Номер 193, страница 284 - гдз по алгебре 9 класс учебник Арефьева, Пирютко

Алгебра, 9 класс Учебник, авторы: Арефьева Ирина Глебовна, Пирютко Ольга Николаевна, издательство Народная асвета, Минск, 2019, голубого цвета

Авторы: Арефьева И. Г., Пирютко О. Н.

Тип: Учебник

Издательство: Народная асвета

Год издания: 2019 - 2026

Цвет обложки: голубой, синий с графиком

ISBN: 978-985-03-3077-2

Допущено Министерством образования Республики Беларусь

Популярные ГДЗ в 9 классе

Итоговое повторение. Функции и их свойства - номер 193, страница 284.

№193 (с. 284)
Условие. №193 (с. 284)
скриншот условия
Алгебра, 9 класс Учебник, авторы: Арефьева Ирина Глебовна, Пирютко Ольга Николаевна, издательство Народная асвета, Минск, 2019, голубого цвета, страница 284, номер 193, Условие

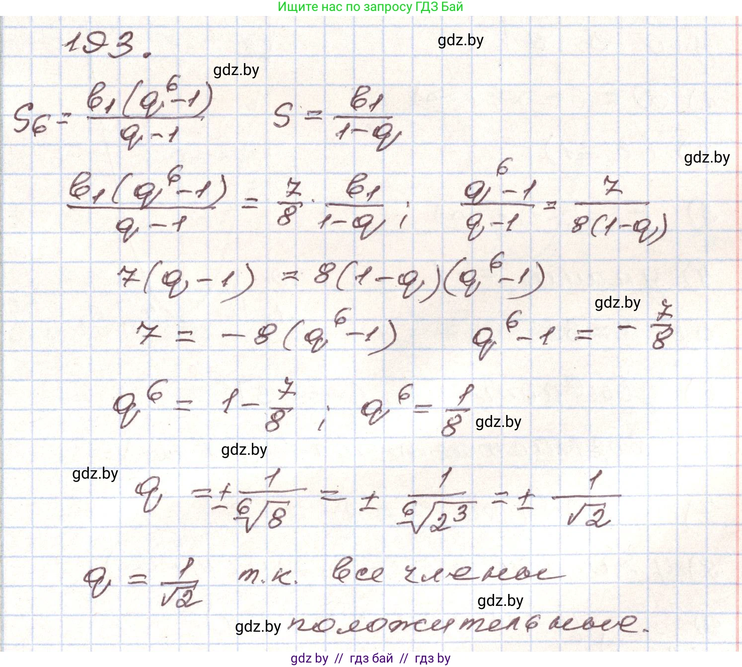
193*. Найдите знаменатель бесконечно убывающей геометрической прогрессии с положительными членами, сумма первых шести членов которой составляет $\frac{7}{8}$ суммы всех ее членов.

Решение. №193 (с. 284)
Алгебра, 9 класс Учебник, авторы: Арефьева Ирина Глебовна, Пирютко Ольга Николаевна, издательство Народная асвета, Минск, 2019, голубого цвета, страница 284, номер 193, Решение
Решение 2. №193 (с. 284)

Пусть $b_1$ — первый член бесконечно убывающей геометрической прогрессии, а $q$ — её знаменатель.

Из условий задачи следует, что все члены прогрессии положительны. Это возможно, только если первый член $b_1 > 0$ и знаменатель $q$ также положителен. Так как прогрессия является бесконечно убывающей, её знаменатель должен удовлетворять условию $|q| < 1$. Совмещая эти условия, получаем $0 < q < 1$.

Формула для суммы всех членов бесконечно убывающей геометрической прогрессии ($S$) имеет вид: $$S = \frac{b_1}{1-q}$$

Формула для суммы первых $n$ членов геометрической прогрессии ($S_n$) имеет вид: $$S_n = \frac{b_1(1-q^n)}{1-q}$$ Для $n=6$ сумма первых шести членов ($S_6$) равна: $$S_6 = \frac{b_1(1-q^6)}{1-q}$$

По условию задачи, сумма первых шести членов составляет $\frac{7}{8}$ от суммы всех членов прогрессии. Запишем это в виде уравнения: $$S_6 = \frac{7}{8} \cdot S$$

Теперь подставим в это уравнение выражения для $S$ и $S_6$: $$\frac{b_1(1-q^6)}{1-q} = \frac{7}{8} \cdot \left(\frac{b_1}{1-q}\right)$$

Поскольку $b_1 \neq 0$ (иначе все члены прогрессии были бы равны нулю) и $q \neq 1$ (так как прогрессия убывающая), мы можем разделить обе части уравнения на общий множитель $\frac{b_1}{1-q}$: $$1 - q^6 = \frac{7}{8}$$

Решим полученное уравнение относительно $q$: $$q^6 = 1 - \frac{7}{8}$$ $$q^6 = \frac{1}{8}$$

Чтобы найти $q$, извлечём корень шестой степени из обеих частей уравнения. Так как мы ищем положительный корень ($q > 0$), получаем: $$q = \sqrt[6]{\frac{1}{8}}$$

Упростим полученное выражение для $q$: $$q = \frac{\sqrt[6]{1}}{\sqrt[6]{8}} = \frac{1}{\sqrt[6]{2^3}} = \frac{1}{2^{3/6}} = \frac{1}{2^{1/2}} = \frac{1}{\sqrt{2}}$$ Полученное значение $q = \frac{1}{\sqrt{2}} \approx 0.707$ удовлетворяет ранее установленному условию $0 < q < 1$.

Ответ: знаменатель прогрессии равен $\frac{1}{\sqrt{2}}$ (или $\frac{\sqrt{2}}{2}$).

Помогло решение? Оставьте отзыв в комментариях ниже.

Присоединяйтесь к Телеграм-группе @gdz_by_belarus

Присоединиться

Мы подготовили для вас ответ c подробным объяснением домашего задания по алгебре за 9 класс, для упражнения номер 193 расположенного на странице 284 к учебнику 2019 года издания для учащихся школ и гимназий.

Теперь на нашем сайте ГДЗ.ТОП вы всегда легко и бесплатно найдёте условие с правильным ответом на вопрос «Как решить ДЗ» и «Как сделать» задание по алгебре к упражнению №193 (с. 284), авторов: Арефьева (Ирина Глебовна), Пирютко (Ольга Николаевна), учебного пособия издательства Народная асвета.