Номер 263, страница 294 - гдз по алгебре 9 класс учебник Арефьева, Пирютко

Алгебра, 9 класс Учебник, авторы: Арефьева Ирина Глебовна, Пирютко Ольга Николаевна, издательство Народная асвета, Минск, 2019, голубого цвета

Авторы: Арефьева И. Г., Пирютко О. Н.

Тип: Учебник

Издательство: Народная асвета

Год издания: 2019 - 2026

Цвет обложки: голубой, синий с графиком

ISBN: 978-985-03-3077-2

Допущено Министерством образования Республики Беларусь

Популярные ГДЗ в 9 классе

Итоговое повторение. Уравнения, неравенства, системы - номер 263, страница 294.

№263 (с. 294)
Условие. №263 (с. 294)
скриншот условия
Алгебра, 9 класс Учебник, авторы: Арефьева Ирина Глебовна, Пирютко Ольга Николаевна, издательство Народная асвета, Минск, 2019, голубого цвета, страница 294, номер 263, Условие

263. Решите систему неравенств:

a) $\begin{cases} x^2 - 2x - 8 > 0, \\ 0,8x + 2 \le 0; \end{cases}$

б) $\begin{cases} \frac{x^2}{49} \le 1, \\ 9x - x^2 > 0; \end{cases}$

в) $\begin{cases} (x - 3)^2 > -4x + 8, \\ (7 - x)(x + 7) > -x^2 + 40. \end{cases}$

Решение. №263 (с. 294)
Алгебра, 9 класс Учебник, авторы: Арефьева Ирина Глебовна, Пирютко Ольга Николаевна, издательство Народная асвета, Минск, 2019, голубого цвета, страница 294, номер 263, Решение Алгебра, 9 класс Учебник, авторы: Арефьева Ирина Глебовна, Пирютко Ольга Николаевна, издательство Народная асвета, Минск, 2019, голубого цвета, страница 294, номер 263, Решение (продолжение 2)
Решение 2. №263 (с. 294)

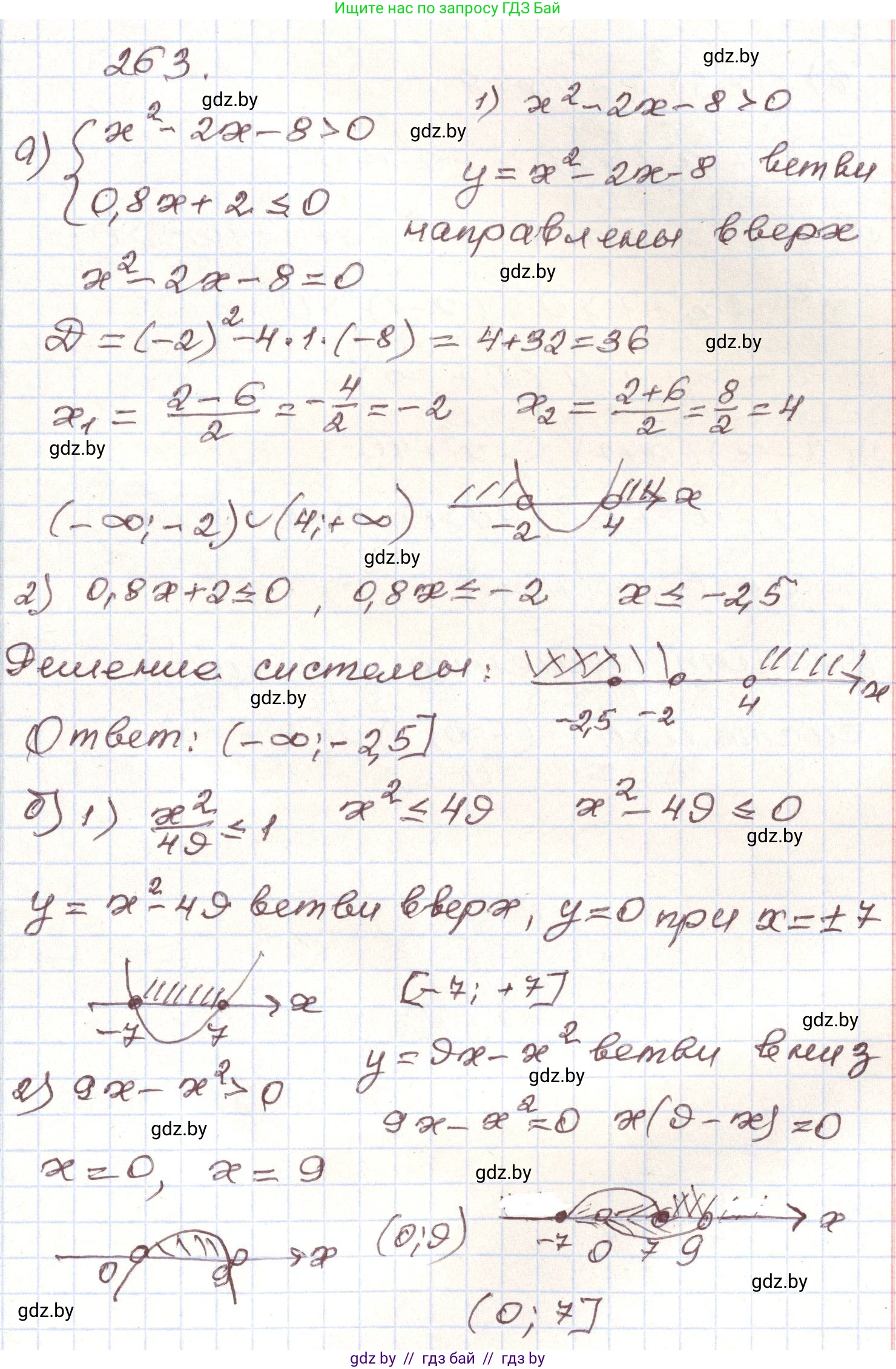
а) Решим систему неравенств:$$ \begin{cases} x^2 - 2x - 8 > 0 \\ 0,8x + 2 \le 0 \end{cases} $$

1. Решим первое неравенство: $x^2 - 2x - 8 > 0$.
Найдем корни соответствующего квадратного уравнения $x^2 - 2x - 8 = 0$.
Используя теорему Виета, находим корни: $x_1 = 4$ и $x_2 = -2$.
Графиком функции $y = x^2 - 2x - 8$ является парабола, ветви которой направлены вверх. Следовательно, неравенство $x^2 - 2x - 8 > 0$ выполняется для значений $x$, находящихся за пределами корней.
Решение первого неравенства: $x \in (-\infty; -2) \cup (4; +\infty)$.

2. Решим второе неравенство: $0,8x + 2 \le 0$.
Перенесем 2 в правую часть: $0,8x \le -2$.
Разделим обе части на 0,8: $x \le \frac{-2}{0,8}$.
$x \le -2,5$.
Решение второго неравенства: $x \in (-\infty; -2,5]$.

3. Найдем пересечение решений обоих неравенств.
Решением системы является пересечение множеств $(-\infty; -2) \cup (4; +\infty)$ и $(-\infty; -2,5]$.
Общей частью этих множеств является промежуток $(-\infty; -2,5]$.
Представим десятичную дробь $-2,5$ в виде смешанного числа: $-2,5 = -\frac{5}{2} = -2\frac{1}{2}$.
Ответ: $(-\infty; -2\frac{1}{2}]$.

б) Решим систему неравенств:$$ \begin{cases} \frac{x^2}{49} \le 1 \\ 9x - x^2 > 0 \end{cases} $$

1. Решим первое неравенство: $\frac{x^2}{49} \le 1$.
Умножим обе части на 49 (знак неравенства не меняется): $x^2 \le 49$.
Перенесем 49 в левую часть: $x^2 - 49 \le 0$.
Разложим на множители: $(x-7)(x+7) \le 0$.
Корни уравнения $(x-7)(x+7)=0$ равны $x_1 = -7$ и $x_2 = 7$. Так как это парабола с ветвями вверх, решение неравенства находится между корнями.
Решение первого неравенства: $x \in [-7; 7]$.

2. Решим второе неравенство: $9x - x^2 > 0$.
Вынесем $x$ за скобки: $x(9-x) > 0$.
Корни уравнения $x(9-x)=0$ равны $x_1 = 0$ и $x_2 = 9$. Графиком является парабола с ветвями вниз, поэтому неравенство выполняется между корнями.
Решение второго неравенства: $x \in (0; 9)$.

3. Найдем пересечение решений.
Нам нужно найти пересечение промежутков $[-7; 7]$ и $(0; 9)$.
Общей частью является интервал $(0; 7]$.
Ответ: $(0; 7]$.

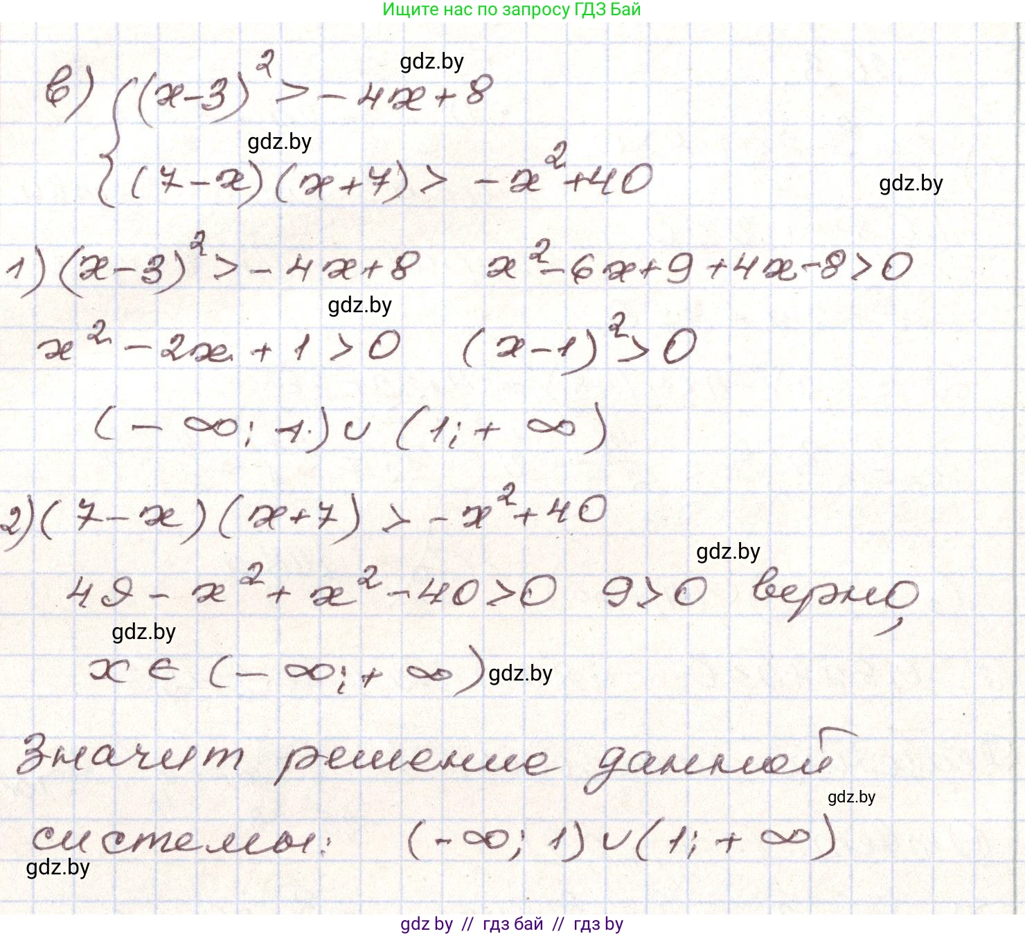
в) Решим систему неравенств:$$ \begin{cases} (x-3)^2 > -4x + 8 \\ (7-x)(x+7) > -x^2 + 40 \end{cases} $$

1. Решим первое неравенство: $(x-3)^2 > -4x + 8$.
Раскроем скобки в левой части: $x^2 - 6x + 9 > -4x + 8$.
Перенесем все члены в левую часть: $x^2 - 6x + 4x + 9 - 8 > 0$.
Приведем подобные слагаемые: $x^2 - 2x + 1 > 0$.
Свернем левую часть по формуле квадрата разности: $(x-1)^2 > 0$.
Квадрат любого действительного числа неотрицателен. Он равен нулю только тогда, когда само число равно нулю. В нашем случае $(x-1)^2 = 0$ при $x=1$.
Следовательно, неравенство $(x-1)^2 > 0$ справедливо для всех действительных $x$, кроме $x=1$.
Решение первого неравенства: $x \in (-\infty; 1) \cup (1; +\infty)$.

2. Решим второе неравенство: $(7-x)(x+7) > -x^2 + 40$.
Применим формулу разности квадратов в левой части: $49 - x^2 > -x^2 + 40$.
Прибавим $x^2$ к обеим частям неравенства: $49 > 40$.
Мы получили верное числовое неравенство $9 > 0$, которое не зависит от переменной $x$.
Следовательно, второе неравенство выполняется для любого действительного значения $x$.
Решение второго неравенства: $x \in (-\infty; +\infty)$.

3. Найдем пересечение решений.
Пересечением множеств $(-\infty; 1) \cup (1; +\infty)$ и $(-\infty; +\infty)$ является множество $(-\infty; 1) \cup (1; +\infty)$.
Ответ: $(-\infty; 1) \cup (1; +\infty)$.

Помогло решение? Оставьте отзыв в комментариях ниже.

Присоединяйтесь к Телеграм-группе @gdz_by_belarus

Присоединиться

Мы подготовили для вас ответ c подробным объяснением домашего задания по алгебре за 9 класс, для упражнения номер 263 расположенного на странице 294 к учебнику 2019 года издания для учащихся школ и гимназий.

Теперь на нашем сайте ГДЗ.ТОП вы всегда легко и бесплатно найдёте условие с правильным ответом на вопрос «Как решить ДЗ» и «Как сделать» задание по алгебре к упражнению №263 (с. 294), авторов: Арефьева (Ирина Глебовна), Пирютко (Ольга Николаевна), учебного пособия издательства Народная асвета.