Номер 4.116, страница 229 - гдз по алгебре 9 класс учебник Арефьева, Пирютко

Алгебра, 9 класс Учебник, авторы: Арефьева Ирина Глебовна, Пирютко Ольга Николаевна, издательство Народная асвета, Минск, 2019, голубого цвета

Авторы: Арефьева И. Г., Пирютко О. Н.

Тип: Учебник

Издательство: Народная асвета

Год издания: 2019 - 2026

Цвет обложки: голубой, синий с графиком

ISBN: 978-985-03-3077-2

Допущено Министерством образования Республики Беларусь

Популярные ГДЗ в 9 классе

Глава 4. Прогрессии. Параграф 16. Формула суммы n первых членов арифметической прогрессии - номер 4.116, страница 229.

№4.116 (с. 229)
Условие. №4.116 (с. 229)
скриншот условия
Алгебра, 9 класс Учебник, авторы: Арефьева Ирина Глебовна, Пирютко Ольга Николаевна, издательство Народная асвета, Минск, 2019, голубого цвета, страница 229, номер 4.116, Условие

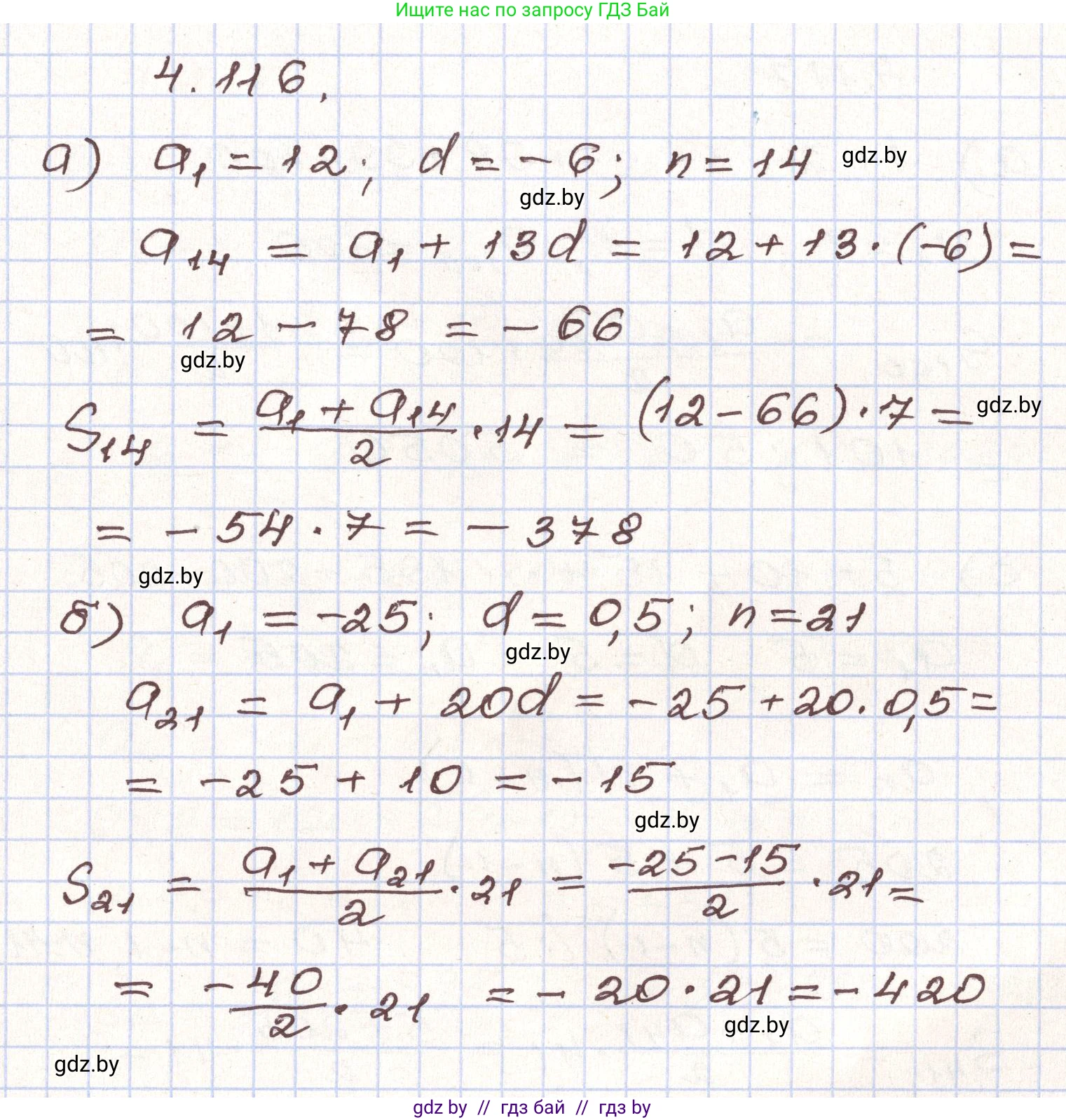
4.116. Найдите $a_n$ и $S_n$ арифметической прогрессии $(a_n)$,

у которой:

а) $a_1 = 12$; $d = -6$; $n = 14$;

б) $a_1 = -25$; $d = 0,5$; $n = 21$.

Решение. №4.116 (с. 229)
Алгебра, 9 класс Учебник, авторы: Арефьева Ирина Глебовна, Пирютко Ольга Николаевна, издательство Народная асвета, Минск, 2019, голубого цвета, страница 229, номер 4.116, Решение
Решение 2. №4.116 (с. 229)

Для решения данной задачи используются основные формулы арифметической прогрессии:

  • Формула n-го члена: $a_n = a_1 + (n-1)d$
  • Формула суммы первых n членов: $S_n = \frac{a_1 + a_n}{2} \cdot n$

Решим каждый пункт по отдельности.

а) $a_1 = 12; d = -6; n = 14;$

1. Находим n-й член прогрессии, которым в данном случае является $a_{14}$. Подставляем известные значения в формулу n-го члена:

$a_{14} = a_1 + (14-1)d = 12 + (13) \cdot (-6) = 12 - 78 = -66$

2. Теперь, зная $a_{14}$, находим сумму первых 14 членов прогрессии ($S_{14}$):

$S_{14} = \frac{a_1 + a_{14}}{2} \cdot 14 = \frac{12 + (-66)}{2} \cdot 14 = \frac{-54}{2} \cdot 14 = -27 \cdot 14 = -378$

Ответ: $a_{14} = -66$, $S_{14} = -378$.

б) $a_1 = -25; d = 0,5; n = 21.$

1. Находим n-й член прогрессии, которым в данном случае является $a_{21}$. Подставляем известные значения в формулу n-го члена:

$a_{21} = a_1 + (21-1)d = -25 + (20) \cdot 0,5 = -25 + 10 = -15$

2. Теперь, зная $a_{21}$, находим сумму первых 21 члена прогрессии ($S_{21}$):

$S_{21} = \frac{a_1 + a_{21}}{2} \cdot 21 = \frac{-25 + (-15)}{2} \cdot 21 = \frac{-40}{2} \cdot 21 = -20 \cdot 21 = -420$

Ответ: $a_{21} = -15$, $S_{21} = -420$.

Помогло решение? Оставьте отзыв в комментариях ниже.

Присоединяйтесь к Телеграм-группе @gdz_by_belarus

Присоединиться

Мы подготовили для вас ответ c подробным объяснением домашего задания по алгебре за 9 класс, для упражнения номер 4.116 расположенного на странице 229 к учебнику 2019 года издания для учащихся школ и гимназий.

Теперь на нашем сайте ГДЗ.ТОП вы всегда легко и бесплатно найдёте условие с правильным ответом на вопрос «Как решить ДЗ» и «Как сделать» задание по алгебре к упражнению №4.116 (с. 229), авторов: Арефьева (Ирина Глебовна), Пирютко (Ольга Николаевна), учебного пособия издательства Народная асвета.