Номер 3.77, страница 165 - гдз по алгебре 9 класс учебник Арефьева, Пирютко

Алгебра, 9 класс Учебник, авторы: Арефьева Ирина Глебовна, Пирютко Ольга Николаевна, издательство Народная асвета, Минск, 2019, голубого цвета

Авторы: Арефьева И. Г., Пирютко О. Н.

Тип: Учебник

Издательство: Народная асвета

Год издания: 2019 - 2026

Цвет обложки: голубой, синий с графиком

ISBN: 978-985-03-3077-2

Допущено Министерством образования Республики Беларусь

Популярные ГДЗ в 9 классе

Глава 3. Дробно-рациональные уравнения и неравенства. Параграф 11. Системы нелинейных уравнений - номер 3.77, страница 165.

№3.77 (с. 165)
Условие. №3.77 (с. 165)
скриншот условия
Алгебра, 9 класс Учебник, авторы: Арефьева Ирина Глебовна, Пирютко Ольга Николаевна, издательство Народная асвета, Минск, 2019, голубого цвета, страница 165, номер 3.77, Условие Алгебра, 9 класс Учебник, авторы: Арефьева Ирина Глебовна, Пирютко Ольга Николаевна, издательство Народная асвета, Минск, 2019, голубого цвета, страница 165, номер 3.77, Условие (продолжение 2)

3.77. Решите задачу, используя зависимости между значениями величин для составления системы уравнений.

а) Первый велосипедист преодолевает расстояние 60 км на 1 ч быстрее, чем второй. Если бы первый велосипедист уменьшил скорость на $2 \frac{км}{ч}$, а второй увеличил свою скорость на $20 \%$, то они затратили бы на тот же путь одинаковое время. Найдите скорости велосипедистов.

б) Протяженность шоссе между городами A и B составляет 120 км. Из города A выехал грузовой автомобиль, а через 1 ч 40 мин после этого в том же направлении выехал рейсовый автобус, который прибыл в город B одновременно с грузовым автомобилем. Найдите скорость грузового автомобиля и автобуса, если известно, что грузовой автомобиль за 2 ч проезжает на 10 км меньше, чем автобус за 1 ч.

в) Две линии по производству соков должны были выполнить заказ за 12 дней. После 8 дней совместной работы первая линия была остановлена по техническим причинам, поэтому вторая линия закончила оставшуюся часть заказа за 7 дней. Найдите, за сколько дней был бы выполнен заказ, если бы работала только вторая линия.

г) На изготовление партии продукции первой бригаде требуется на 6 ч больше, чем второй. Если сначала первая бригада отработает 3 ч, а затем, сменив ее, вторая бригада отработает 4 ч, то будет изготовлена только половина партии продукции. Будет ли за 8-часовую смену изготовлена вся партия продукции, если обе бригады будут работать одновременно?

Решение. №3.77 (с. 165)
Алгебра, 9 класс Учебник, авторы: Арефьева Ирина Глебовна, Пирютко Ольга Николаевна, издательство Народная асвета, Минск, 2019, голубого цвета, страница 165, номер 3.77, Решение Алгебра, 9 класс Учебник, авторы: Арефьева Ирина Глебовна, Пирютко Ольга Николаевна, издательство Народная асвета, Минск, 2019, голубого цвета, страница 165, номер 3.77, Решение (продолжение 2)
Решение 2. №3.77 (с. 165)

а) Пусть $x$ км/ч - скорость первого велосипедиста, а $y$ км/ч - скорость второго велосипедиста. Расстояние равно 60 км.

Время, которое тратит первый велосипедист на путь: $t_1 = \frac{60}{x}$ ч.

Время, которое тратит второй велосипедист на путь: $t_2 = \frac{60}{y}$ ч.

По условию, первый велосипедист проезжает расстояние на 1 час быстрее, чем второй:

$t_2 - t_1 = 1 \implies \frac{60}{y} - \frac{60}{x} = 1$. Это первое уравнение системы.

По второму условию, если скорость первого уменьшится на 2 км/ч, она станет $(x-2)$ км/ч. А скорость второго увеличится на 20%, то есть станет $y + 0.2y = 1.2y$ км/ч. В этом случае они затратят одинаковое время:

$\frac{60}{x-2} = \frac{60}{1.2y}$. Это второе уравнение системы.

Составим и решим систему уравнений:

$$ \begin{cases} \frac{60}{y} - \frac{60}{x} = 1 \\ \frac{60}{x-2} = \frac{60}{1.2y} \end{cases} $$

Из второго уравнения (разделив обе части на 60) получаем:

$x-2 = 1.2y \implies x = 1.2y + 2$.

Подставим это выражение для $x$ в первое уравнение:

$\frac{60}{y} - \frac{60}{1.2y+2} = 1$.

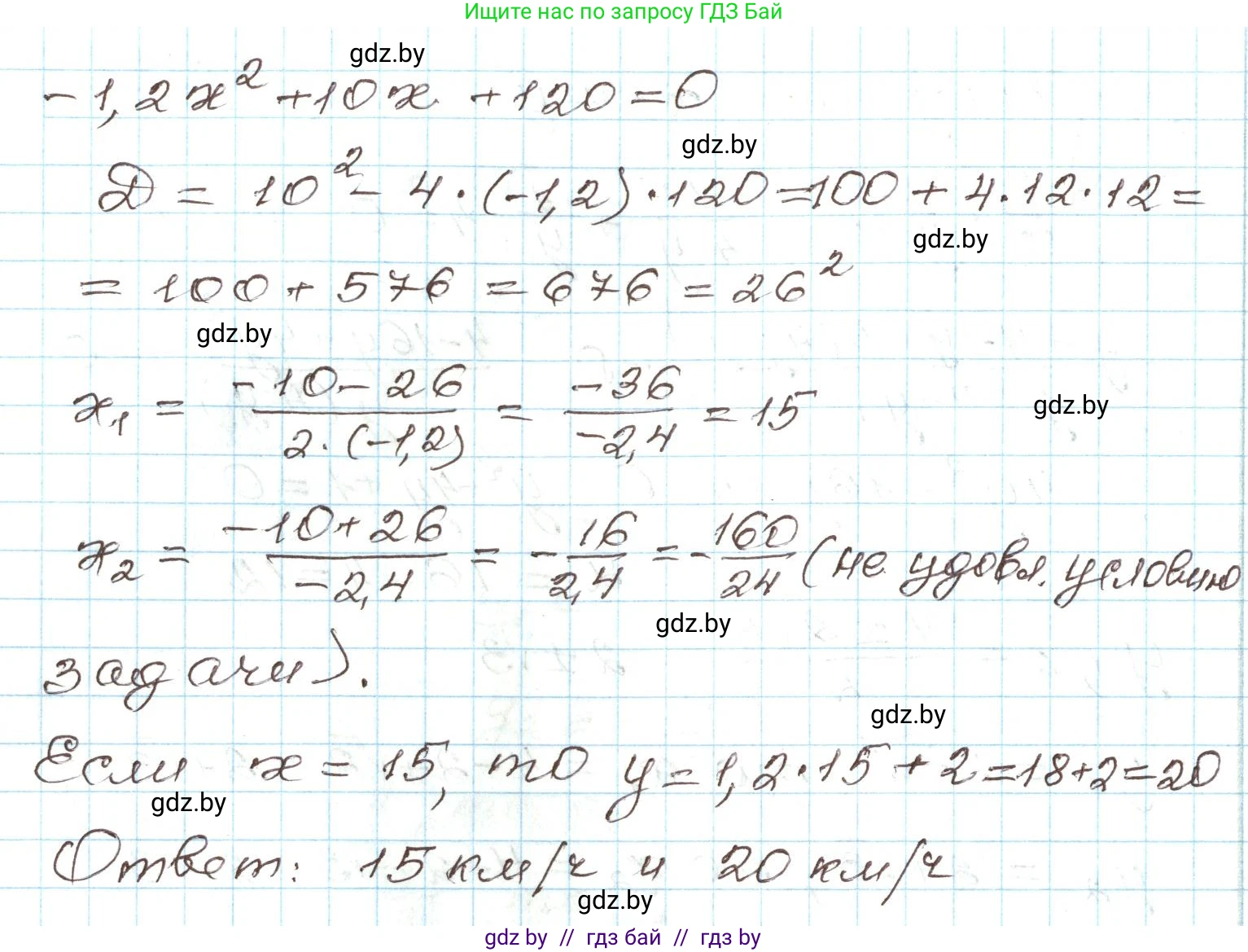
Умножим обе части на $y(1.2y+2)$:

$60(1.2y+2) - 60y = y(1.2y+2)$

$72y + 120 - 60y = 1.2y^2 + 2y$

$12y + 120 = 1.2y^2 + 2y$

$1.2y^2 - 10y - 120 = 0$

Умножим на 10, чтобы избавиться от дроби, и разделим на 4 для упрощения:

$12y^2 - 100y - 1200 = 0$

$3y^2 - 25y - 300 = 0$

Решим квадратное уравнение с помощью дискриминанта:

$D = b^2 - 4ac = (-25)^2 - 4(3)(-300) = 625 + 3600 = 4225 = 65^2$.

$y = \frac{-b \pm \sqrt{D}}{2a} = \frac{25 \pm 65}{6}$.

$y_1 = \frac{25+65}{6} = \frac{90}{6} = 15$.

$y_2 = \frac{25-65}{6} = -\frac{40}{6}$ (не подходит, так как скорость не может быть отрицательной).

Итак, скорость второго велосипедиста $y = 15$ км/ч.

Найдем скорость первого велосипедиста:

$x = 1.2y + 2 = 1.2 \cdot 15 + 2 = 18 + 2 = 20$ км/ч.

Ответ: скорость первого велосипедиста 20 км/ч, скорость второго велосипедиста 15 км/ч.

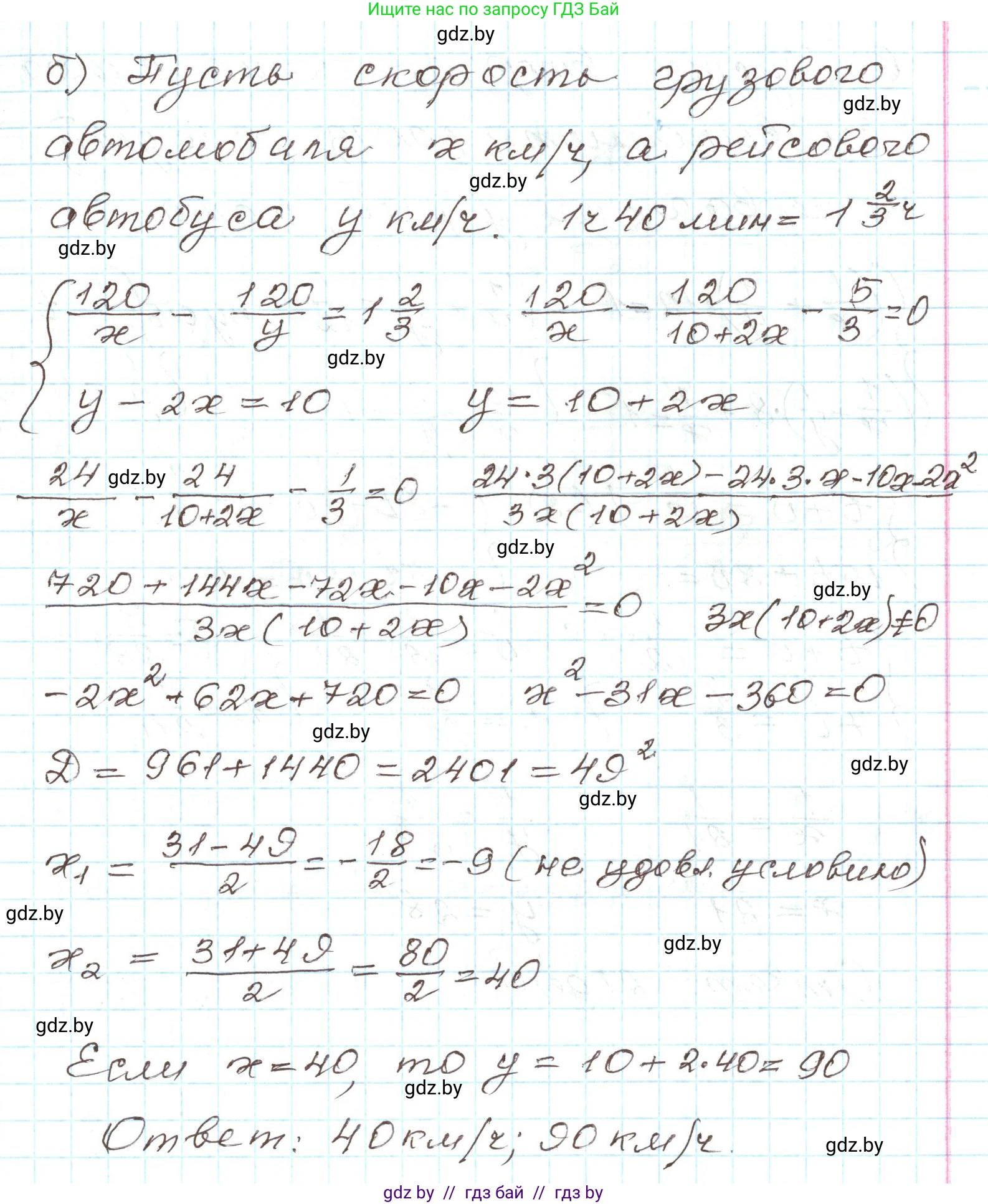
б) Пусть $v_г$ км/ч - скорость грузового автомобиля, а $v_а$ км/ч - скорость автобуса. Расстояние равно 120 км.

Время в пути для грузовика: $t_г = \frac{120}{v_г}$ ч.

Время в пути для автобуса: $t_а = \frac{120}{v_а}$ ч.

Автобус выехал на 1 ч 40 мин позже грузовика и прибыл одновременно. 1 ч 40 мин = $1 + \frac{40}{60} = 1 + \frac{2}{3} = \frac{5}{3}$ часа. Значит, автобус был в пути на $\frac{5}{3}$ часа меньше.

$t_г - t_а = \frac{5}{3} \implies \frac{120}{v_г} - \frac{120}{v_а} = \frac{5}{3}$. Это первое уравнение.

По второму условию, грузовой автомобиль за 2 ч проезжает на 10 км меньше, чем автобус за 1 ч.

Расстояние грузовика за 2 ч: $2v_г$.

Расстояние автобуса за 1 ч: $1v_а$.

$2v_г = v_а - 10 \implies v_а = 2v_г + 10$. Это второе уравнение.

Составим и решим систему уравнений:

$$ \begin{cases} \frac{120}{v_г} - \frac{120}{v_а} = \frac{5}{3} \\ v_а = 2v_г + 10 \end{cases} $$

Подставим второе уравнение в первое:

$\frac{120}{v_г} - \frac{120}{2v_г+10} = \frac{5}{3}$.

Разделим обе части на 5:

$\frac{24}{v_г} - \frac{24}{2v_г+10} = \frac{1}{3}$.

Умножим обе части на $3v_г(2v_г+10)$:

$24 \cdot 3(2v_г+10) - 24 \cdot 3v_г = v_г(2v_г+10)$

$72(2v_г+10) - 72v_г = 2v_г^2 + 10v_г$

$144v_г + 720 - 72v_г = 2v_г^2 + 10v_г$

$72v_г + 720 = 2v_г^2 + 10v_г$

$2v_г^2 - 62v_г - 720 = 0$

Разделим на 2:

$v_г^2 - 31v_г - 360 = 0$

Решим квадратное уравнение:

$D = (-31)^2 - 4(1)(-360) = 961 + 1440 = 2401 = 49^2$.

$v_г = \frac{31 \pm 49}{2}$.

$(v_г)_1 = \frac{31+49}{2} = \frac{80}{2} = 40$.

$(v_г)_2 = \frac{31-49}{2} = -9$ (не подходит).

Итак, скорость грузового автомобиля $v_г = 40$ км/ч.

Найдем скорость автобуса:

$v_а = 2v_г + 10 = 2 \cdot 40 + 10 = 80 + 10 = 90$ км/ч.

Ответ: скорость грузового автомобиля 40 км/ч, скорость автобуса 90 км/ч.

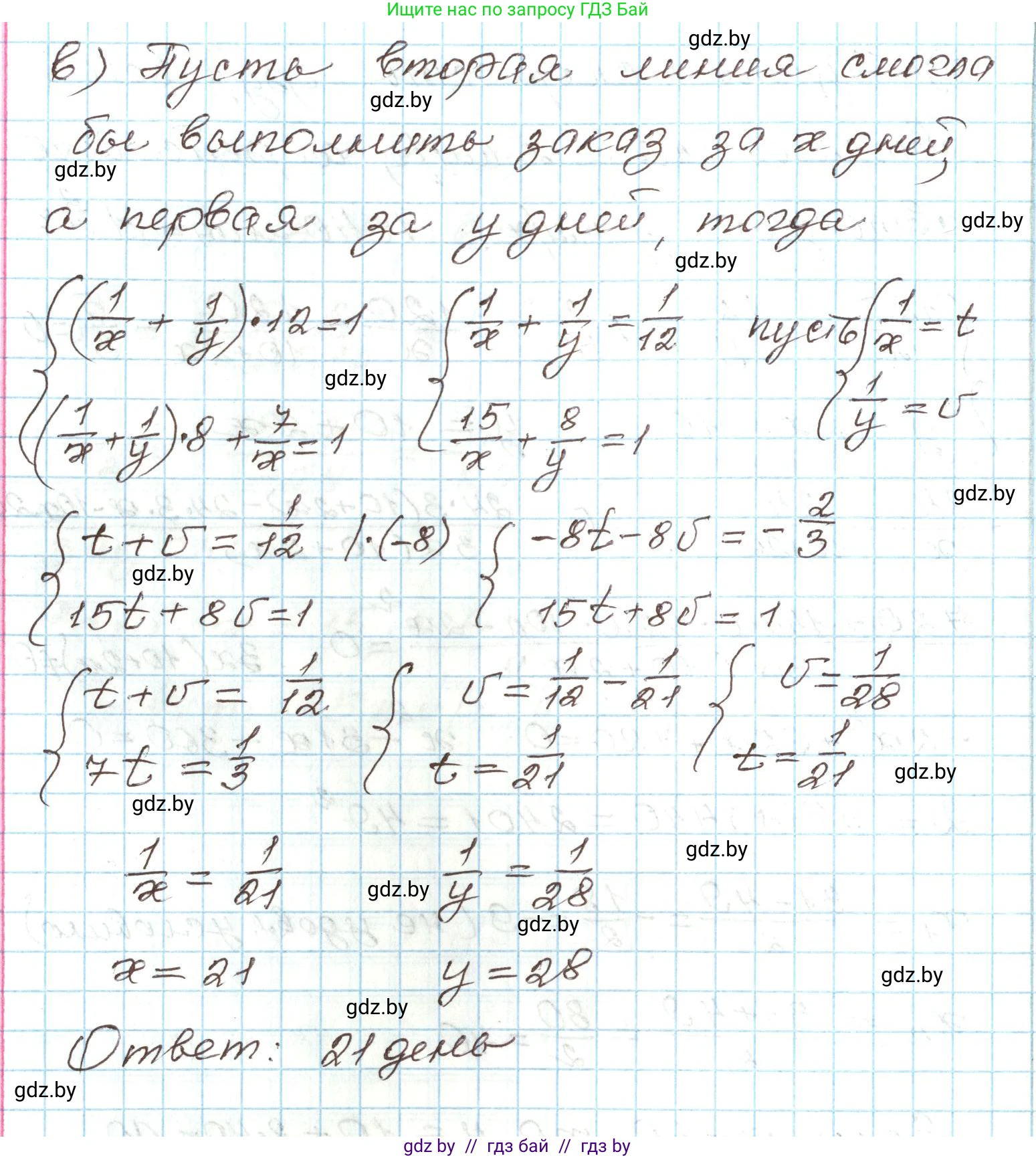
в) Пусть весь заказ равен 1. Пусть $p_1$ - производительность первой линии (часть заказа в день), а $p_2$ - производительность второй линии.

По первому условию, две линии вместе должны были выполнить заказ за 12 дней. Это значит, что их совместная производительность равна $\frac{1}{12}$ заказа в день.

$p_1 + p_2 = \frac{1}{12}$.

Линии работали вместе 8 дней. За это время они выполнили часть заказа:

$W_{совм} = (p_1 + p_2) \cdot 8 = \frac{1}{12} \cdot 8 = \frac{8}{12} = \frac{2}{3}$ всего заказа.

Оставшаяся часть заказа:

$W_{ост} = 1 - \frac{2}{3} = \frac{1}{3}$.

Эту оставшуюся часть вторая линия закончила за 7 дней, работая в одиночку. Отсюда можем найти производительность второй линии:

$W_{ост} = p_2 \cdot 7 \implies \frac{1}{3} = 7p_2$.

$p_2 = \frac{1}{3 \cdot 7} = \frac{1}{21}$ заказа в день.

Вопрос задачи: за сколько дней был бы выполнен заказ, если бы работала только вторая линия. Это время $T_2$ можно найти, разделив весь заказ (1) на производительность второй линии ($p_2$):

$T_2 = \frac{1}{p_2} = \frac{1}{1/21} = 21$ день.

Ответ: если бы работала только вторая линия, заказ был бы выполнен за 21 день.

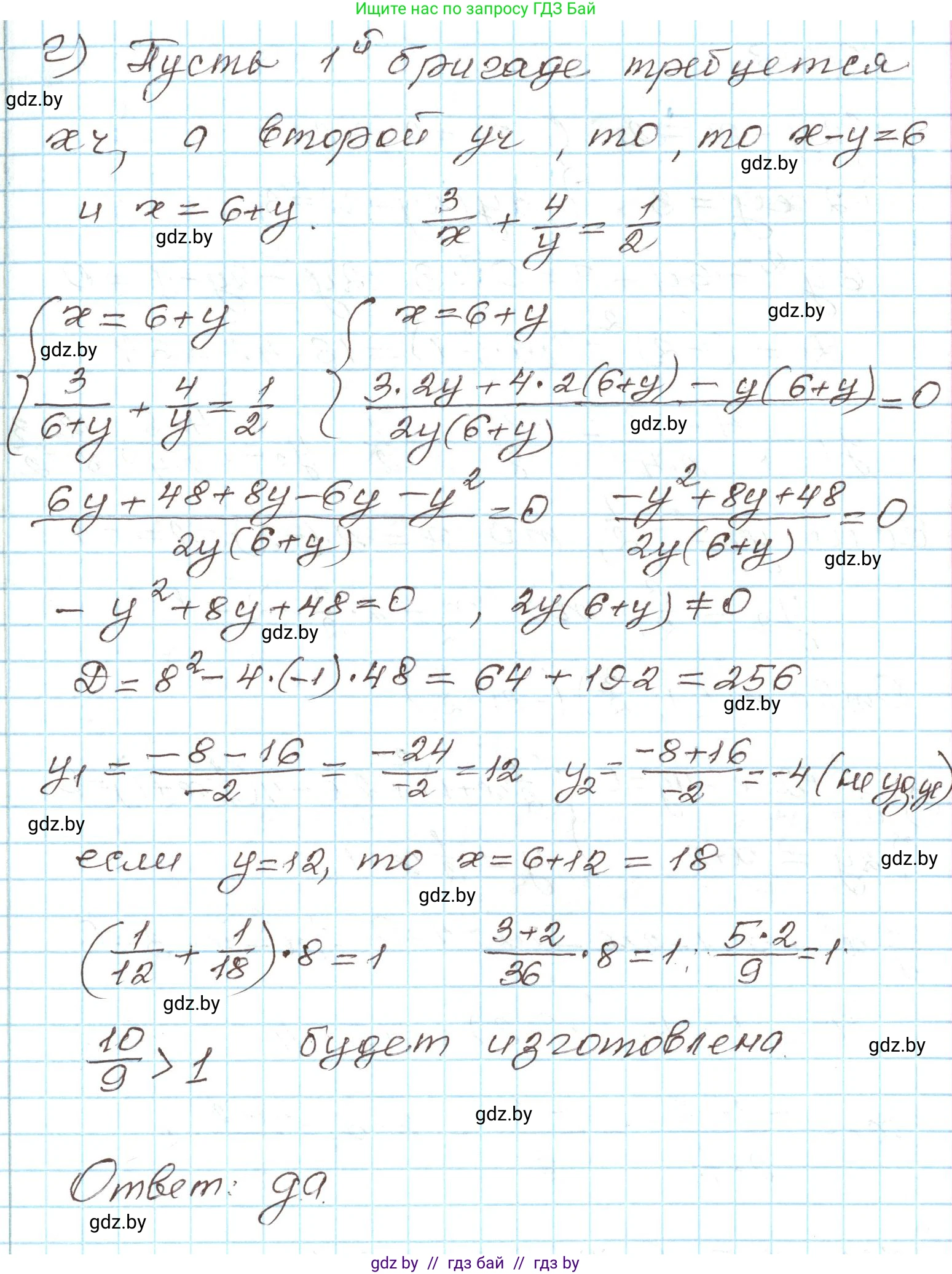
г) Пусть вся партия продукции равна 1. Пусть $t_1$ ч - время, за которое первая бригада изготовит всю партию, а $t_2$ ч - время для второй бригады.

Тогда производительность первой бригады $p_1 = \frac{1}{t_1}$, а второй - $p_2 = \frac{1}{t_2}$ (часть партии в час).

По условию, первой бригаде требуется на 6 ч больше, чем второй:

$t_1 = t_2 + 6$.

По второму условию, если первая бригада отработает 3 ч, а затем вторая - 4 ч, будет изготовлена половина партии:

$3p_1 + 4p_2 = \frac{1}{2}$.

Составим систему. Удобнее работать со временем $t_1$ и $t_2$. Перепишем второе уравнение:

$\frac{3}{t_1} + \frac{4}{t_2} = \frac{1}{2}$.

Подставим $t_1 = t_2 + 6$ в это уравнение:

$\frac{3}{t_2+6} + \frac{4}{t_2} = \frac{1}{2}$.

Приведем к общему знаменателю $2t_2(t_2+6)$:

$3 \cdot 2t_2 + 4 \cdot 2(t_2+6) = t_2(t_2+6)$

$6t_2 + 8t_2 + 48 = t_2^2 + 6t_2$

$14t_2 + 48 = t_2^2 + 6t_2$

$t_2^2 - 8t_2 - 48 = 0$.

По теореме Виета или через дискриминант находим корни. Корни: 12 и -4.

$t_2 = 12$ (так как время не может быть отрицательным).

$t_2 = -4$ (не подходит).

Время работы второй бригады $t_2 = 12$ часов. Время работы первой бригады $t_1 = 12 + 6 = 18$ часов.

Теперь ответим на главный вопрос: будет ли за 8-часовую смену изготовлена вся партия, если обе бригады будут работать одновременно?

Найдем их совместную производительность:

$p_{совм} = p_1 + p_2 = \frac{1}{18} + \frac{1}{12}$.

Общий знаменатель 36:

$p_{совм} = \frac{2}{36} + \frac{3}{36} = \frac{5}{36}$ партии в час.

Найдем время $T_{совм}$, необходимое для изготовления всей партии (1):

$T_{совм} = \frac{1}{p_{совм}} = \frac{1}{5/36} = \frac{36}{5}$ часа.

Переведем в смешанную дробь: $\frac{36}{5} = 7 \frac{1}{5}$ часа. Это равно 7 часам и 12 минутам.

Сравним это время с 8-часовой сменой: $7 \frac{1}{5} < 8$.

Так как требуемое время меньше 8 часов, бригады успеют изготовить всю партию.

Ответ: Да, будет. Время совместной работы для изготовления всей партии составит $\frac{36}{5} = \mathbf{7}\frac{1}{5}$ часа, что меньше 8 часов.

Помогло решение? Оставьте отзыв в комментариях ниже.

Присоединяйтесь к Телеграм-группе @gdz_by_belarus

Присоединиться

Мы подготовили для вас ответ c подробным объяснением домашего задания по алгебре за 9 класс, для упражнения номер 3.77 расположенного на странице 165 к учебнику 2019 года издания для учащихся школ и гимназий.

Теперь на нашем сайте ГДЗ.ТОП вы всегда легко и бесплатно найдёте условие с правильным ответом на вопрос «Как решить ДЗ» и «Как сделать» задание по алгебре к упражнению №3.77 (с. 165), авторов: Арефьева (Ирина Глебовна), Пирютко (Ольга Николаевна), учебного пособия издательства Народная асвета.