Номер 216, страница 288 - гдз по алгебре 9 класс учебник Арефьева, Пирютко

Алгебра, 9 класс Учебник, авторы: Арефьева Ирина Глебовна, Пирютко Ольга Николаевна, издательство Народная асвета, Минск, 2019, голубого цвета

Авторы: Арефьева И. Г., Пирютко О. Н.

Тип: Учебник

Издательство: Народная асвета

Год издания: 2019 - 2026

Цвет обложки: голубой, синий с графиком

ISBN: 978-985-03-3077-2

Допущено Министерством образования Республики Беларусь

Популярные ГДЗ в 9 классе

Итоговое повторение. Функции и их свойства - номер 216, страница 288.

№216 (с. 288)
Условие. №216 (с. 288)
скриншот условия
Алгебра, 9 класс Учебник, авторы: Арефьева Ирина Глебовна, Пирютко Ольга Николаевна, издательство Народная асвета, Минск, 2019, голубого цвета, страница 288, номер 216, Условие

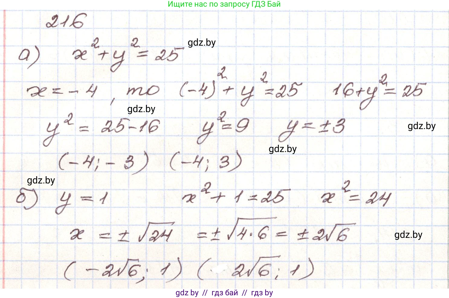
216. На окружности, заданной уравнением $x^2 + y^2 = 25$,

найдите точки:

а) с абсциссой -4;

б) с ординатой 1.

Решение. №216 (с. 288)
Алгебра, 9 класс Учебник, авторы: Арефьева Ирина Глебовна, Пирютко Ольга Николаевна, издательство Народная асвета, Минск, 2019, голубого цвета, страница 288, номер 216, Решение
Решение 2. №216 (с. 288)

Уравнение окружности задано как $x^2 + y^2 = 25$. Это стандартное уравнение окружности с центром в начале координат (0, 0) и радиусом $R = \sqrt{25} = 5$. Чтобы найти точки на этой окружности с заданными координатами, необходимо подставить известное значение (абсциссу или ординату) в уравнение и решить его относительно неизвестной координаты.

а) с абсциссой -4;
Абсцисса точки – это ее координата $x$. Подставим значение $x = -4$ в уравнение окружности:
$(-4)^2 + y^2 = 25$
$16 + y^2 = 25$
Теперь найдем $y^2$:
$y^2 = 25 - 16$
$y^2 = 9$
Отсюда находим значения $y$:
$y = \pm\sqrt{9}$
$y_1 = 3$ и $y_2 = -3$.
Таким образом, на окружности есть две точки с абсциссой -4.
Ответ: $(-4, 3)$ и $(-4, -3)$.

б) с ординатой 1.
Ордината точки – это ее координата $y$. Подставим значение $y = 1$ в уравнение окружности:
$x^2 + 1^2 = 25$
$x^2 + 1 = 25$
Теперь найдем $x^2$:
$x^2 = 25 - 1$
$x^2 = 24$
Отсюда находим значения $x$:
$x = \pm\sqrt{24}$
Упростим корень: $\sqrt{24} = \sqrt{4 \cdot 6} = 2\sqrt{6}$.
$x_1 = 2\sqrt{6}$ и $x_2 = -2\sqrt{6}$.
Таким образом, на окружности есть две точки с ординатой 1.
Ответ: $(2\sqrt{6}, 1)$ и $(-2\sqrt{6}, 1)$.

Помогло решение? Оставьте отзыв в комментариях ниже.

Присоединяйтесь к Телеграм-группе @gdz_by_belarus

Присоединиться

Мы подготовили для вас ответ c подробным объяснением домашего задания по алгебре за 9 класс, для упражнения номер 216 расположенного на странице 288 к учебнику 2019 года издания для учащихся школ и гимназий.

Теперь на нашем сайте ГДЗ.ТОП вы всегда легко и бесплатно найдёте условие с правильным ответом на вопрос «Как решить ДЗ» и «Как сделать» задание по алгебре к упражнению №216 (с. 288), авторов: Арефьева (Ирина Глебовна), Пирютко (Ольга Николаевна), учебного пособия издательства Народная асвета.