Номер 258, страница 293 - гдз по алгебре 9 класс учебник Арефьева, Пирютко

Алгебра, 9 класс Учебник, авторы: Арефьева Ирина Глебовна, Пирютко Ольга Николаевна, издательство Народная асвета, Минск, 2019, голубого цвета

Авторы: Арефьева И. Г., Пирютко О. Н.

Тип: Учебник

Издательство: Народная асвета

Год издания: 2019 - 2026

Цвет обложки: голубой, синий с графиком

ISBN: 978-985-03-3077-2

Допущено Министерством образования Республики Беларусь

Популярные ГДЗ в 9 классе

Итоговое повторение. Уравнения, неравенства, системы - номер 258, страница 293.

№258 (с. 293)
Условие. №258 (с. 293)
скриншот условия
Алгебра, 9 класс Учебник, авторы: Арефьева Ирина Глебовна, Пирютко Ольга Николаевна, издательство Народная асвета, Минск, 2019, голубого цвета, страница 293, номер 258, Условие Алгебра, 9 класс Учебник, авторы: Арефьева Ирина Глебовна, Пирютко Ольга Николаевна, издательство Народная асвета, Минск, 2019, голубого цвета, страница 293, номер 258, Условие (продолжение 2)

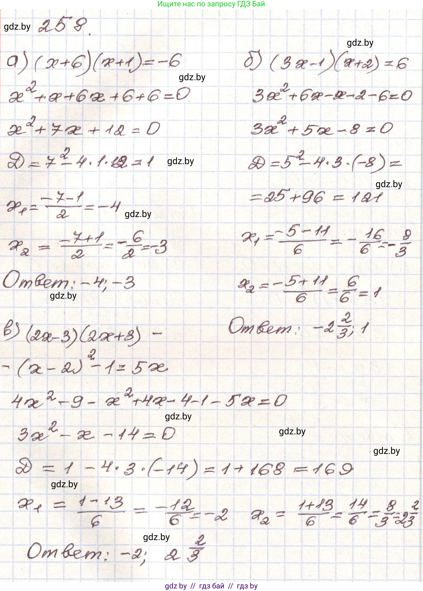
258. Решите уравнение:

а) $(x + 6)(x + 1) = -6;$

б) $(3x - 1)(x + 2) = 6;$

в) $(2x - 3)(2x + 3) - (x - 2)^2 - 1 = 5x;$

г) $\frac{(x-3)^2}{16} - \frac{(2-x)^2}{4} = \frac{1-x}{2}$

Решение. №258 (с. 293)
Алгебра, 9 класс Учебник, авторы: Арефьева Ирина Глебовна, Пирютко Ольга Николаевна, издательство Народная асвета, Минск, 2019, голубого цвета, страница 293, номер 258, Решение Алгебра, 9 класс Учебник, авторы: Арефьева Ирина Глебовна, Пирютко Ольга Николаевна, издательство Народная асвета, Минск, 2019, голубого цвета, страница 293, номер 258, Решение (продолжение 2)
Решение 2. №258 (с. 293)

а) $(x + 6)(x + 1) = -6$

Раскроем скобки в левой части уравнения:

$x^2 + x + 6x + 6 = -6$

Приведем подобные слагаемые и перенесем все члены в левую часть, чтобы получить квадратное уравнение стандартного вида:

$x^2 + 7x + 6 + 6 = 0$ $x^2 + 7x + 12 = 0$

Решим полученное квадратное уравнение. Можно использовать теорему Виета: произведение корней равно 12, а их сумма равна -7. Подбором находим корни: $x_1 = -3$ и $x_2 = -4$.

Либо решим через дискриминант:

$D = b^2 - 4ac = 7^2 - 4 \cdot 1 \cdot 12 = 49 - 48 = 1$
$x = \frac{-b \pm \sqrt{D}}{2a} = \frac{-7 \pm \sqrt{1}}{2}$
$x_1 = \frac{-7 + 1}{2} = \frac{-6}{2} = -3$
$x_2 = \frac{-7 - 1}{2} = \frac{-8}{2} = -4$

Ответ: -4; -3.

б) $(3x - 1)(x + 2) = 6$

Раскроем скобки в левой части:

$3x^2 + 6x - x - 2 = 6$

Приведем подобные слагаемые и перенесем все в левую часть:

$3x^2 + 5x - 2 - 6 = 0$
$3x^2 + 5x - 8 = 0$

Решим квадратное уравнение с помощью дискриминанта:

$D = b^2 - 4ac = 5^2 - 4 \cdot 3 \cdot (-8) = 25 + 96 = 121 = 11^2$
$x = \frac{-b \pm \sqrt{D}}{2a} = \frac{-5 \pm 11}{2 \cdot 3} = \frac{-5 \pm 11}{6}$
$x_1 = \frac{-5 + 11}{6} = \frac{6}{6} = 1$
$x_2 = \frac{-5 - 11}{6} = \frac{-16}{6} = -\frac{8}{3}$

Выделим целую часть из неправильной дроби:

$-\frac{8}{3} = -2\frac{2}{3}$

Ответ: 1; $-2\frac{2}{3}$.

в) $(2x - 3)(2x + 3) - (x - 2)^2 - 1 = 5x$

Используем формулы сокращенного умножения: разность квадратов $(a-b)(a+b)=a^2-b^2$ и квадрат разности $(a-b)^2=a^2-2ab+b^2$.

$((2x)^2 - 3^2) - (x^2 - 2 \cdot x \cdot 2 + 2^2) - 1 = 5x$
$(4x^2 - 9) - (x^2 - 4x + 4) - 1 = 5x$

Раскроем скобки и приведем подобные слагаемые:

$4x^2 - 9 - x^2 + 4x - 4 - 1 = 5x$
$3x^2 + 4x - 14 = 5x$

Перенесем все члены в левую часть:

$3x^2 + 4x - 5x - 14 = 0$
$3x^2 - x - 14 = 0$

Решим квадратное уравнение через дискриминант:

$D = b^2 - 4ac = (-1)^2 - 4 \cdot 3 \cdot (-14) = 1 + 168 = 169 = 13^2$
$x = \frac{-b \pm \sqrt{D}}{2a} = \frac{1 \pm 13}{2 \cdot 3} = \frac{1 \pm 13}{6}$
$x_1 = \frac{1 + 13}{6} = \frac{14}{6} = \frac{7}{3}$
$x_2 = \frac{1 - 13}{6} = \frac{-12}{6} = -2$

Выделим целую часть из неправильной дроби:

$\frac{7}{3} = 2\frac{1}{3}$

Ответ: -2; $2\frac{1}{3}$.

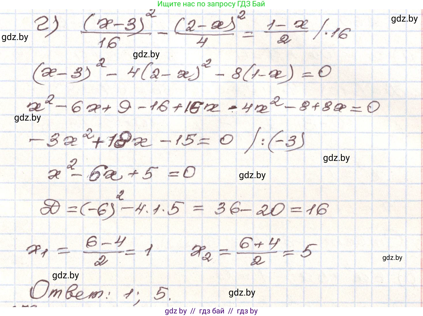
г) $\frac{(x - 3)^2}{16} - \frac{(2 - x)^2}{4} = \frac{1 - x}{2}$

Заметим, что $(2 - x)^2 = (-(x - 2))^2 = (x - 2)^2$. Уравнение можно переписать так:

$\frac{(x - 3)^2}{16} - \frac{(x - 2)^2}{4} = \frac{1 - x}{2}$

Умножим обе части уравнения на общий знаменатель 16, чтобы избавиться от дробей:

$16 \cdot \frac{(x - 3)^2}{16} - 16 \cdot \frac{(x - 2)^2}{4} = 16 \cdot \frac{1 - x}{2}$
$(x - 3)^2 - 4(x - 2)^2 = 8(1 - x)$

Раскроем скобки, используя формулы сокращенного умножения:

$(x^2 - 6x + 9) - 4(x^2 - 4x + 4) = 8 - 8x$
$x^2 - 6x + 9 - 4x^2 + 16x - 16 = 8 - 8x$

Приведем подобные слагаемые:

$-3x^2 + 10x - 7 = 8 - 8x$

Перенесем все члены в левую часть и приведем к стандартному виду:

$-3x^2 + 10x + 8x - 7 - 8 = 0$
$-3x^2 + 18x - 15 = 0$

Разделим все уравнение на -3 для упрощения:

$x^2 - 6x + 5 = 0$

Решим полученное квадратное уравнение. По теореме Виета, произведение корней равно 5, а их сумма равна 6. Следовательно, корни равны 1 и 5.

$x_1 = 1, x_2 = 5$

Ответ: 1; 5.

Помогло решение? Оставьте отзыв в комментариях ниже.

Присоединяйтесь к Телеграм-группе @gdz_by_belarus

Присоединиться

Мы подготовили для вас ответ c подробным объяснением домашего задания по алгебре за 9 класс, для упражнения номер 258 расположенного на странице 293 к учебнику 2019 года издания для учащихся школ и гимназий.

Теперь на нашем сайте ГДЗ.ТОП вы всегда легко и бесплатно найдёте условие с правильным ответом на вопрос «Как решить ДЗ» и «Как сделать» задание по алгебре к упражнению №258 (с. 293), авторов: Арефьева (Ирина Глебовна), Пирютко (Ольга Николаевна), учебного пособия издательства Народная асвета.