Номер 3.69, страница 164 - гдз по алгебре 9 класс учебник Арефьева, Пирютко

Алгебра, 9 класс Учебник, авторы: Арефьева Ирина Глебовна, Пирютко Ольга Николаевна, издательство Народная асвета, Минск, 2019, голубого цвета

Авторы: Арефьева И. Г., Пирютко О. Н.

Тип: Учебник

Издательство: Народная асвета

Год издания: 2019 - 2026

Цвет обложки: голубой, синий с графиком

ISBN: 978-985-03-3077-2

Допущено Министерством образования Республики Беларусь

Популярные ГДЗ в 9 классе

Глава 3. Дробно-рациональные уравнения и неравенства. Параграф 11. Системы нелинейных уравнений - номер 3.69, страница 164.

№3.69 (с. 164)
Условие. №3.69 (с. 164)
скриншот условия
Алгебра, 9 класс Учебник, авторы: Арефьева Ирина Глебовна, Пирютко Ольга Николаевна, издательство Народная асвета, Минск, 2019, голубого цвета, страница 164, номер 3.69, Условие

3.69. Решите систему уравнений способом сложения:

а) $\begin{cases} x^2 - y = 0, \\ 2x + y = 15; \end{cases}$

б) $\begin{cases} x^2 - y = 18, \\ x^2 + y = -16; \end{cases}$

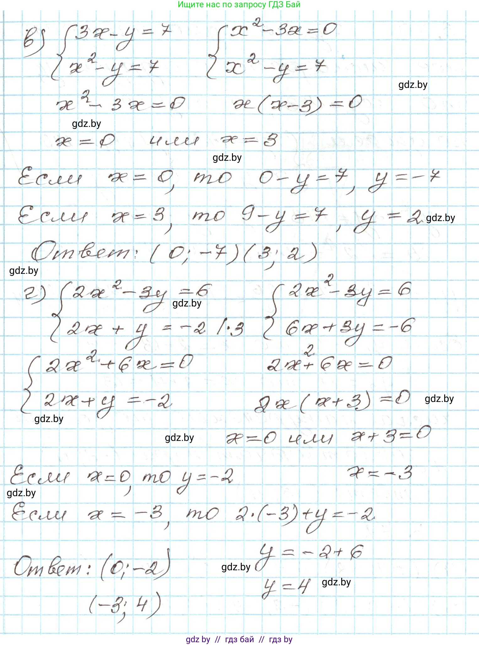
в) $\begin{cases} 3x - y = 7, \\ x^2 - y = 7; \end{cases}$

г) $\begin{cases} 2x^2 - 3y = 6, \\ 2x + y = -2. \end{cases}$

Решение. №3.69 (с. 164)
Алгебра, 9 класс Учебник, авторы: Арефьева Ирина Глебовна, Пирютко Ольга Николаевна, издательство Народная асвета, Минск, 2019, голубого цвета, страница 164, номер 3.69, Решение Алгебра, 9 класс Учебник, авторы: Арефьева Ирина Глебовна, Пирютко Ольга Николаевна, издательство Народная асвета, Минск, 2019, голубого цвета, страница 164, номер 3.69, Решение (продолжение 2)
Решение 2. №3.69 (с. 164)

а) Дана система уравнений:
$$ \begin{cases} x^2 - y = 0 \\ 2x + y = 15 \end{cases} $$
Метод сложения: сложим левые и правые части уравнений системы. Переменная $y$ имеет противоположные коэффициенты (-1 и 1), поэтому она сократится.
$(x^2 - y) + (2x + y) = 0 + 15$
$x^2 + 2x = 15$
Получили квадратное уравнение. Перенесем все в левую часть:
$x^2 + 2x - 15 = 0$
Найдем корни уравнения с помощью дискриминанта или по теореме Виета.
По теореме Виета: $x_1 + x_2 = -2$, $x_1 \cdot x_2 = -15$. Корни: $x_1 = 3$ и $x_2 = -5$.
Теперь найдем соответствующие значения $y$ для каждого найденного $x$. Подставим значения $x$ во второе уравнение $2x + y = 15$, откуда $y = 15 - 2x$.
1. Если $x_1 = 3$, то $y_1 = 15 - 2(3) = 15 - 6 = 9$.
2. Если $x_2 = -5$, то $y_2 = 15 - 2(-5) = 15 + 10 = 25$.
Таким образом, система имеет два решения.
Ответ: $(3, 9)$ и $(-5, 25)$.

б) Дана система уравнений:
$$ \begin{cases} x^2 - y = 18 \\ x^2 + y = -16 \end{cases} $$
Сложим два уравнения системы, чтобы исключить переменную $y$:
$(x^2 - y) + (x^2 + y) = 18 + (-16)$
$2x^2 = 2$
Разделим обе части на 2:
$x^2 = 1$
Отсюда $x$ имеет два значения: $x_1 = 1$ и $x_2 = -1$.
Найдем соответствующие значения $y$. Подставим $x^2 = 1$ во второе уравнение $x^2 + y = -16$:
$1 + y = -16$
$y = -16 - 1 = -17$.
Значение $y$ одинаково для обоих значений $x$.
Ответ: $(1, -17)$ и $(-1, -17)$.

в) Дана система уравнений:
$$ \begin{cases} 3x - y = 7 \\ x^2 - y = 7 \end{cases} $$
Для исключения переменной $y$ вычтем второе уравнение из первого (что равносильно умножению второго уравнения на -1 и сложению с первым):
$(3x - y) - (x^2 - y) = 7 - 7$
$3x - x^2 = 0$
Вынесем $x$ за скобки:
$x(3 - x) = 0$
Получаем два корня: $x_1 = 0$ и $x_2 = 3$.
Найдем соответствующие значения $y$, подставив $x$ в первое уравнение $3x - y = 7$, откуда $y = 3x - 7$.
1. Если $x_1 = 0$, то $y_1 = 3(0) - 7 = -7$.
2. Если $x_2 = 3$, то $y_2 = 3(3) - 7 = 9 - 7 = 2$.
Ответ: $(0, -7)$ и $(3, 2)$.

г) Дана система уравнений:
$$ \begin{cases} 2x^2 - 3y = 6 \\ 2x + y = -2 \end{cases} $$
Чтобы использовать метод сложения, умножим второе уравнение на 3. Это позволит получить противоположные коэффициенты при $y$.
$3(2x + y) = 3(-2)$
$6x + 3y = -6$
Теперь система выглядит так:
$$ \begin{cases} 2x^2 - 3y = 6 \\ 6x + 3y = -6 \end{cases} $$
Сложим уравнения:
$(2x^2 - 3y) + (6x + 3y) = 6 + (-6)$
$2x^2 + 6x = 0$
Вынесем общий множитель $2x$ за скобки:
$2x(x + 3) = 0$
Получаем два корня: $x_1 = 0$ и $x_2 = -3$.
Найдем соответствующие значения $y$, используя второе исходное уравнение $y = -2 - 2x$.
1. Если $x_1 = 0$, то $y_1 = -2 - 2(0) = -2$.
2. Если $x_2 = -3$, то $y_2 = -2 - 2(-3) = -2 + 6 = 4$.
Ответ: $(0, -2)$ и $(-3, 4)$.

Помогло решение? Оставьте отзыв в комментариях ниже.

Присоединяйтесь к Телеграм-группе @gdz_by_belarus

Присоединиться

Мы подготовили для вас ответ c подробным объяснением домашего задания по алгебре за 9 класс, для упражнения номер 3.69 расположенного на странице 164 к учебнику 2019 года издания для учащихся школ и гимназий.

Теперь на нашем сайте ГДЗ.ТОП вы всегда легко и бесплатно найдёте условие с правильным ответом на вопрос «Как решить ДЗ» и «Как сделать» задание по алгебре к упражнению №3.69 (с. 164), авторов: Арефьева (Ирина Глебовна), Пирютко (Ольга Николаевна), учебного пособия издательства Народная асвета.