 = \sqrt{2} \cdot (-\sqrt{2}) = -2$.

Случай 2: $y_2 = 7$

$x - \frac{2}{x} = 7$

Снова умножим обе части на $x$:

$x^2 - 2 = 7x$

Перенесем все члены в левую часть, чтобы получить стандартное квадратное уравнение:

$x^2 - 7x - 2 = 0$

Для нахождения произведения корней этого уравнения ($x_3$ и $x_4$) нет необходимости их вычислять. Достаточно воспользоваться теоремой Виета. Для приведенного квадратного уравнения вида $x^2 + px + q = 0$, произведение корней равно свободному члену $q$.

В нашем случае $q = -2$, следовательно, произведение корней: $x_3 \cdot x_4 = -2$.

(Убедимся, что действительные корни существуют. Дискриминант $D = b^2 - 4ac = (-7)^2 - 4 \cdot 1 \cdot (-2) = 49 + 8 = 57$. Так как $D > 0$, уравнение имеет два различных действительных корня).

Итоговое произведение корней

Исходное уравнение имеет четыре корня: $x_1, x_2, x_3, x_4$. Чтобы найти их общее произведение, нужно перемножить произведения, найденные в каждом из двух случаев.

Произведение всех корней = $(x_1 \cdot x_2) \cdot (x_3 \cdot x_4) = (-2) \cdot (-2) = 4$.

Ответ: 4

Помогло решение? Оставьте отзыв в комментариях ниже.

Присоединяйтесь к Телеграм-группе @gdz_by_belarus

Присоединиться

Мы подготовили для вас ответ c подробным объяснением домашего задания по алгебре за 9 класс, для упражнения номер 3.54 расположенного на странице 153 к учебнику 2019 года издания для учащихся школ и гимназий.

Теперь на нашем сайте ГДЗ.ТОП вы всегда легко и бесплатно найдёте условие с правильным ответом на вопрос «Как решить ДЗ» и «Как сделать» задание по алгебре к упражнению №3.54 (с. 153), авторов: Арефьева (Ирина Глебовна), Пирютко (Ольга Николаевна), учебного пособия издательства Народная асвета.