Номер 228, страница 289 - гдз по алгебре 9 класс учебник Арефьева, Пирютко

Алгебра, 9 класс Учебник, авторы: Арефьева Ирина Глебовна, Пирютко Ольга Николаевна, издательство Народная асвета, Минск, 2019, голубого цвета

Авторы: Арефьева И. Г., Пирютко О. Н.

Тип: Учебник

Издательство: Народная асвета

Год издания: 2019 - 2026

Цвет обложки: голубой, синий с графиком

ISBN: 978-985-03-3077-2

Допущено Министерством образования Республики Беларусь

Популярные ГДЗ в 9 классе

Итоговое повторение. Функции и их свойства - номер 228, страница 289.

№228 (с. 289)
Условие. №228 (с. 289)
скриншот условия
Алгебра, 9 класс Учебник, авторы: Арефьева Ирина Глебовна, Пирютко Ольга Николаевна, издательство Народная асвета, Минск, 2019, голубого цвета, страница 289, номер 228, Условие

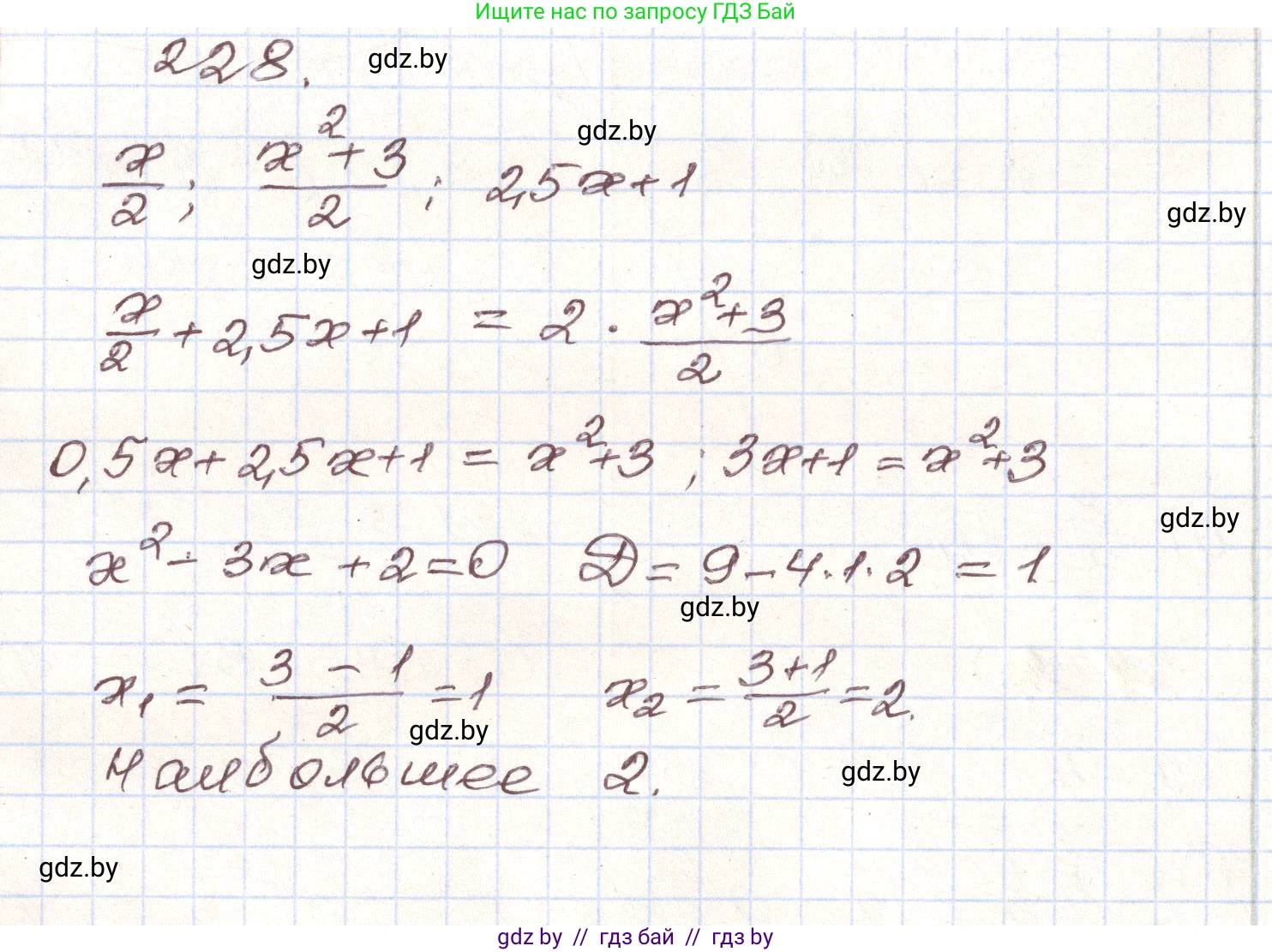
228. Найдите наибольшее значение переменной $x$, при котором числа $\frac{x}{2}$; $\frac{x^2+3}{2}$; $2,5x+1$ будут последовательными членами арифметической прогрессии.

Решение. №228 (с. 289)
Алгебра, 9 класс Учебник, авторы: Арефьева Ирина Глебовна, Пирютко Ольга Николаевна, издательство Народная асвета, Минск, 2019, голубого цвета, страница 289, номер 228, Решение
Решение 2. №228 (с. 289)

Для того чтобы три числа являлись последовательными членами арифметической прогрессии, необходимо и достаточно, чтобы средний член был равен среднему арифметическому двух крайних членов.

Обозначим данные числа как члены арифметической прогрессии:

  • $a_1 = \frac{x}{2}$
  • $a_2 = \frac{x^2 + 3}{2}$
  • $a_3 = 2,5x + 1$

Согласно характеристическому свойству арифметической прогрессии, должно выполняться равенство $2a_2 = a_1 + a_3$. Подставим в это равенство наши выражения: $$2 \cdot \left( \frac{x^2 + 3}{2} \right) = \left( \frac{x}{2} \right) + (2,5x + 1)$$

Теперь решим полученное уравнение относительно переменной $x$. Сначала упростим левую часть: $$x^2 + 3 = \frac{x}{2} + 2,5x + 1$$

Представим десятичную дробь $2,5$ в виде обыкновенной дроби $\frac{5}{2}$ и приведем подобные слагаемые в правой части уравнения: $$x^2 + 3 = \frac{x}{2} + \frac{5x}{2} + 1$$ $$x^2 + 3 = \frac{x + 5x}{2} + 1$$ $$x^2 + 3 = \frac{6x}{2} + 1$$ $$x^2 + 3 = 3x + 1$$

Перенесем все члены уравнения в левую часть, чтобы получить стандартное квадратное уравнение вида $ax^2 + bx + c = 0$: $$x^2 - 3x + 3 - 1 = 0$$ $$x^2 - 3x + 2 = 0$$

Данное квадратное уравнение можно решить с помощью дискриминанта или по теореме Виета. Найдем корни через дискриминант: $D = b^2 - 4ac = (-3)^2 - 4 \cdot 1 \cdot 2 = 9 - 8 = 1$
Корни уравнения находятся по формуле $x = \frac{-b \pm \sqrt{D}}{2a}$: $$x_1 = \frac{-(-3) - \sqrt{1}}{2 \cdot 1} = \frac{3 - 1}{2} = \frac{2}{2} = 1$$ $$x_2 = \frac{-(-3) + \sqrt{1}}{2 \cdot 1} = \frac{3 + 1}{2} = \frac{4}{2} = 2$$

Таким образом, мы получили два значения переменной $x$, при которых данные числа образуют арифметическую прогрессию: $x=1$ и $x=2$.

В условии задачи требуется найти наибольшее значение переменной $x$. Сравнивая полученные корни, $1 < 2$, заключаем, что наибольшим значением является 2.

Ответ: 2

Помогло решение? Оставьте отзыв в комментариях ниже.

Присоединяйтесь к Телеграм-группе @gdz_by_belarus

Присоединиться

Мы подготовили для вас ответ c подробным объяснением домашего задания по алгебре за 9 класс, для упражнения номер 228 расположенного на странице 289 к учебнику 2019 года издания для учащихся школ и гимназий.

Теперь на нашем сайте ГДЗ.ТОП вы всегда легко и бесплатно найдёте условие с правильным ответом на вопрос «Как решить ДЗ» и «Как сделать» задание по алгебре к упражнению №228 (с. 289), авторов: Арефьева (Ирина Глебовна), Пирютко (Ольга Николаевна), учебного пособия издательства Народная асвета.