Номер 9, страница 263 - гдз по алгебре 9 класс учебник Арефьева, Пирютко

Алгебра, 9 класс Учебник, авторы: Арефьева Ирина Глебовна, Пирютко Ольга Николаевна, издательство Народная асвета, Минск, 2019, голубого цвета

Авторы: Арефьева И. Г., Пирютко О. Н.

Тип: Учебник

Издательство: Народная асвета

Год издания: 2019 - 2026

Цвет обложки: голубой, синий с графиком

ISBN: 978-985-03-3077-2

Допущено Министерством образования Республики Беларусь

Популярные ГДЗ в 9 классе

Глава 4. Прогрессии. Я проверяю свои знания - номер 9, страница 263.

№9 (с. 263)
Условие. №9 (с. 263)
скриншот условия
Алгебра, 9 класс Учебник, авторы: Арефьева Ирина Глебовна, Пирютко Ольга Николаевна, издательство Народная асвета, Минск, 2019, голубого цвета, страница 263, номер 9, Условие

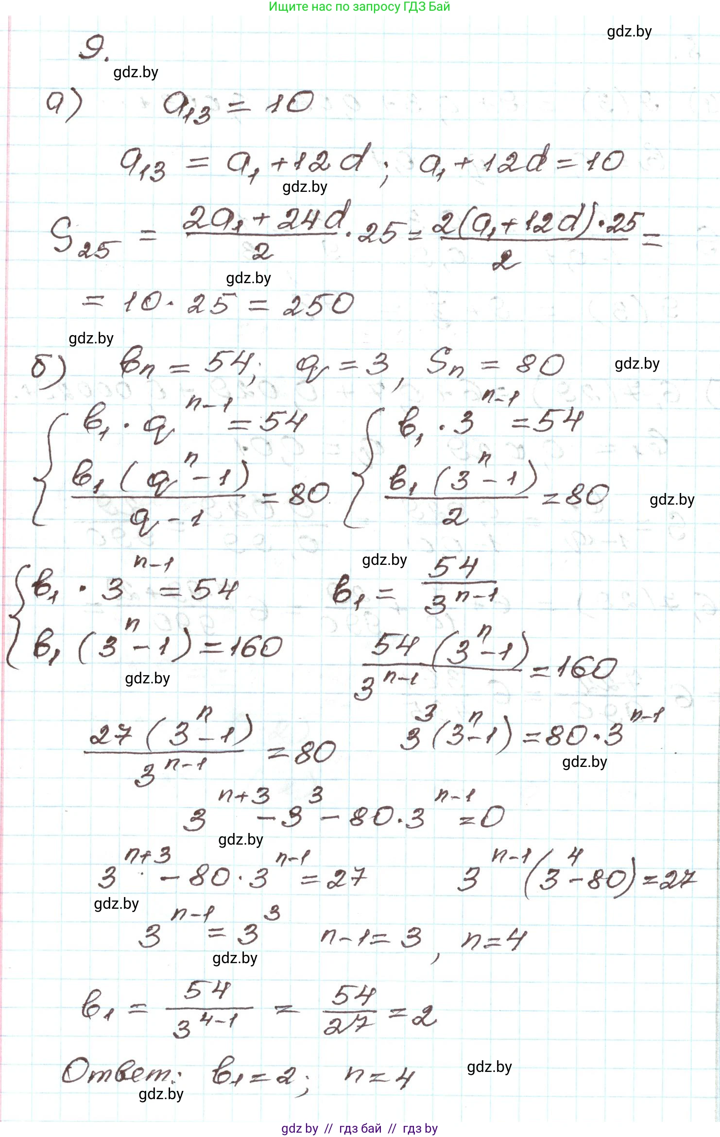
9. а) В арифметической прогрессии $a_{13} = 10$. Найдите $S_{25}$.

б) В геометрической прогрессии $b_n = 54$; $q = 3$; $S_n = 80$. Найдите $b_1, n$.

Решение. №9 (с. 263)
Алгебра, 9 класс Учебник, авторы: Арефьева Ирина Глебовна, Пирютко Ольга Николаевна, издательство Народная асвета, Минск, 2019, голубого цвета, страница 263, номер 9, Решение
Решение 2. №9 (с. 263)

а) В арифметической прогрессии $(a_n)$ нам дан тринадцатый член $a_{13} = 10$. Требуется найти сумму первых 25 членов, $S_{25}$.

Формула для суммы первых $n$ членов арифметической прогрессии:

$S_n = \frac{a_1 + a_n}{2} \cdot n$

Для нашего случая, при $n = 25$, формула выглядит так:

$S_{25} = \frac{a_1 + a_{25}}{2} \cdot 25$

Воспользуемся свойством арифметической прогрессии: сумма членов, равноудаленных от концов, постоянна. То есть, $a_1 + a_{25} = a_2 + a_{24} = ...$

В частности, эта сумма равна удвоенному члену, стоящему посередине. Номер среднего члена для последовательности от 1 до 25 равен $\frac{1 + 25}{2} = 13$.

Следовательно, $a_1 + a_{25} = 2 \cdot a_{13}$.

Так как по условию $a_{13} = 10$, получаем:

$a_1 + a_{25} = 2 \cdot 10 = 20$

Теперь подставим это значение в формулу для $S_{25}$:

$S_{25} = \frac{20}{2} \cdot 25 = 10 \cdot 25 = 250$

Ответ: 250.

б) В геометрической прогрессии $(b_n)$ нам даны: $n$-й член $b_n = 54$, знаменатель прогрессии $q = 3$ и сумма первых $n$ членов $S_n = 80$. Требуется найти первый член $b_1$ и номер $n$.

Используем формулу для суммы первых $n$ членов геометрической прогрессии, которая связывает $S_n$, $b_n$, $b_1$ и $q$:

$S_n = \frac{b_n \cdot q - b_1}{q - 1}$

Подставим известные значения в эту формулу, чтобы найти $b_1$:

$80 = \frac{54 \cdot 3 - b_1}{3 - 1}$

$80 = \frac{162 - b_1}{2}$

Умножим обе части уравнения на 2:

$160 = 162 - b_1$

Отсюда находим $b_1$:

$b_1 = 162 - 160 = 2$

Теперь, зная $b_1=2$, $b_n=54$ и $q=3$, мы можем найти $n$, используя формулу $n$-го члена геометрической прогрессии:

$b_n = b_1 \cdot q^{n-1}$

Подставим известные значения:

$54 = 2 \cdot 3^{n-1}$

Разделим обе части уравнения на 2:

$27 = 3^{n-1}$

Представим 27 как степень числа 3:

$3^3 = 3^{n-1}$

Так как основания степеней равны, то и их показатели должны быть равны:

$3 = n - 1$

Отсюда находим $n$:

$n = 3 + 1 = 4$

Ответ: $b_1=2$, $n=4$.

Помогло решение? Оставьте отзыв в комментариях ниже.

Присоединяйтесь к Телеграм-группе @gdz_by_belarus

Присоединиться

Мы подготовили для вас ответ c подробным объяснением домашего задания по алгебре за 9 класс, для упражнения номер 9 расположенного на странице 263 к учебнику 2019 года издания для учащихся школ и гимназий.

Теперь на нашем сайте ГДЗ.ТОП вы всегда легко и бесплатно найдёте условие с правильным ответом на вопрос «Как решить ДЗ» и «Как сделать» задание по алгебре к упражнению №9 (с. 263), авторов: Арефьева (Ирина Глебовна), Пирютко (Ольга Николаевна), учебного пособия издательства Народная асвета.