Номер 3.82, страница 167 - гдз по алгебре 9 класс учебник Арефьева, Пирютко

Алгебра, 9 класс Учебник, авторы: Арефьева Ирина Глебовна, Пирютко Ольга Николаевна, издательство Народная асвета, Минск, 2019, голубого цвета

Авторы: Арефьева И. Г., Пирютко О. Н.

Тип: Учебник

Издательство: Народная асвета

Год издания: 2019 - 2026

Цвет обложки: голубой, синий с графиком

ISBN: 978-985-03-3077-2

Допущено Министерством образования Республики Беларусь

Популярные ГДЗ в 9 классе

Глава 3. Дробно-рациональные уравнения и неравенства. Параграф 11. Системы нелинейных уравнений - номер 3.82, страница 167.

№3.82 (с. 167)
Условие. №3.82 (с. 167)
скриншот условия
Алгебра, 9 класс Учебник, авторы: Арефьева Ирина Глебовна, Пирютко Ольга Николаевна, издательство Народная асвета, Минск, 2019, голубого цвета, страница 167, номер 3.82, Условие

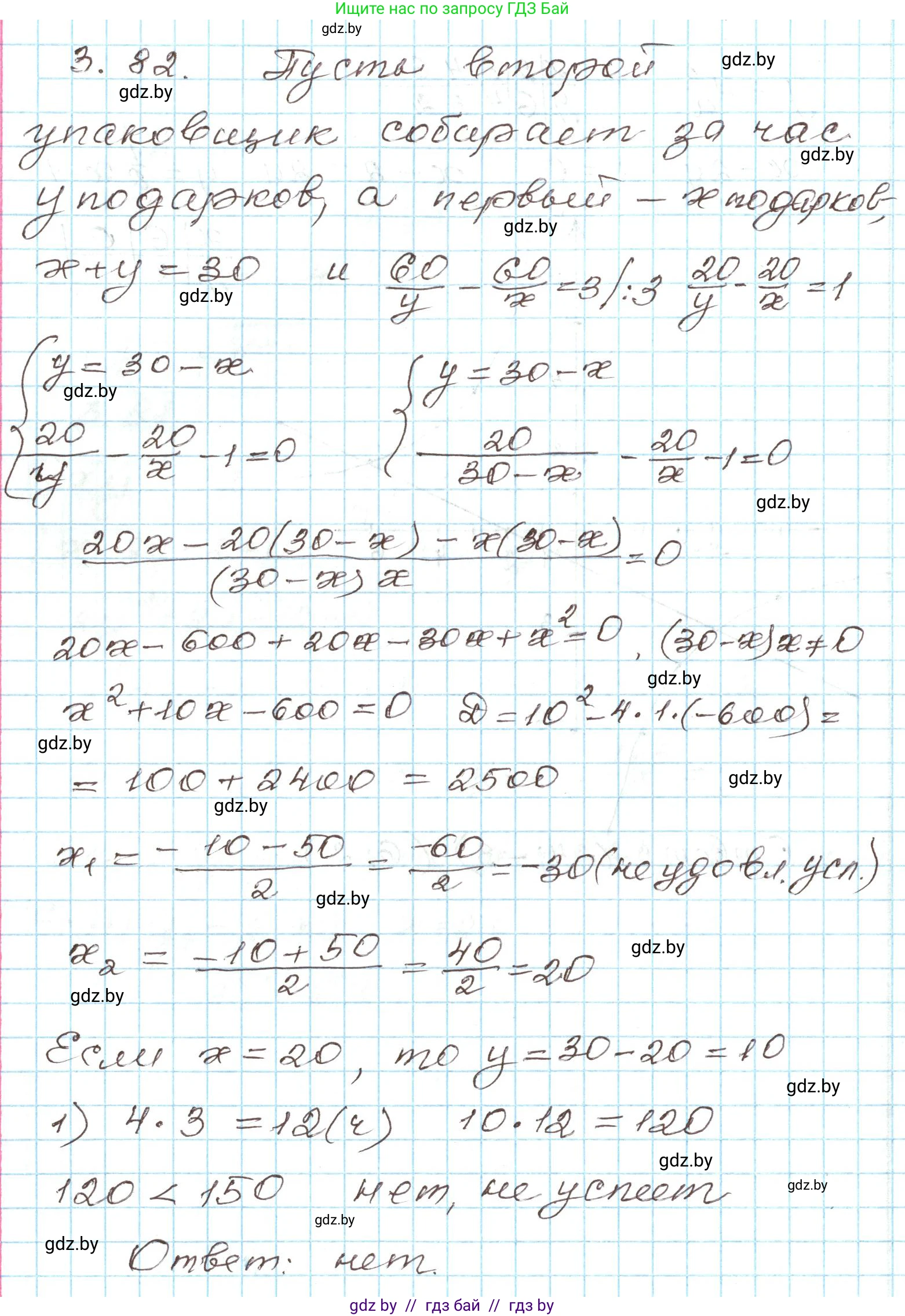
3.82. Первый упаковщик собрал 60 праздничных наборов на 3 ч быстрее второго. Известно, что, работая вместе, они собирают за 1 ч 30 наборов. Выясните, успеет ли второй упаковщик собрать 150 наборов за три рабочих дня, если он работает по 4 ч в день.

Решение. №3.82 (с. 167)
Алгебра, 9 класс Учебник, авторы: Арефьева Ирина Глебовна, Пирютко Ольга Николаевна, издательство Народная асвета, Минск, 2019, голубого цвета, страница 167, номер 3.82, Решение
Решение 2. №3.82 (с. 167)

Для решения задачи необходимо определить производительность каждого упаковщика, а затем сравнить необходимое для выполнения заказа время с доступным рабочим временем.

1. Определение производительности упаковщиков

Пусть $v_1$ — производительность первого упаковщика (наборов в час), а $v_2$ — производительность второго упаковщика (наборов в час).

Исходя из условий задачи, составим систему уравнений:

  1. Первый упаковщик собрал 60 наборов на 3 часа быстрее второго:
    $\frac{60}{v_1} = \frac{60}{v_2} - 3$
  2. Работая вместе, они собирают 30 наборов за 1 час, следовательно, их общая производительность составляет 30 наборов/час:
    $v_1 + v_2 = 30$

Решим эту систему. Из второго уравнения выразим $v_1 = 30 - v_2$ и подставим в первое:

$\frac{60}{30 - v_2} = \frac{60}{v_2} - 3$

Приведем к общему знаменателю $v_2(30 - v_2)$:

$60v_2 = 60(30 - v_2) - 3v_2(30 - v_2)$

$60v_2 = 1800 - 60v_2 - 90v_2 + 3v_2^2$

Перенесем все члены в одну сторону и приведем подобные слагаемые:

$3v_2^2 - 210v_2 + 1800 = 0$

Разделим обе части на 3:

$v_2^2 - 70v_2 + 600 = 0$

Решим квадратное уравнение через дискриминант $D = b^2 - 4ac$:

$D = (-70)^2 - 4 \cdot 1 \cdot 600 = 4900 - 2400 = 2500 = 50^2$

Находим возможные значения для $v_2$:

$v_{2,1} = \frac{70 - 50}{2} = 10$

$v_{2,2} = \frac{70 + 50}{2} = 60$

Проверяем полученные значения:

  • Если $v_2 = 60$, то $v_1 = 30 - 60 = -30$. Производительность не может быть отрицательной, этот корень не подходит.
  • Если $v_2 = 10$, то $v_1 = 30 - 10 = 20$. Этот корень является верным.

Ответ: Производительность первого упаковщика — 20 наборов/час, а второго — 10 наборов/час.

2. Проверка возможности выполнения работы вторым упаковщиком

Определим, успеет ли второй упаковщик собрать 150 наборов.

Сначала найдем общее доступное рабочее время:

$T_{доступное} = 3 \text{ дня} \times 4 \text{ часа/день} = 12 \text{ часов}$

Теперь найдем время, необходимое второму упаковщику для сборки 150 наборов:

$T_{необходимое} = \frac{150 \text{ наборов}}{10 \text{ наборов/час}} = 15 \text{ часов}$

Сравним необходимое и доступное время: $15 > 12$.

Поскольку необходимое время больше доступного, второй упаковщик не успеет выполнить работу в срок. Найдем отношение необходимого времени к доступному. Это отношение выражается неправильной дробью:

$\frac{15}{12} = \frac{5}{4} = 1\frac{1}{4}$

Ответ: Нет, второй упаковщик не успеет. Ему потребуется 15 часов, а в его распоряжении только 12. Целая часть, выделенная из неправильной дроби $\frac{5}{4}$, которая показывает отношение необходимого времени к доступному, равна 1.

Помогло решение? Оставьте отзыв в комментариях ниже.

Присоединяйтесь к Телеграм-группе @gdz_by_belarus

Присоединиться

Мы подготовили для вас ответ c подробным объяснением домашего задания по алгебре за 9 класс, для упражнения номер 3.82 расположенного на странице 167 к учебнику 2019 года издания для учащихся школ и гимназий.

Теперь на нашем сайте ГДЗ.ТОП вы всегда легко и бесплатно найдёте условие с правильным ответом на вопрос «Как решить ДЗ» и «Как сделать» задание по алгебре к упражнению №3.82 (с. 167), авторов: Арефьева (Ирина Глебовна), Пирютко (Ольга Николаевна), учебного пособия издательства Народная асвета.