Номер 3.68, страница 164 - гдз по алгебре 9 класс учебник Арефьева, Пирютко

Алгебра, 9 класс Учебник, авторы: Арефьева Ирина Глебовна, Пирютко Ольга Николаевна, издательство Народная асвета, Минск, 2019, голубого цвета

Авторы: Арефьева И. Г., Пирютко О. Н.

Тип: Учебник

Издательство: Народная асвета

Год издания: 2019 - 2026

Цвет обложки: голубой, синий с графиком

ISBN: 978-985-03-3077-2

Допущено Министерством образования Республики Беларусь

Популярные ГДЗ в 9 классе

Глава 3. Дробно-рациональные уравнения и неравенства. Параграф 11. Системы нелинейных уравнений - номер 3.68, страница 164.

№3.68 (с. 164)
Условие. №3.68 (с. 164)
скриншот условия
Алгебра, 9 класс Учебник, авторы: Арефьева Ирина Глебовна, Пирютко Ольга Николаевна, издательство Народная асвета, Минск, 2019, голубого цвета, страница 164, номер 3.68, Условие

3.68. Используйте алгоритм и решите систему уравнений способом подстановки:

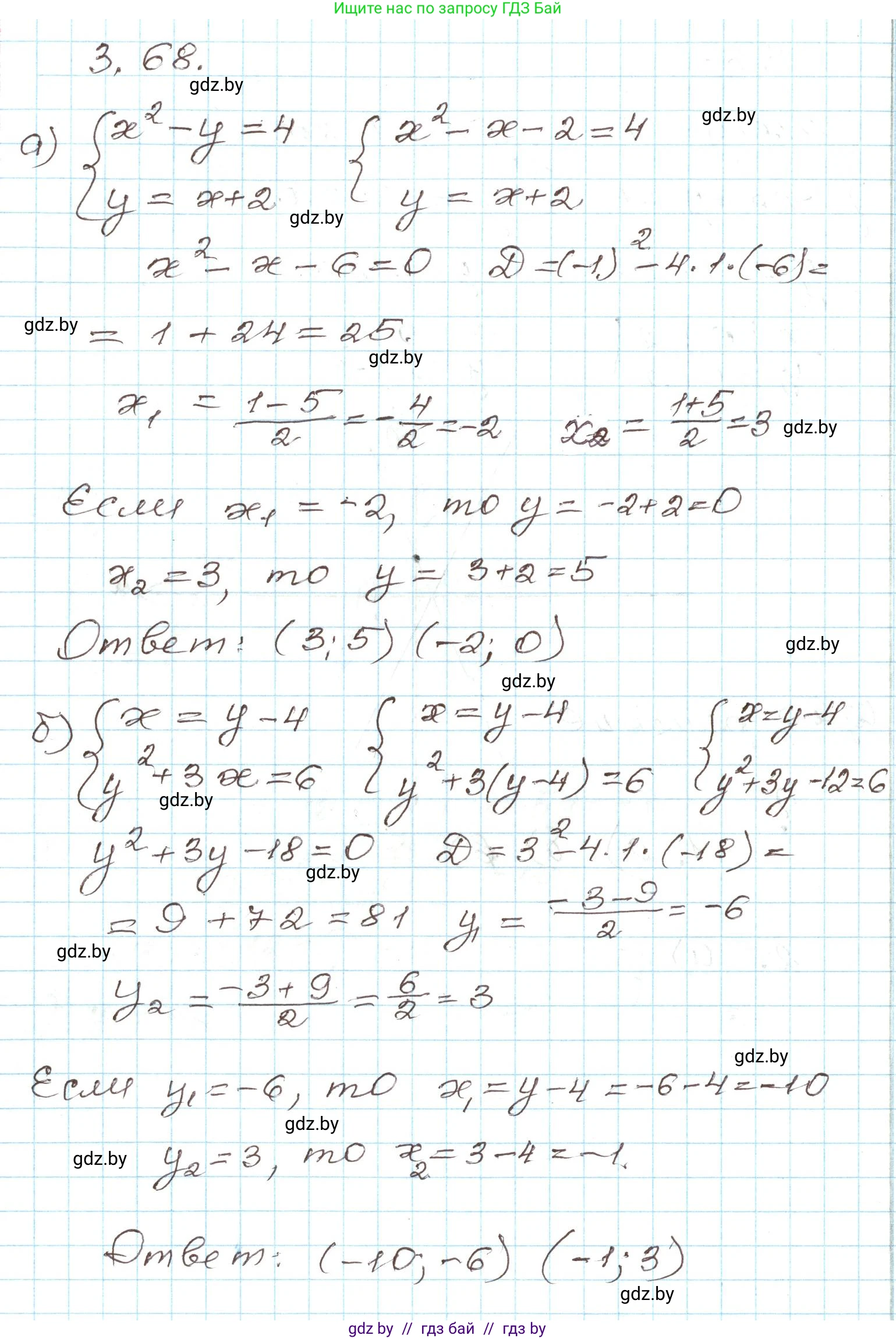
а) $\begin{cases} x^2 - y = 4, \\ y = x + 2; \end{cases}$

б) $\begin{cases} x = y - 4, \\ y^2 + 3x = 6; \end{cases}$

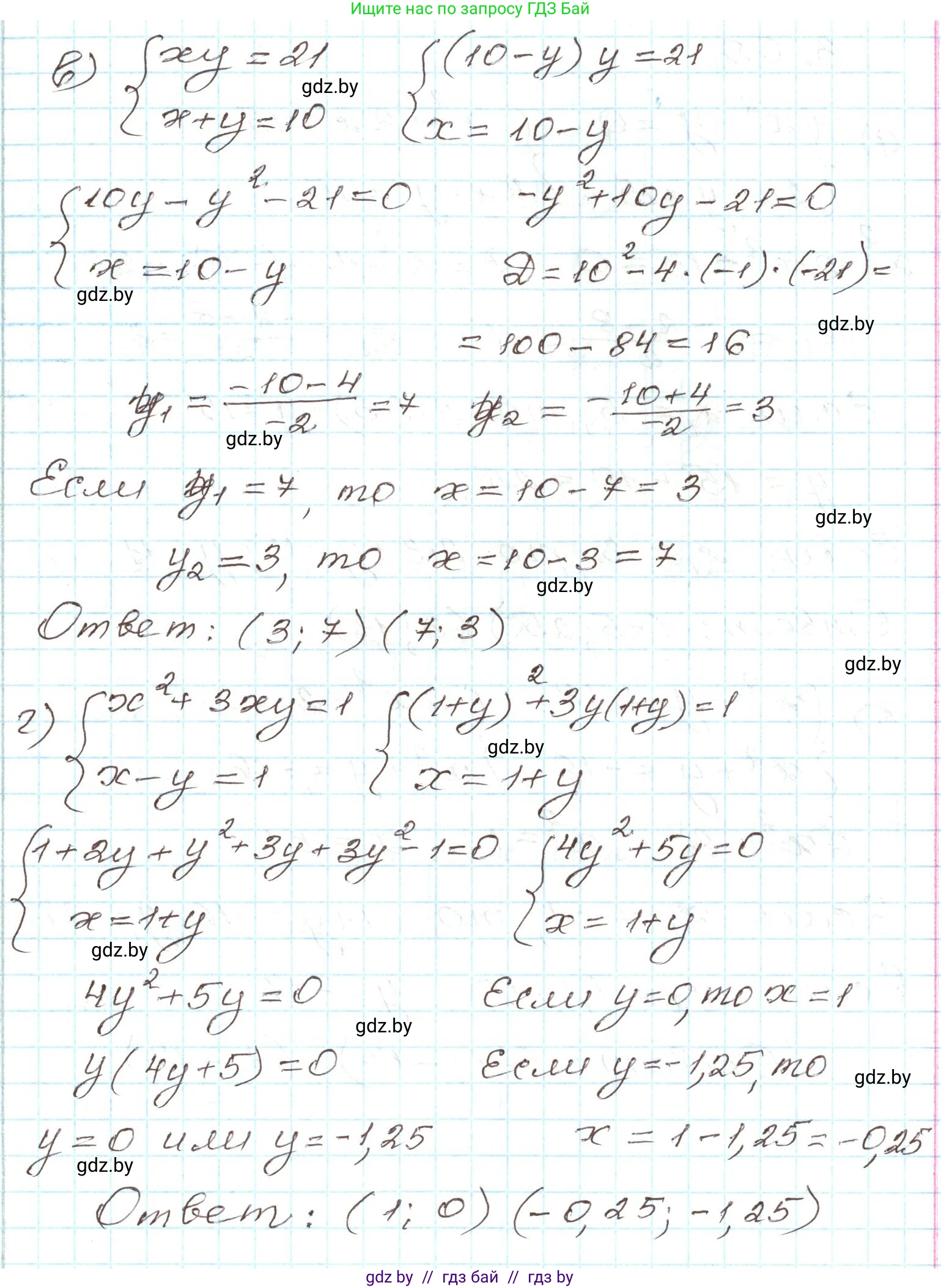
в) $\begin{cases} xy = 21, \\ x + y = 10; \end{cases}$

г) $\begin{cases} x^2 + 3xy = 1, \\ x - y = 1. \end{cases}$

Решение. №3.68 (с. 164)
Алгебра, 9 класс Учебник, авторы: Арефьева Ирина Глебовна, Пирютко Ольга Николаевна, издательство Народная асвета, Минск, 2019, голубого цвета, страница 164, номер 3.68, Решение Алгебра, 9 класс Учебник, авторы: Арефьева Ирина Глебовна, Пирютко Ольга Николаевна, издательство Народная асвета, Минск, 2019, голубого цвета, страница 164, номер 3.68, Решение (продолжение 2)
Решение 2. №3.68 (с. 164)

а) Дана система уравнений: $$ \begin{cases} x^2 - y = 4, \\ y = x + 2; \end{cases} $$ Используем метод подстановки. Подставим выражение для $y$ из второго уравнения в первое: $$x^2 - (x+2) = 4$$ Раскроем скобки и приведем подобные слагаемые, чтобы получить квадратное уравнение: $$x^2 - x - 2 = 4$$ $$x^2 - x - 6 = 0$$ Найдем корни этого уравнения с помощью дискриминанта $D = b^2 - 4ac$: $$D = (-1)^2 - 4 \cdot 1 \cdot (-6) = 1 + 24 = 25$$ $$x_1 = \frac{-(-1) + \sqrt{25}}{2 \cdot 1} = \frac{1+5}{2} = 3$$ $$x_2 = \frac{-(-1) - \sqrt{25}}{2 \cdot 1} = \frac{1-5}{2} = -2$$ Теперь найдем соответствующие значения $y$ для каждого найденного $x$, используя уравнение $y = x + 2$:
При $x_1 = 3$, $y_1 = 3 + 2 = 5$.
При $x_2 = -2$, $y_2 = -2 + 2 = 0$.
Таким образом, система имеет два решения.
Ответ: $(3; 5)$ и $(-2; 0)$.

б) Дана система уравнений: $$ \begin{cases} x = y - 4, \\ y^2 + 3x = 6; \end{cases} $$ Подставим выражение для $x$ из первого уравнения во второе: $$y^2 + 3(y - 4) = 6$$ Раскроем скобки и решим полученное квадратное уравнение относительно $y$: $$y^2 + 3y - 12 = 6$$ $$y^2 + 3y - 18 = 0$$ Найдем корни с помощью дискриминанта $D = b^2 - 4ac$: $$D = 3^2 - 4 \cdot 1 \cdot (-18) = 9 + 72 = 81$$ $$y_1 = \frac{-3 + \sqrt{81}}{2 \cdot 1} = \frac{-3+9}{2} = 3$$ $$y_2 = \frac{-3 - \sqrt{81}}{2 \cdot 1} = \frac{-3-9}{2} = -6$$ Найдем соответствующие значения $x$ для каждого $y$ по формуле $x = y - 4$:
При $y_1 = 3$, $x_1 = 3 - 4 = -1$.
При $y_2 = -6$, $x_2 = -6 - 4 = -10$.
Система имеет два решения.
Ответ: $(-1; 3)$ и $(-10; -6)$.

в) Дана система уравнений: $$ \begin{cases} xy = 21, \\ x + y = 10; \end{cases} $$ Выразим одну переменную через другую из второго уравнения, например, $y$: $$y = 10 - x$$ Подставим это выражение в первое уравнение: $$x(10 - x) = 21$$ Раскроем скобки и решим уравнение: $$10x - x^2 = 21$$ $$x^2 - 10x + 21 = 0$$ Это приведенное квадратное уравнение, корни которого можно найти по теореме Виета. Сумма корней равна 10, а их произведение равно 21. Легко подобрать корни: $x_1 = 3$ и $x_2 = 7$.
Найдем соответствующие значения $y$, используя $y = 10 - x$:
При $x_1 = 3$, $y_1 = 10 - 3 = 7$.
При $x_2 = 7$, $y_2 = 10 - 7 = 3$.
Система имеет два решения, которые являются симметричными парами.
Ответ: $(3; 7)$ и $(7; 3)$.

г) Дана система уравнений: $$ \begin{cases} x^2 + 3xy = 1, \\ x - y = 1. \end{cases} $$ Из второго уравнения выразим $x$: $$x = y + 1$$ Подставим это выражение в первое уравнение: $$(y+1)^2 + 3(y+1)y = 1$$ Раскроем скобки и упростим: $$(y^2 + 2y + 1) + (3y^2 + 3y) = 1$$ $$4y^2 + 5y + 1 = 1$$ $$4y^2 + 5y = 0$$ Это неполное квадратное уравнение. Вынесем $y$ за скобки: $$y(4y + 5) = 0$$ Отсюда получаем два возможных значения для $y$:
$y_1 = 0$ или $4y_2 + 5 = 0 \implies 4y_2 = -5 \implies y_2 = -\frac{5}{4}$.
Найдем соответствующие значения $x$ из $x = y + 1$:
При $y_1 = 0$, $x_1 = 0 + 1 = 1$.
При $y_2 = -\frac{5}{4}$, $x_2 = -\frac{5}{4} + 1 = -\frac{5}{4} + \frac{4}{4} = -\frac{1}{4}$.
В значении $y_2 = -\frac{5}{4}$ выделим целую часть: $-\frac{5}{4} = -1\frac{1}{4}$.
Таким образом, решениями системы являются две пары чисел.
Ответ: $(1; 0)$ и $(-\frac{1}{4}; -1\frac{1}{4})$.

Помогло решение? Оставьте отзыв в комментариях ниже.

Присоединяйтесь к Телеграм-группе @gdz_by_belarus

Присоединиться

Мы подготовили для вас ответ c подробным объяснением домашего задания по алгебре за 9 класс, для упражнения номер 3.68 расположенного на странице 164 к учебнику 2019 года издания для учащихся школ и гимназий.

Теперь на нашем сайте ГДЗ.ТОП вы всегда легко и бесплатно найдёте условие с правильным ответом на вопрос «Как решить ДЗ» и «Как сделать» задание по алгебре к упражнению №3.68 (с. 164), авторов: Арефьева (Ирина Глебовна), Пирютко (Ольга Николаевна), учебного пособия издательства Народная асвета.