Номер 224, страница 289 - гдз по алгебре 9 класс учебник Арефьева, Пирютко

Алгебра, 9 класс Учебник, авторы: Арефьева Ирина Глебовна, Пирютко Ольга Николаевна, издательство Народная асвета, Минск, 2019, голубого цвета

Авторы: Арефьева И. Г., Пирютко О. Н.

Тип: Учебник

Издательство: Народная асвета

Год издания: 2019 - 2026

Цвет обложки: голубой, синий с графиком

ISBN: 978-985-03-3077-2

Допущено Министерством образования Республики Беларусь

Популярные ГДЗ в 9 классе

Итоговое повторение. Функции и их свойства - номер 224, страница 289.

№224 (с. 289)
Условие. №224 (с. 289)
скриншот условия
Алгебра, 9 класс Учебник, авторы: Арефьева Ирина Глебовна, Пирютко Ольга Николаевна, издательство Народная асвета, Минск, 2019, голубого цвета, страница 289, номер 224, Условие

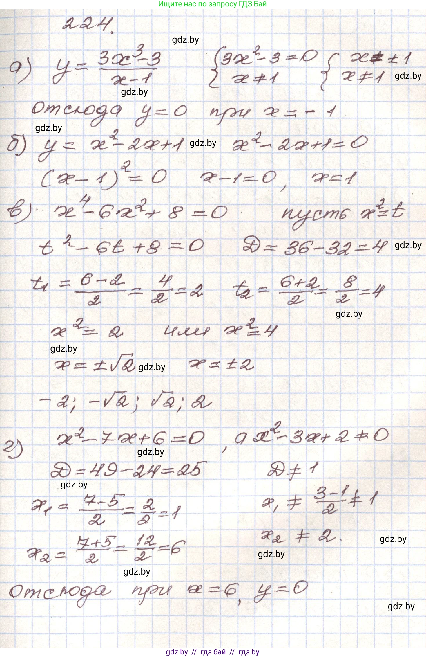
224. Найдите нули функции:

a) $y = \frac{3x^2 - 3}{x - 1};$

б) $y = x^2 - 2x + 1;$

в) $y = x^4 - 6x^2 + 8;$

г) $y = \frac{x^2 - 7x + 6}{x^2 - 3x + 2}.$

Решение. №224 (с. 289)
Алгебра, 9 класс Учебник, авторы: Арефьева Ирина Глебовна, Пирютко Ольга Николаевна, издательство Народная асвета, Минск, 2019, голубого цвета, страница 289, номер 224, Решение
Решение 2. №224 (с. 289)

Нули функции – это значения аргумента $x$, при которых значение функции $y$ равно нулю. Чтобы найти нули функции, нужно решить уравнение $y(x) = 0$.

а) Дана функция $y = \frac{3x^2 - 3}{x - 1}$.

Приравниваем функцию к нулю:

$\frac{3x^2 - 3}{x - 1} = 0$

Дробь равна нулю тогда и только тогда, когда ее числитель равен нулю, а знаменатель при этом не равен нулю.

1. Находим корни числителя:

$3x^2 - 3 = 0$

$3(x^2 - 1) = 0$

$x^2 - 1 = 0$

$(x - 1)(x + 1) = 0$

Получаем два возможных корня: $x_1 = 1$, $x_2 = -1$.

2. Проверяем область допустимых значений (ОДЗ), исключая значения, при которых знаменатель равен нулю:

$x - 1 \neq 0$

$x \neq 1$

3. Сравниваем корни числителя с ОДЗ. Значение $x = 1$ не входит в ОДЗ, поэтому оно не является нулем функции. Значение $x = -1$ удовлетворяет условию.

Ответ: -1.

б) Дана функция $y = x^2 - 2x + 1$.

Приравниваем функцию к нулю:

$x^2 - 2x + 1 = 0$

Выражение в левой части является формулой квадрата разности:

$(x - 1)^2 = 0$

Отсюда следует:

$x - 1 = 0$

$x = 1$

Ответ: 1.

в) Дана функция $y = x^4 - 6x^2 + 8$.

Приравниваем функцию к нулю, чтобы найти ее нули. Получаем биквадратное уравнение:

$x^4 - 6x^2 + 8 = 0$

Введем замену переменной. Пусть $t = x^2$. Так как $x^2 \ge 0$, то и $t \ge 0$.

Уравнение принимает вид квадратного уравнения относительно $t$:

$t^2 - 6t + 8 = 0$

Решим его с помощью теоремы Виета:

Сумма корней $t_1 + t_2 = 6$.

Произведение корней $t_1 \cdot t_2 = 8$.

Подбором находим корни: $t_1 = 2$ и $t_2 = 4$. Оба корня положительные, что удовлетворяет условию $t \ge 0$.

Выполним обратную замену:

1) $x^2 = 2 \implies x_{1,2} = \pm\sqrt{2}$

2) $x^2 = 4 \implies x_{3,4} = \pm 2$

Ответ: -2; $-\sqrt{2}$; $\sqrt{2}$; 2.

г) Дана функция $y = \frac{x^2 - 7x + 6}{x^2 - 3x + 2}$.

Приравниваем функцию к нулю:

$\frac{x^2 - 7x + 6}{x^2 - 3x + 2} = 0$

Дробь равна нулю, когда ее числитель равен нулю, а знаменатель не равен нулю.

1. Находим корни числителя:

$x^2 - 7x + 6 = 0$

По теореме Виета, сумма корней равна 7, а произведение равно 6. Корни: $x_1 = 1$, $x_2 = 6$.

2. Находим значения $x$, при которых знаменатель равен нулю, чтобы исключить их из решения:

$x^2 - 3x + 2 = 0$

По теореме Виета, сумма корней равна 3, а произведение равно 2. Корни: $x_3 = 1$, $x_4 = 2$.

Таким образом, ОДЗ: $x \neq 1$ и $x \neq 2$.

3. Сопоставляем корни числителя ($1$ и $6$) с ОДЗ. Корень $x=1$ не входит в ОДЗ, поэтому он не является нулем функции. Корень $x=6$ удовлетворяет ОДЗ.

Ответ: 6.

Помогло решение? Оставьте отзыв в комментариях ниже.

Присоединяйтесь к Телеграм-группе @gdz_by_belarus

Присоединиться

Мы подготовили для вас ответ c подробным объяснением домашего задания по алгебре за 9 класс, для упражнения номер 224 расположенного на странице 289 к учебнику 2019 года издания для учащихся школ и гимназий.

Теперь на нашем сайте ГДЗ.ТОП вы всегда легко и бесплатно найдёте условие с правильным ответом на вопрос «Как решить ДЗ» и «Как сделать» задание по алгебре к упражнению №224 (с. 289), авторов: Арефьева (Ирина Глебовна), Пирютко (Ольга Николаевна), учебного пособия издательства Народная асвета.