Номер 277, страница 296 - гдз по алгебре 9 класс учебник Арефьева, Пирютко

Алгебра, 9 класс Учебник, авторы: Арефьева Ирина Глебовна, Пирютко Ольга Николаевна, издательство Народная асвета, Минск, 2019, голубого цвета

Авторы: Арефьева И. Г., Пирютко О. Н.

Тип: Учебник

Издательство: Народная асвета

Год издания: 2019 - 2026

Цвет обложки: голубой, синий с графиком

ISBN: 978-985-03-3077-2

Допущено Министерством образования Республики Беларусь

Популярные ГДЗ в 9 классе

Итоговое повторение. Уравнения, неравенства, системы - номер 277, страница 296.

№277 (с. 296)
Условие. №277 (с. 296)
скриншот условия
Алгебра, 9 класс Учебник, авторы: Арефьева Ирина Глебовна, Пирютко Ольга Николаевна, издательство Народная асвета, Минск, 2019, голубого цвета, страница 296, номер 277, Условие

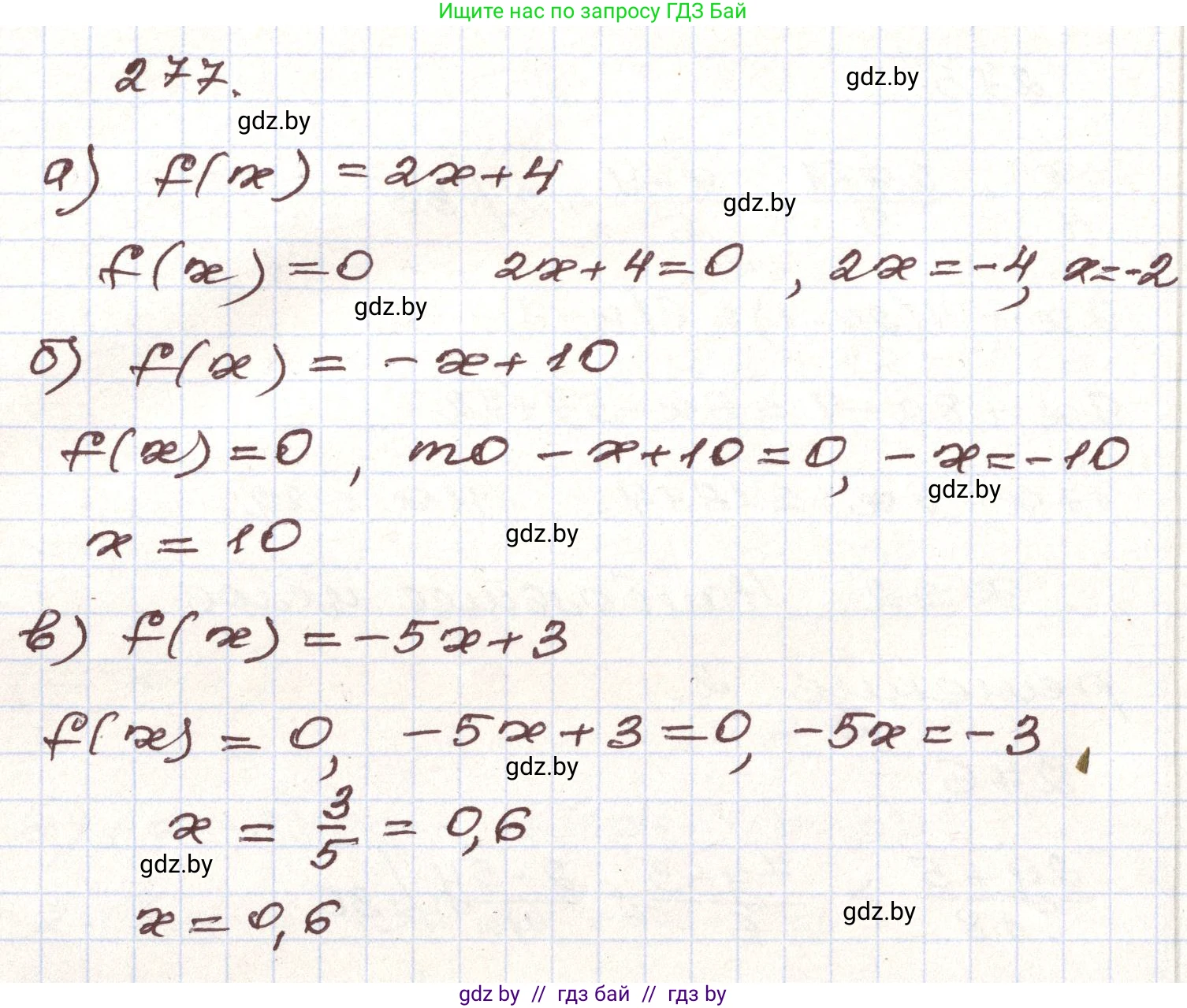
277. Найдите нули функции:

а) $f(x)=2x+4$;

б) $f(x)=-x+10$;

в) $f(x)=-5x+3$.

Решение. №277 (с. 296)
Алгебра, 9 класс Учебник, авторы: Арефьева Ирина Глебовна, Пирютко Ольга Николаевна, издательство Народная асвета, Минск, 2019, голубого цвета, страница 296, номер 277, Решение
Решение 2. №277 (с. 296)

Нули функции — это значения аргумента $x$, при которых значение функции $f(x)$ равно нулю. Чтобы найти нули функции, нужно решить уравнение $f(x) = 0$.

а) Дана функция $f(x) = 2x + 4$.

Приравняем функцию к нулю:

$2x + 4 = 0$

Перенесем свободный член (4) в правую часть уравнения с противоположным знаком:

$2x = -4$

Найдем $x$, разделив обе части уравнения на 2:

$x = \frac{-4}{2}$

$x = -2$

Ответ: -2

б) Дана функция $f(x) = -x + 10$.

Приравняем функцию к нулю:

$-x + 10 = 0$

Перенесем $-x$ в правую часть уравнения, чтобы избавиться от знака "минус" перед переменной:

$10 = x$

Ответ: 10

в) Дана функция $f(x) = -5x + 3$.

Приравняем функцию к нулю:

$-5x + 3 = 0$

Перенесем свободный член (3) в правую часть уравнения с противоположным знаком:

$-5x = -3$

Найдем $x$, разделив обе части уравнения на -5:

$x = \frac{-3}{-5}$

$x = \frac{3}{5}$

Ответ: $\frac{3}{5}$

Помогло решение? Оставьте отзыв в комментариях ниже.

Присоединяйтесь к Телеграм-группе @gdz_by_belarus

Присоединиться

Мы подготовили для вас ответ c подробным объяснением домашего задания по алгебре за 9 класс, для упражнения номер 277 расположенного на странице 296 к учебнику 2019 года издания для учащихся школ и гимназий.

Теперь на нашем сайте ГДЗ.ТОП вы всегда легко и бесплатно найдёте условие с правильным ответом на вопрос «Как решить ДЗ» и «Как сделать» задание по алгебре к упражнению №277 (с. 296), авторов: Арефьева (Ирина Глебовна), Пирютко (Ольга Николаевна), учебного пособия издательства Народная асвета.