Номер 6, страница 263 - гдз по алгебре 9 класс учебник Арефьева, Пирютко

Алгебра, 9 класс Учебник, авторы: Арефьева Ирина Глебовна, Пирютко Ольга Николаевна, издательство Народная асвета, Минск, 2019, голубого цвета

Авторы: Арефьева И. Г., Пирютко О. Н.

Тип: Учебник

Издательство: Народная асвета

Год издания: 2019 - 2026

Цвет обложки: голубой, синий с графиком

ISBN: 978-985-03-3077-2

Допущено Министерством образования Республики Беларусь

Популярные ГДЗ в 9 классе

Глава 4. Прогрессии. Я проверяю свои знания - номер 6, страница 263.

№6 (с. 263)
Условие. №6 (с. 263)
скриншот условия
Алгебра, 9 класс Учебник, авторы: Арефьева Ирина Глебовна, Пирютко Ольга Николаевна, издательство Народная асвета, Минск, 2019, голубого цвета, страница 263, номер 6, Условие

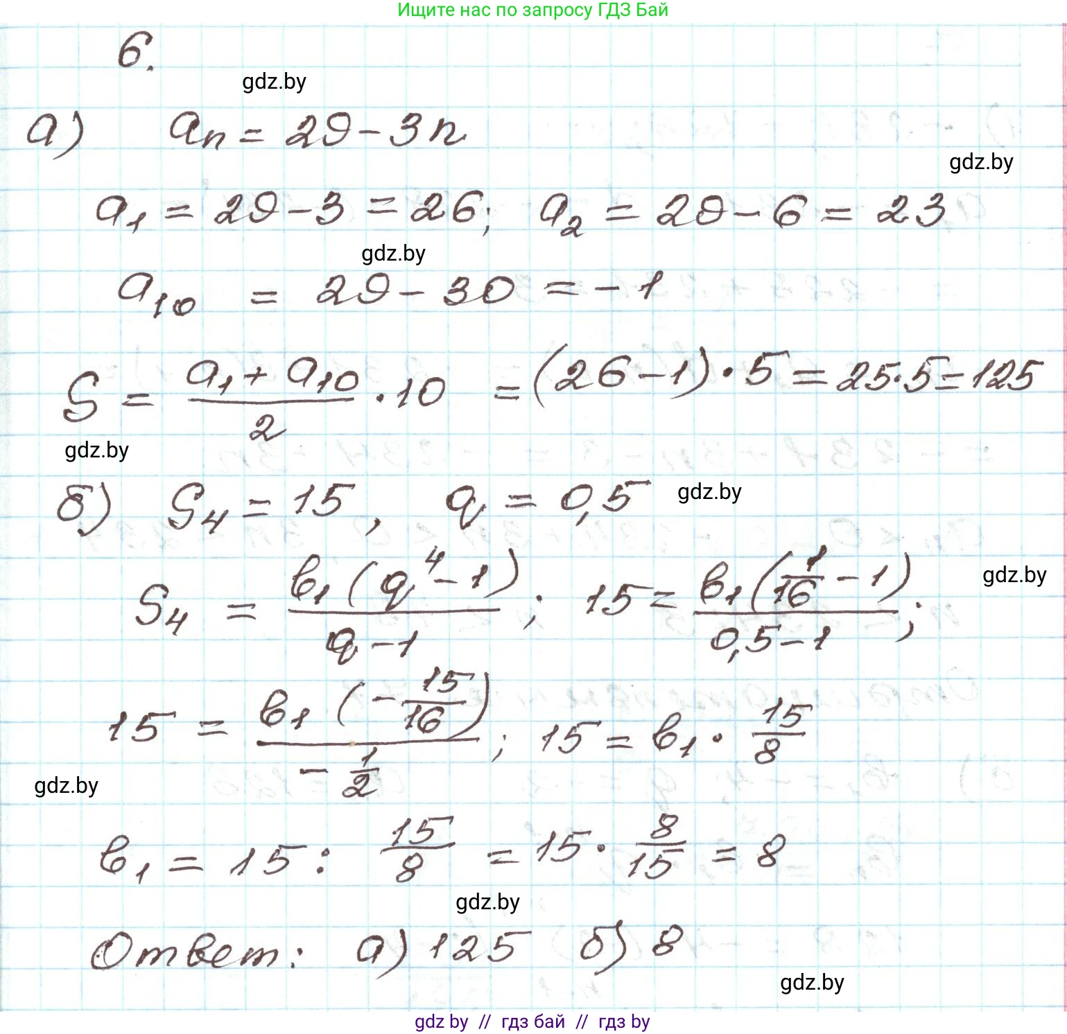
6. a) Арифметическая прогрессия задана формулой $a_n=29-3n$. Найдите сумму 10 первых членов прогрессии.

б) Найдите первый член геометрической прогрессии, если известно, что $S_4 = 15$; $q = 0,5$.

Решение. №6 (с. 263)
Алгебра, 9 класс Учебник, авторы: Арефьева Ирина Глебовна, Пирютко Ольга Николаевна, издательство Народная асвета, Минск, 2019, голубого цвета, страница 263, номер 6, Решение
Решение 2. №6 (с. 263)

а) Арифметическая прогрессия задана формулой $a_n = 29 - 3n$. Требуется найти сумму 10 первых членов прогрессии, то есть $S_{10}$.

Формула суммы первых $n$ членов арифметической прогрессии имеет вид:

$S_n = \frac{a_1 + a_n}{2} \cdot n$

Для нахождения $S_{10}$ нам нужно найти первый ($a_1$) и десятый ($a_{10}$) члены прогрессии.

Найдем первый член, подставив $n=1$ в заданную формулу:

$a_1 = 29 - 3 \cdot 1 = 29 - 3 = 26$

Найдем десятый член, подставив $n=10$:

$a_{10} = 29 - 3 \cdot 10 = 29 - 30 = -1$

Теперь подставим найденные значения $a_1$ и $a_{10}$ в формулу суммы для $n=10$:

$S_{10} = \frac{26 + (-1)}{2} \cdot 10 = \frac{25}{2} \cdot 10 = 25 \cdot 5 = 125$

Ответ: 125

б) В геометрической прогрессии известна сумма первых четырех членов $S_4 = 15$ и знаменатель прогрессии $q = 0,5$. Требуется найти первый член прогрессии $b_1$.

Формула суммы первых $n$ членов геометрической прогрессии:

$S_n = \frac{b_1(1 - q^n)}{1 - q}$

Подставим известные значения $S_4 = 15$, $n = 4$ и $q = 0,5$ в формулу:

$15 = \frac{b_1(1 - 0,5^4)}{1 - 0,5}$

Вычислим значения в знаменателе и в скобках:

$1 - 0,5 = 0,5$

$0,5^4 = (\frac{1}{2})^4 = \frac{1}{16}$

$1 - 0,5^4 = 1 - \frac{1}{16} = \frac{15}{16}$

Подставим эти значения обратно в уравнение. Для удобства представим $0,5$ в виде дроби $\frac{1}{2}$:

$15 = \frac{b_1 \cdot \frac{15}{16}}{\frac{1}{2}}$

Теперь выразим $b_1$:

$15 = b_1 \cdot \frac{15}{16} \cdot 2$

$15 = b_1 \cdot \frac{15}{8}$

Отсюда находим $b_1$:

$b_1 = 15 \div \frac{15}{8} = 15 \cdot \frac{8}{15} = 8$

Ответ: 8

Помогло решение? Оставьте отзыв в комментариях ниже.

Присоединяйтесь к Телеграм-группе @gdz_by_belarus

Присоединиться

Мы подготовили для вас ответ c подробным объяснением домашего задания по алгебре за 9 класс, для упражнения номер 6 расположенного на странице 263 к учебнику 2019 года издания для учащихся школ и гимназий.

Теперь на нашем сайте ГДЗ.ТОП вы всегда легко и бесплатно найдёте условие с правильным ответом на вопрос «Как решить ДЗ» и «Как сделать» задание по алгебре к упражнению №6 (с. 263), авторов: Арефьева (Ирина Глебовна), Пирютко (Ольга Николаевна), учебного пособия издательства Народная асвета.