Номер 194, страница 284 - гдз по алгебре 9 класс учебник Арефьева, Пирютко

Алгебра, 9 класс Учебник, авторы: Арефьева Ирина Глебовна, Пирютко Ольга Николаевна, издательство Народная асвета, Минск, 2019, голубого цвета

Авторы: Арефьева И. Г., Пирютко О. Н.

Тип: Учебник

Издательство: Народная асвета

Год издания: 2019 - 2026

Цвет обложки: голубой, синий с графиком

ISBN: 978-985-03-3077-2

Допущено Министерством образования Республики Беларусь

Популярные ГДЗ в 9 классе

Итоговое повторение. Функции и их свойства - номер 194, страница 284.

№194 (с. 284)
Условие. №194 (с. 284)
скриншот условия
Алгебра, 9 класс Учебник, авторы: Арефьева Ирина Глебовна, Пирютко Ольга Николаевна, издательство Народная асвета, Минск, 2019, голубого цвета, страница 284, номер 194, Условие Алгебра, 9 класс Учебник, авторы: Арефьева Ирина Глебовна, Пирютко Ольга Николаевна, издательство Народная асвета, Минск, 2019, голубого цвета, страница 284, номер 194, Условие (продолжение 2)

194. Постройте график функции:

а) $y = x^2 - 6x + 8$;

б) $y = (x - 1)(x - 3)$;

в) $y = x^2 + 4x + 6$;

г) $y = x^2 - 6x + 9$;

д) $y = -3x^2 + 6x$;

е) $y = x^2 - 9$.

Для каждой функции найдите:

1) область определения;

2) координаты вершины параболы;

3) множество значений;

4) наибольшее (наименьшее) значение;

5) ось симметрии параболы;

6) промежутки монотонности;

7) нули;

8) промежутки знакопостоянства;

9) координаты точки пересечения графика функции с осью ординат.

Решение. №194 (с. 284)
Алгебра, 9 класс Учебник, авторы: Арефьева Ирина Глебовна, Пирютко Ольга Николаевна, издательство Народная асвета, Минск, 2019, голубого цвета, страница 284, номер 194, Решение Алгебра, 9 класс Учебник, авторы: Арефьева Ирина Глебовна, Пирютко Ольга Николаевна, издательство Народная асвета, Минск, 2019, голубого цвета, страница 284, номер 194, Решение (продолжение 2)
Решение 2. №194 (с. 284)

а) $y = x^2 - 6x + 8$

Это квадратичная функция, график – парабола, ветви направлены вверх (т.к. коэффициент при $x^2$ равен $1 > 0$).

1) область определения: Ответ: $D(y) = (-\infty; +\infty)$.

2) координаты вершины параболы:
Абсцисса вершины: $x_v = -\frac{b}{2a} = -\frac{-6}{2 \cdot 1} = 3$.
Ордината вершины: $y_v = y(3) = 3^2 - 6(3) + 8 = 9 - 18 + 8 = -1$.
Ответ: $(3; -1)$.

3) множество значений: Так как ветви параболы направлены вверх, множество значений ограничено снизу ординатой вершины.
Ответ: $E(y) = [-1; +\infty)$.

4) наибольшее (наименьшее) значение: Функция имеет наименьшее значение в вершине.
Ответ: $y_{наим} = -1$. Наибольшего значения нет.

5) ось симметрии параболы: Прямая, проходящая через вершину параболы параллельно оси Oy.
Ответ: $x = 3$.

6) промежутки монотонности:
Функция убывает на промежутке $(-\infty; x_v]$.
Функция возрастает на промежутке $[x_v; +\infty)$.
Ответ: убывает на $(-\infty; 3]$, возрастает на $[3; +\infty)$.

7) нули: Найдем точки пересечения с осью Ox ($y=0$):
$x^2 - 6x + 8 = 0$.
По теореме Виета: $x_1 + x_2 = 6, x_1 \cdot x_2 = 8$. Корни: $x_1 = 2, x_2 = 4$.
Ответ: $x = 2, x = 4$.

8) промежутки знакопостоянства:
$y > 0$ при $x \in (-\infty; 2) \cup (4; +\infty)$.
$y < 0$ при $x \in (2; 4)$.
Ответ: $y>0$ на $(-\infty; 2) \cup (4; +\infty)$; $y<0$ на $(2; 4)$.

9) координаты точки пересечения графика функции с осью ординат: Найдем значение функции при $x=0$:
$y(0) = 0^2 - 6(0) + 8 = 8$.
Ответ: $(0; 8)$.


б) $y = (x - 1)(x - 3)$

Раскроем скобки: $y = x^2 - 3x - x + 3 = x^2 - 4x + 3$. Это квадратичная функция, график – парабола, ветви направлены вверх ($a=1 > 0$).

1) область определения: Ответ: $D(y) = (-\infty; +\infty)$.

2) координаты вершины параболы:
Абсцисса вершины: $x_v = -\frac{-4}{2 \cdot 1} = 2$.
Ордината вершины: $y_v = y(2) = 2^2 - 4(2) + 3 = 4 - 8 + 3 = -1$.
Ответ: $(2; -1)$.

3) множество значений: Ответ: $E(y) = [-1; +\infty)$.

4) наибольшее (наименьшее) значение: Ответ: $y_{наим} = -1$. Наибольшего значения нет.

5) ось симметрии параболы: Ответ: $x = 2$.

6) промежутки монотонности: Ответ: убывает на $(-\infty; 2]$, возрастает на $[2; +\infty)$.

7) нули: Из исходного уравнения $(x - 1)(x - 3) = 0$.
Ответ: $x = 1, x = 3$.

8) промежутки знакопостоянства:
$y > 0$ при $x \in (-\infty; 1) \cup (3; +\infty)$.
$y < 0$ при $x \in (1; 3)$.
Ответ: $y>0$ на $(-\infty; 1) \cup (3; +\infty)$; $y<0$ на $(1; 3)$.

9) координаты точки пересечения графика функции с осью ординат: $y(0) = 0^2 - 4(0) + 3 = 3$.
Ответ: $(0; 3)$.


в) $y = x^2 + 4x + 6$

Квадратичная функция, парабола, ветви вверх ($a=1 > 0$).

1) область определения: Ответ: $D(y) = (-\infty; +\infty)$.

2) координаты вершины параболы:
$x_v = -\frac{4}{2 \cdot 1} = -2$.
$y_v = (-2)^2 + 4(-2) + 6 = 4 - 8 + 6 = 2$.
Ответ: $(-2; 2)$.

3) множество значений: Ответ: $E(y) = [2; +\infty)$.

4) наибольшее (наименьшее) значение: Ответ: $y_{наим} = 2$. Наибольшего значения нет.

5) ось симметрии параболы: Ответ: $x = -2$.

6) промежутки монотонности: Ответ: убывает на $(-\infty; -2]$, возрастает на $[-2; +\infty)$.

7) нули: $x^2 + 4x + 6 = 0$.
Дискриминант $D = 4^2 - 4 \cdot 1 \cdot 6 = 16 - 24 = -8$.
Так как $D < 0$, действительных корней нет.
Ответ: нулей нет.

8) промежутки знакопостоянства: Так как ветви направлены вверх и нулей нет, функция всегда положительна.
Ответ: $y > 0$ на всей области определения $(-\infty; +\infty)$.

9) координаты точки пересечения графика функции с осью ординат: $y(0) = 0^2 + 4(0) + 6 = 6$.
Ответ: $(0; 6)$.


г) $y = x^2 - 6x + 9$

Это полный квадрат: $y = (x-3)^2$. Квадратичная функция, парабола, ветви вверх ($a=1 > 0$).

1) область определения: Ответ: $D(y) = (-\infty; +\infty)$.

2) координаты вершины параболы: Из вида $y = (x-3)^2$ вершина находится в точке, где основание степени равно нулю.
$x_v = 3$.
$y_v = (3-3)^2 = 0$.
Ответ: $(3; 0)$.

3) множество значений: Ответ: $E(y) = [0; +\infty)$.

4) наибольшее (наименьшее) значение: Ответ: $y_{наим} = 0$. Наибольшего значения нет.

5) ось симметрии параболы: Ответ: $x = 3$.

6) промежутки монотонности: Ответ: убывает на $(-\infty; 3]$, возрастает на $[3; +\infty)$.

7) нули: $(x - 3)^2 = 0 \implies x - 3 = 0$.
Ответ: $x = 3$ (один корень кратности 2).

8) промежутки знакопостоянства: Функция равна нулю в вершине и положительна во всех остальных точках.
Ответ: $y > 0$ на $(-\infty; 3) \cup (3; +\infty)$.

9) координаты точки пересечения графика функции с осью ординат: $y(0) = (0-3)^2 = 9$.
Ответ: $(0; 9)$.


д) $y = -3x^2 + 6x$

Квадратичная функция, парабола, ветви вниз ($a=-3 < 0$).

1) область определения: Ответ: $D(y) = (-\infty; +\infty)$.

2) координаты вершины параболы:
$x_v = -\frac{6}{2 \cdot (-3)} = -\frac{6}{-6} = 1$.
$y_v = -3(1)^2 + 6(1) = -3 + 6 = 3$.
Ответ: $(1; 3)$.

3) множество значений: Так как ветви параболы направлены вниз, множество значений ограничено сверху ординатой вершины.
Ответ: $E(y) = (-\infty; 3]$.

4) наибольшее (наименьшее) значение: Функция имеет наибольшее значение в вершине.
Ответ: $y_{наиб} = 3$. Наименьшего значения нет.

5) ось симметрии параболы: Ответ: $x = 1$.

6) промежутки монотонности:
Функция возрастает на $(-\infty; 1]$, убывает на $[1; +\infty)$.
Ответ: возрастает на $(-\infty; 1]$, убывает на $[1; +\infty)$.

7) нули: $-3x^2 + 6x = 0 \implies -3x(x - 2) = 0$.
Ответ: $x = 0, x = 2$.

8) промежутки знакопостоянства:
$y > 0$ при $x \in (0; 2)$.
$y < 0$ при $x \in (-\infty; 0) \cup (2; +\infty)$.
Ответ: $y>0$ на $(0; 2)$; $y<0$ на $(-\infty; 0) \cup (2; +\infty)$.

9) координаты точки пересечения графика функции с осью ординат: $y(0) = -3(0)^2 + 6(0) = 0$.
Ответ: $(0; 0)$.


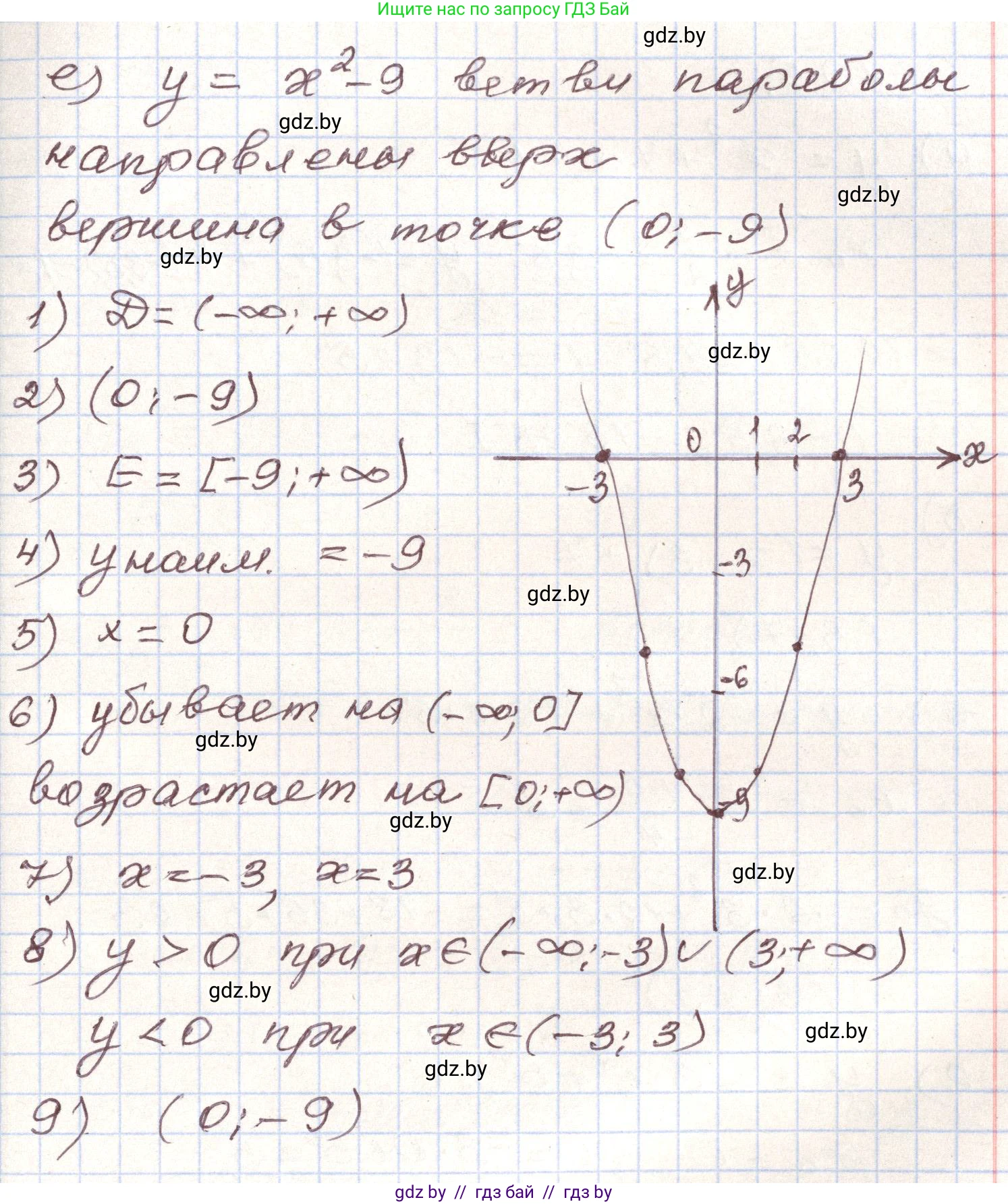
е) $y = x^2 - 9$

Квадратичная функция, парабола, ветви вверх ($a=1 > 0$).

1) область определения: Ответ: $D(y) = (-\infty; +\infty)$.

2) координаты вершины параболы: Коэффициент $b=0$, поэтому вершина на оси Oy.
$x_v = -\frac{0}{2 \cdot 1} = 0$.
$y_v = 0^2 - 9 = -9$.
Ответ: $(0; -9)$.

3) множество значений: Ответ: $E(y) = [-9; +\infty)$.

4) наибольшее (наименьшее) значение: Ответ: $y_{наим} = -9$. Наибольшего значения нет.

5) ось симметрии параболы: Ответ: $x = 0$ (ось Oy).

6) промежутки монотонности: Ответ: убывает на $(-\infty; 0]$, возрастает на $[0; +\infty)$.

7) нули: $x^2 - 9 = 0 \implies x^2 = 9$.
Ответ: $x = -3, x = 3$.

8) промежутки знакопостоянства:
$y > 0$ при $x \in (-\infty; -3) \cup (3; +\infty)$.
$y < 0$ при $x \in (-3; 3)$.
Ответ: $y>0$ на $(-\infty; -3) \cup (3; +\infty)$; $y<0$ на $(-3; 3)$.

9) координаты точки пересечения графика функции с осью ординат: $y(0) = 0^2 - 9 = -9$.
Ответ: $(0; -9)$.

Помогло решение? Оставьте отзыв в комментариях ниже.

Присоединяйтесь к Телеграм-группе @gdz_by_belarus

Присоединиться

Мы подготовили для вас ответ c подробным объяснением домашего задания по алгебре за 9 класс, для упражнения номер 194 расположенного на странице 284 к учебнику 2019 года издания для учащихся школ и гимназий.

Теперь на нашем сайте ГДЗ.ТОП вы всегда легко и бесплатно найдёте условие с правильным ответом на вопрос «Как решить ДЗ» и «Как сделать» задание по алгебре к упражнению №194 (с. 284), авторов: Арефьева (Ирина Глебовна), Пирютко (Ольга Николаевна), учебного пособия издательства Народная асвета.