Номер 4.115, страница 229 - гдз по алгебре 9 класс учебник Арефьева, Пирютко

Алгебра, 9 класс Учебник, авторы: Арефьева Ирина Глебовна, Пирютко Ольга Николаевна, издательство Народная асвета, Минск, 2019, голубого цвета

Авторы: Арефьева И. Г., Пирютко О. Н.

Тип: Учебник

Издательство: Народная асвета

Год издания: 2019 - 2026

Цвет обложки: голубой, синий с графиком

ISBN: 978-985-03-3077-2

Допущено Министерством образования Республики Беларусь

Популярные ГДЗ в 9 классе

Глава 4. Прогрессии. Параграф 16. Формула суммы n первых членов арифметической прогрессии - номер 4.115, страница 229.

№4.115 (с. 229)
Условие. №4.115 (с. 229)
скриншот условия
Алгебра, 9 класс Учебник, авторы: Арефьева Ирина Глебовна, Пирютко Ольга Николаевна, издательство Народная асвета, Минск, 2019, голубого цвета, страница 229, номер 4.115, Условие

4.115. Выберите одну из формул суммы членов арифметической прогрессии и найдите сумму одиннадцати первых членов арифметической прогрессии:

а) $-3; 6; 15; \dots;$

б) $1,8; 1,5; 1,2; \dots;$

в) $3\frac{1}{7}; 3\frac{3}{7}; 3\frac{5}{7}; \dots;$

г) $-10\sqrt{2}; -2\sqrt{2}; 6\sqrt{2}; \dots;$

Решение. №4.115 (с. 229)
Алгебра, 9 класс Учебник, авторы: Арефьева Ирина Глебовна, Пирютко Ольга Николаевна, издательство Народная асвета, Минск, 2019, голубого цвета, страница 229, номер 4.115, Решение Алгебра, 9 класс Учебник, авторы: Арефьева Ирина Глебовна, Пирютко Ольга Николаевна, издательство Народная асвета, Минск, 2019, голубого цвета, страница 229, номер 4.115, Решение (продолжение 2)
Решение 2. №4.115 (с. 229)

Для решения задачи воспользуемся формулой суммы первых $n$ членов арифметической прогрессии:

$S_n = \frac{2a_1 + d(n-1)}{2} \cdot n$

где $a_1$ — первый член, $d$ — разность прогрессии, $n$ — число членов. Во всех подпунктах необходимо найти сумму одиннадцати первых членов, поэтому $n=11$.

а) Дана прогрессия $-3; 6; 15; \ldots$

  • Первый член прогрессии: $a_1 = -3$.
  • Разность прогрессии: $d = 6 - (-3) = 9$.
  • Подставляем значения в формулу для нахождения суммы первых 11 членов: $S_{11} = \frac{2 \cdot (-3) + 9 \cdot (11-1)}{2} \cdot 11 = \frac{-6 + 9 \cdot 10}{2} \cdot 11 = \frac{-6 + 90}{2} \cdot 11 = \frac{84}{2} \cdot 11 = 42 \cdot 11 = 462$.

Ответ: а) 462

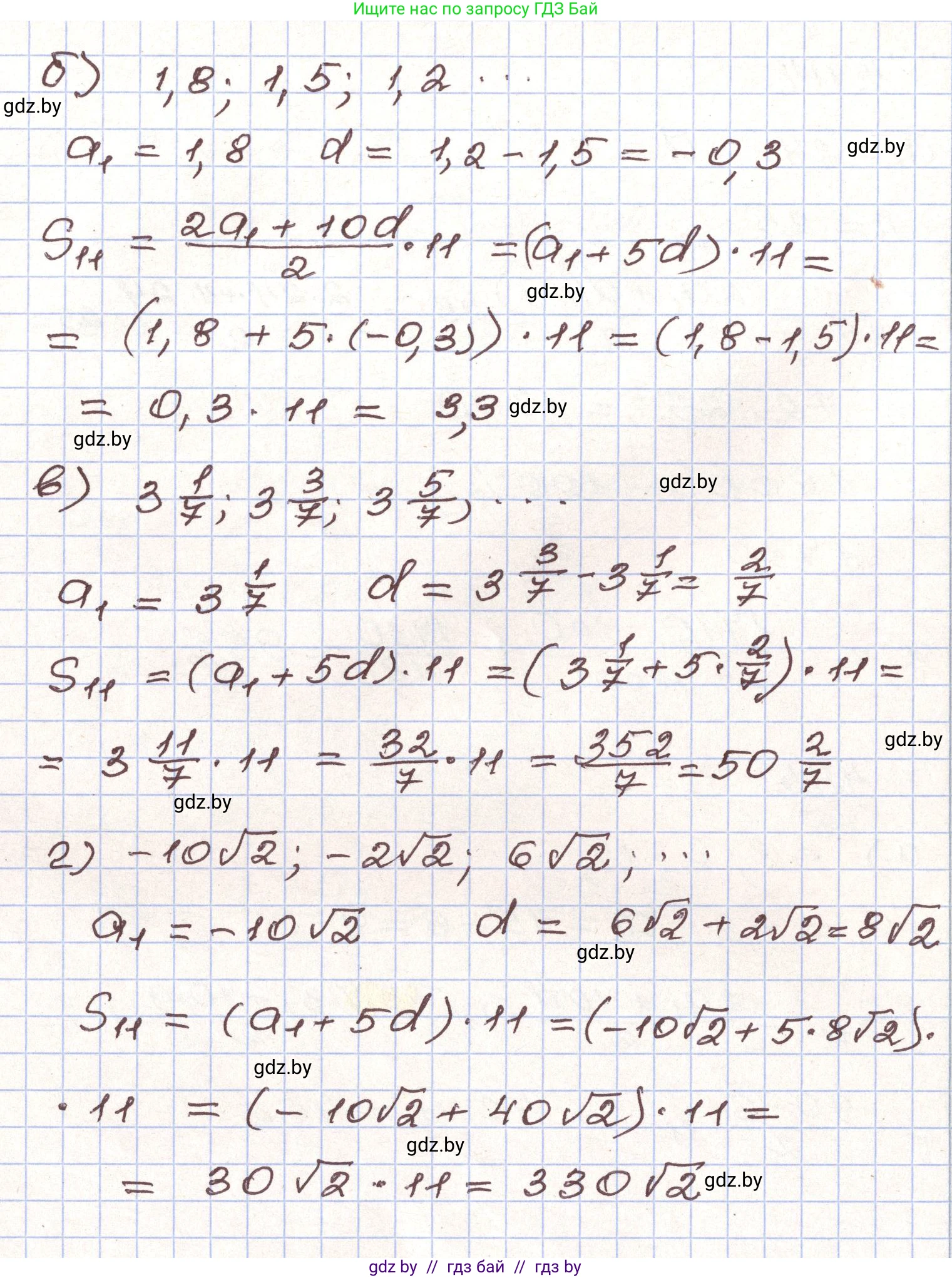
б) Дана прогрессия $1,8; 1,5; 1,2; \ldots$

  • Первый член прогрессии: $a_1 = 1,8$.
  • Разность прогрессии: $d = 1,5 - 1,8 = -0,3$.
  • Подставляем значения в формулу для нахождения суммы первых 11 членов: $S_{11} = \frac{2 \cdot 1,8 + (-0,3) \cdot (11-1)}{2} \cdot 11 = \frac{3,6 - 0,3 \cdot 10}{2} \cdot 11 = \frac{3,6 - 3}{2} \cdot 11 = \frac{0,6}{2} \cdot 11 = 0,3 \cdot 11 = 3,3$.
  • Представим ответ в виде смешанной дроби: $3,3 = 3\frac{3}{10}$.

Ответ: б) 3$\frac{3}{10}$

в) Дана прогрессия $3\frac{1}{7}; 3\frac{3}{7}; 3\frac{5}{7}; \ldots$

  • Первый член прогрессии (в виде неправильной дроби): $a_1 = 3\frac{1}{7} = \frac{22}{7}$.
  • Разность прогрессии: $d = 3\frac{3}{7} - 3\frac{1}{7} = \frac{2}{7}$.
  • Подставляем значения в формулу для нахождения суммы первых 11 членов: $S_{11} = \frac{2 \cdot \frac{22}{7} + \frac{2}{7} \cdot (11-1)}{2} \cdot 11 = \frac{\frac{44}{7} + \frac{2}{7} \cdot 10}{2} \cdot 11 = \frac{\frac{44}{7} + \frac{20}{7}}{2} \cdot 11 = \frac{\frac{64}{7}}{2} \cdot 11 = \frac{64}{14} \cdot 11 = \frac{32}{7} \cdot 11 = \frac{352}{7}$.
  • Выделим целую часть из полученной неправильной дроби: $\frac{352}{7} = 50\frac{2}{7}$.

Ответ: в) 50$\frac{2}{7}$

г) Дана прогрессия $-10\sqrt{2}; -2\sqrt{2}; 6\sqrt{2}; \ldots$

  • Первый член прогрессии: $a_1 = -10\sqrt{2}$.
  • Разность прогрессии: $d = -2\sqrt{2} - (-10\sqrt{2}) = -2\sqrt{2} + 10\sqrt{2} = 8\sqrt{2}$.
  • Подставляем значения в формулу для нахождения суммы первых 11 членов: $S_{11} = \frac{2 \cdot (-10\sqrt{2}) + 8\sqrt{2} \cdot (11-1)}{2} \cdot 11 = \frac{-20\sqrt{2} + 8\sqrt{2} \cdot 10}{2} \cdot 11 = \frac{-20\sqrt{2} + 80\sqrt{2}}{2} \cdot 11 = \frac{60\sqrt{2}}{2} \cdot 11 = 30\sqrt{2} \cdot 11 = 330\sqrt{2}$.

Ответ: г) $330\sqrt{2}$

Помогло решение? Оставьте отзыв в комментариях ниже.

Присоединяйтесь к Телеграм-группе @gdz_by_belarus

Присоединиться

Мы подготовили для вас ответ c подробным объяснением домашего задания по алгебре за 9 класс, для упражнения номер 4.115 расположенного на странице 229 к учебнику 2019 года издания для учащихся школ и гимназий.

Теперь на нашем сайте ГДЗ.ТОП вы всегда легко и бесплатно найдёте условие с правильным ответом на вопрос «Как решить ДЗ» и «Как сделать» задание по алгебре к упражнению №4.115 (с. 229), авторов: Арефьева (Ирина Глебовна), Пирютко (Ольга Николаевна), учебного пособия издательства Народная асвета.