Номер 211, страница 287 - гдз по алгебре 9 класс учебник Арефьева, Пирютко

Алгебра, 9 класс Учебник, авторы: Арефьева Ирина Глебовна, Пирютко Ольга Николаевна, издательство Народная асвета, Минск, 2019, голубого цвета

Авторы: Арефьева И. Г., Пирютко О. Н.

Тип: Учебник

Издательство: Народная асвета

Год издания: 2019 - 2026

Цвет обложки: голубой, синий с графиком

ISBN: 978-985-03-3077-2

Допущено Министерством образования Республики Беларусь

Популярные ГДЗ в 9 классе

Итоговое повторение. Функции и их свойства - номер 211, страница 287.

№211 (с. 287)
Условие. №211 (с. 287)
скриншот условия
Алгебра, 9 класс Учебник, авторы: Арефьева Ирина Глебовна, Пирютко Ольга Николаевна, издательство Народная асвета, Минск, 2019, голубого цвета, страница 287, номер 211, Условие

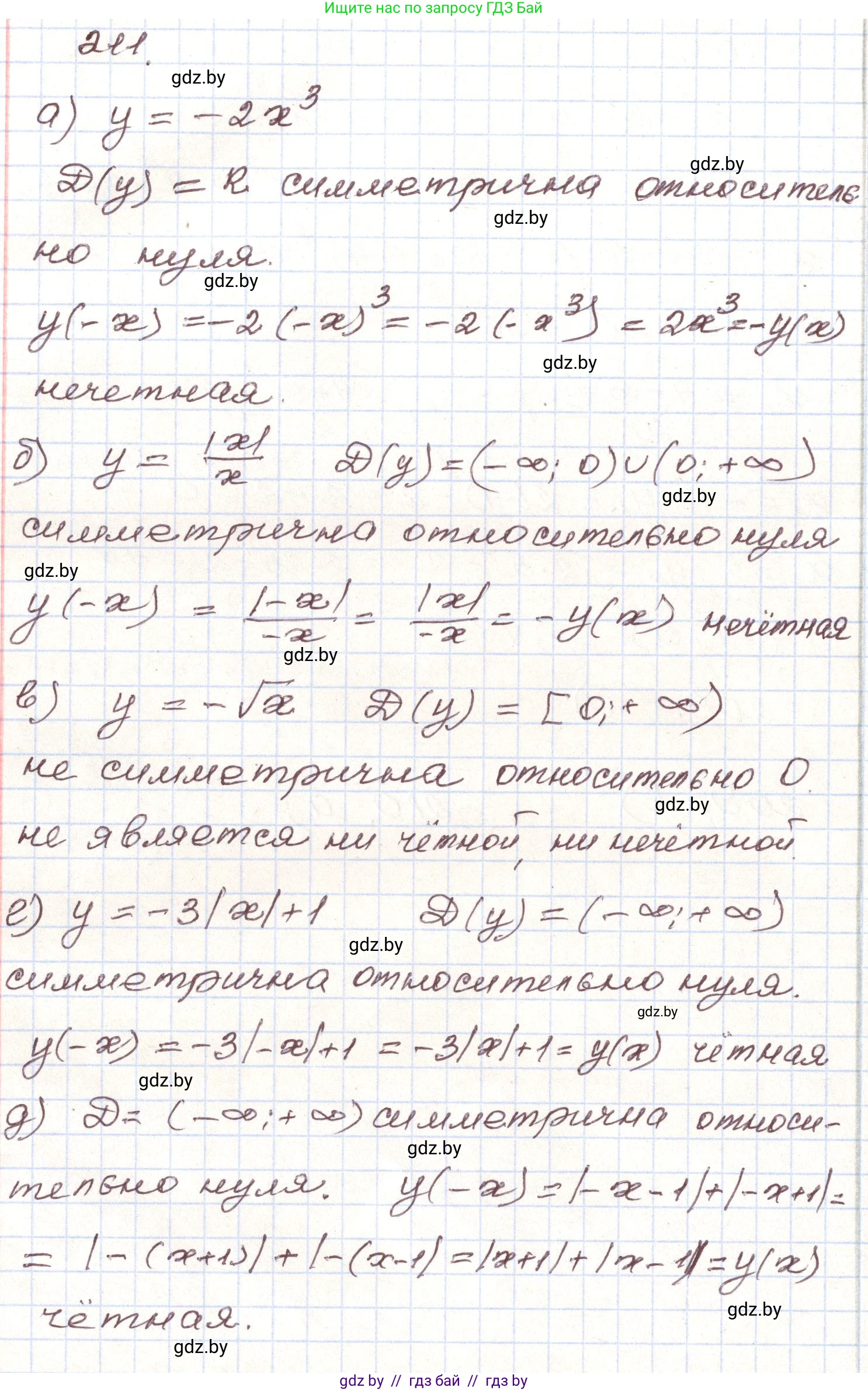
211. Исследуйте функцию на четность:

а) $y = -2x^3$;

б) $y = \frac{|x|}{x}$;

в) $y = -\sqrt{x}$;

г) $y = -3|x|+1$;

д)* $y = |x-1|+|x+1|$.

Решение. №211 (с. 287)
Алгебра, 9 класс Учебник, авторы: Арефьева Ирина Глебовна, Пирютко Ольга Николаевна, издательство Народная асвета, Минск, 2019, голубого цвета, страница 287, номер 211, Решение
Решение 2. №211 (с. 287)

а) Для исследования функции $y = -2x^3$ на четность, необходимо проверить выполнение условия $y(-x) = y(x)$ (четность) или $y(-x) = -y(x)$ (нечетность) для всех $x$ из области определения функции.
1. Область определения функции $D(y) = (-\infty; +\infty)$, так как функция является многочленом. Эта область симметрична относительно начала координат.
2. Найдем значение функции в точке $-x$: $y(-x) = -2(-x)^3 = -2(-x^3) = 2x^3$.
3. Сравним полученное выражение с $y(x)$ и $-y(x)$: $y(x) = -2x^3$
$-y(x) = -(-2x^3) = 2x^3$
Поскольку $y(-x) = -y(x)$, функция является нечетной.
Ответ: нечетная.

б) Исследуем функцию $y = \frac{|x|}{x}$ на четность.
1. Область определения функции: знаменатель дроби не должен быть равен нулю, т.е. $x \neq 0$. Таким образом, $D(y) = (-\infty; 0) \cup (0; +\infty)$. Эта область симметрична относительно начала координат.
2. Найдем значение функции в точке $-x$: $y(-x) = \frac{|-x|}{-x}$. Так как $|-x| = |x|$, то $y(-x) = \frac{|x|}{-x} = -\frac{|x|}{x}$.
3. Сравним полученное выражение с $y(x)$ и $-y(x)$: $y(x) = \frac{|x|}{x}$
$-y(x) = -\frac{|x|}{x}$
Поскольку $y(-x) = -y(x)$, функция является нечетной.
Ответ: нечетная.

в) Исследуем функцию $y = -\sqrt{x}$ на четность.
1. Область определения функции: выражение под знаком квадратного корня должно быть неотрицательным, т.е. $x \ge 0$. Таким образом, $D(y) = [0; +\infty)$.
2. Область определения $D(y)$ не является симметричной относительно начала координат. Например, точка $x=1$ принадлежит области определения, а точка $x=-1$ — нет.
Поскольку основное условие для исследования на четность (симметричность области определения) не выполняется, функция не является ни четной, ни нечетной.
Ответ: ни четная, ни нечетная.

г) Исследуем функцию $y = -3|x| + 1$ на четность.
1. Область определения функции $D(y) = (-\infty; +\infty)$, так как выражение $|x|$ определено для любого действительного числа. Эта область симметрична относительно начала координат.
2. Найдем значение функции в точке $-x$: $y(-x) = -3|-x| + 1$. Так как $|-x| = |x|$, то $y(-x) = -3|x| + 1$.
3. Сравним полученное выражение с $y(x)$: $y(x) = -3|x| + 1$.
Поскольку $y(-x) = y(x)$, функция является четной.
Ответ: четная.

д)* Исследуем функцию $y = |x - 1| + |x + 1|$ на четность.
1. Область определения функции $D(y) = (-\infty; +\infty)$, так как выражения под модулем определены для любых действительных чисел. Эта область симметрична относительно начала координат.
2. Найдем значение функции в точке $-x$: $y(-x) = |(-x) - 1| + |(-x) + 1| = |-(x + 1)| + |-(x - 1)|$.
Используя свойство модуля $|-a| = |a|$, получаем: $y(-x) = |x + 1| + |x - 1|$.
3. Сравним полученное выражение с $y(x)$: $y(x) = |x - 1| + |x + 1|$.
От перестановки слагаемых сумма не меняется, поэтому $|x + 1| + |x - 1| = |x - 1| + |x + 1|$.
Следовательно, $y(-x) = y(x)$, и функция является четной.
Ответ: четная.

Помогло решение? Оставьте отзыв в комментариях ниже.

Присоединяйтесь к Телеграм-группе @gdz_by_belarus

Присоединиться

Мы подготовили для вас ответ c подробным объяснением домашего задания по алгебре за 9 класс, для упражнения номер 211 расположенного на странице 287 к учебнику 2019 года издания для учащихся школ и гимназий.

Теперь на нашем сайте ГДЗ.ТОП вы всегда легко и бесплатно найдёте условие с правильным ответом на вопрос «Как решить ДЗ» и «Как сделать» задание по алгебре к упражнению №211 (с. 287), авторов: Арефьева (Ирина Глебовна), Пирютко (Ольга Николаевна), учебного пособия издательства Народная асвета.