Номер 3.76, страница 165 - гдз по алгебре 9 класс учебник Арефьева, Пирютко

Алгебра, 9 класс Учебник, авторы: Арефьева Ирина Глебовна, Пирютко Ольга Николаевна, издательство Народная асвета, Минск, 2019, голубого цвета

Авторы: Арефьева И. Г., Пирютко О. Н.

Тип: Учебник

Издательство: Народная асвета

Год издания: 2019 - 2026

Цвет обложки: голубой, синий с графиком

ISBN: 978-985-03-3077-2

Допущено Министерством образования Республики Беларусь

Популярные ГДЗ в 9 классе

Глава 3. Дробно-рациональные уравнения и неравенства. Параграф 11. Системы нелинейных уравнений - номер 3.76, страница 165.

№3.76 (с. 165)
Условие. №3.76 (с. 165)
скриншот условия
Алгебра, 9 класс Учебник, авторы: Арефьева Ирина Глебовна, Пирютко Ольга Николаевна, издательство Народная асвета, Минск, 2019, голубого цвета, страница 165, номер 3.76, Условие

3.76. Выберите способ и решите систему уравнений:

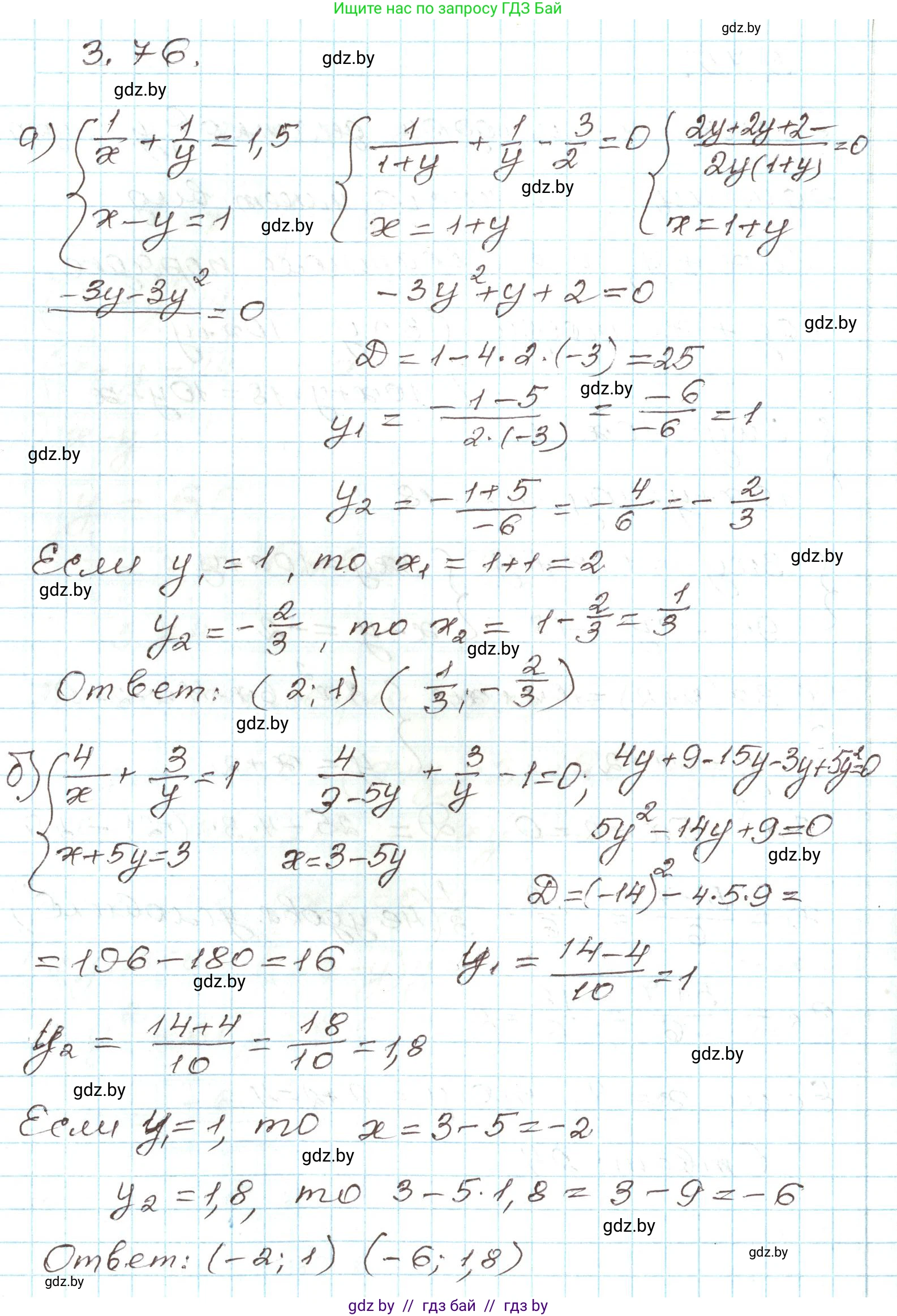
а) $\begin{cases} \frac{1}{x} + \frac{1}{y} = 1,5; \\ x - y = 1; \end{cases}$

б) $\begin{cases} \frac{4}{x} + \frac{3}{y} = 1, \\ x + 5y = 3; \end{cases}$

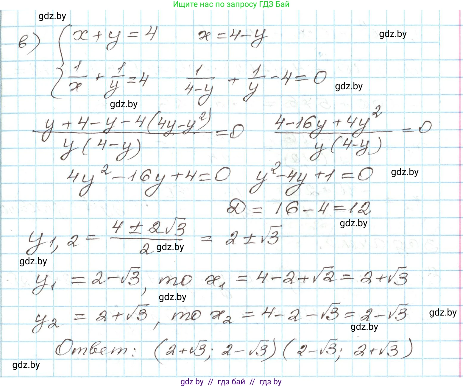
В) $\begin{cases} x + y = 4, \\ \frac{1}{x} + \frac{1}{y} = 4. \end{cases}$

Решение. №3.76 (с. 165)
Алгебра, 9 класс Учебник, авторы: Арефьева Ирина Глебовна, Пирютко Ольга Николаевна, издательство Народная асвета, Минск, 2019, голубого цвета, страница 165, номер 3.76, Решение Алгебра, 9 класс Учебник, авторы: Арефьева Ирина Глебовна, Пирютко Ольга Николаевна, издательство Народная асвета, Минск, 2019, голубого цвета, страница 165, номер 3.76, Решение (продолжение 2)
Решение 2. №3.76 (с. 165)

а) Решим систему уравнений, используя метод подстановки: $ \begin{cases} \frac{1}{x} + \frac{1}{y} = 1,5 \\ x - y = 1 \end{cases} $
Из второго уравнения выразим $x$: $x = y + 1$.
Подставим это выражение в первое уравнение системы: $ \frac{1}{y+1} + \frac{1}{y} = 1,5 $
Представим десятичную дробь $1,5$ в виде обыкновенной дроби $\frac{3}{2}$ и приведем левую часть уравнения к общему знаменателю $y(y+1)$: $ \frac{y + (y+1)}{y(y+1)} = \frac{3}{2} $
$ \frac{2y+1}{y^2+y} = \frac{3}{2} $
Применим основное свойство пропорции (при условии, что $y \ne 0$ и $y \ne -1$): $ 2(2y+1) = 3(y^2+y) $
Раскроем скобки и приведем подобные слагаемые: $ 4y + 2 = 3y^2 + 3y $
$ 3y^2 - y - 2 = 0 $
Решим полученное квадратное уравнение через дискриминант:
$D = b^2 - 4ac = (-1)^2 - 4 \cdot 3 \cdot (-2) = 1 + 24 = 25$
$y_1 = \frac{-b + \sqrt{D}}{2a} = \frac{1 + \sqrt{25}}{2 \cdot 3} = \frac{1+5}{6} = 1$
$y_2 = \frac{-b - \sqrt{D}}{2a} = \frac{1 - \sqrt{25}}{2 \cdot 3} = \frac{1-5}{6} = -\frac{4}{6} = -\frac{2}{3}$
Теперь найдем соответствующие значения $x$ для каждого $y$, используя формулу $x = y + 1$:
При $y_1 = 1$, $x_1 = 1 + 1 = 2$.
При $y_2 = -\frac{2}{3}$, $x_2 = -\frac{2}{3} + 1 = \frac{1}{3}$.
Таким образом, система имеет два решения.
Ответ: $(2; 1)$ и $(\frac{1}{3}; -\frac{2}{3})$.

б) Решим систему уравнений методом подстановки: $ \begin{cases} \frac{4}{x} + \frac{3}{y} = 1 \\ x + 5y = 3 \end{cases} $
Из второго уравнения выразим $x$: $x = 3 - 5y$.
Подставим это выражение в первое уравнение: $ \frac{4}{3-5y} + \frac{3}{y} = 1 $
Приведем левую часть к общему знаменателю $y(3-5y)$: $ \frac{4y + 3(3-5y)}{y(3-5y)} = 1 $
$ \frac{4y + 9 - 15y}{3y - 5y^2} = 1 $
$ \frac{9 - 11y}{3y - 5y^2} = 1 $
При условии, что $y \ne 0$ и $y \ne \frac{3}{5}$, получаем: $ 9 - 11y = 3y - 5y^2 $
Перенесем все члены в левую часть и приведем подобные: $ 5y^2 - 14y + 9 = 0 $
Решим квадратное уравнение:
$D = b^2 - 4ac = (-14)^2 - 4 \cdot 5 \cdot 9 = 196 - 180 = 16$
$y_1 = \frac{14 + \sqrt{16}}{2 \cdot 5} = \frac{14+4}{10} = \frac{18}{10} = \frac{9}{5}$
$y_2 = \frac{14 - \sqrt{16}}{2 \cdot 5} = \frac{14-4}{10} = \frac{10}{10} = 1$
Найдем соответствующие значения $x$ для каждого $y$, используя $x = 3 - 5y$:
При $y_1 = \frac{9}{5}$, $x_1 = 3 - 5 \cdot \frac{9}{5} = 3 - 9 = -6$.
При $y_2 = 1$, $x_2 = 3 - 5 \cdot 1 = -2$.
Дробь $\frac{9}{5}$ является неправильной, выделим из нее целую часть: $\frac{9}{5} = 1\frac{4}{5}$.
Ответ: $(-6; \mathbf{1}\frac{4}{5})$ и $(-2; 1)$.

в) Решим систему уравнений: $ \begin{cases} x + y = 4 \\ \frac{1}{x} + \frac{1}{y} = 4 \end{cases} $
Данная система является симметрической. Преобразуем второе уравнение, приведя его к общему знаменателю: $ \frac{y+x}{xy} = 4 $
Из первого уравнения известно, что $x+y=4$. Подставим это значение в преобразованное второе уравнение: $ \frac{4}{xy} = 4 $
Отсюда следует, что $xy = 1$ (при условии $x,y \ne 0$).
Теперь мы имеем более простую систему: $ \begin{cases} x + y = 4 \\ xy = 1 \end{cases} $
Согласно теореме, обратной теореме Виета, переменные $x$ и $y$ являются корнями квадратного уравнения вида $t^2 - (x+y)t + xy = 0$.
Подставив известные значения суммы и произведения, получаем: $ t^2 - 4t + 1 = 0 $
Решим это уравнение через дискриминант:
$D = b^2 - 4ac = (-4)^2 - 4 \cdot 1 \cdot 1 = 16 - 4 = 12$
$t = \frac{-b \pm \sqrt{D}}{2a} = \frac{4 \pm \sqrt{12}}{2} = \frac{4 \pm 2\sqrt{3}}{2} = 2 \pm \sqrt{3}$
Корнями уравнения являются $t_1 = 2 + \sqrt{3}$ и $t_2 = 2 - \sqrt{3}$.
Так как система симметрическая, то решениями являются две пары чисел.
Ответ: $(2 + \sqrt{3}; 2 - \sqrt{3})$ и $(2 - \sqrt{3}; 2 + \sqrt{3})$.

Помогло решение? Оставьте отзыв в комментариях ниже.

Присоединяйтесь к Телеграм-группе @gdz_by_belarus

Присоединиться

Мы подготовили для вас ответ c подробным объяснением домашего задания по алгебре за 9 класс, для упражнения номер 3.76 расположенного на странице 165 к учебнику 2019 года издания для учащихся школ и гимназий.

Теперь на нашем сайте ГДЗ.ТОП вы всегда легко и бесплатно найдёте условие с правильным ответом на вопрос «Как решить ДЗ» и «Как сделать» задание по алгебре к упражнению №3.76 (с. 165), авторов: Арефьева (Ирина Глебовна), Пирютко (Ольга Николаевна), учебного пособия издательства Народная асвета.